Студопедия

КАТЕГОРИИ:


Архитектура-(3434)Астрономия-(809)Биология-(7483)Биотехнологии-(1457)Военное дело-(14632)Высокие технологии-(1363)География-(913)Геология-(1438)Государство-(451)Демография-(1065)Дом-(47672)Журналистика и СМИ-(912)Изобретательство-(14524)Иностранные языки-(4268)Информатика-(17799)Искусство-(1338)История-(13644)Компьютеры-(11121)Косметика-(55)Кулинария-(373)Культура-(8427)Лингвистика-(374)Литература-(1642)Маркетинг-(23702)Математика-(16968)Машиностроение-(1700)Медицина-(12668)Менеджмент-(24684)Механика-(15423)Науковедение-(506)Образование-(11852)Охрана труда-(3308)Педагогика-(5571)Полиграфия-(1312)Политика-(7869)Право-(5454)Приборостроение-(1369)Программирование-(2801)Производство-(97182)Промышленность-(8706)Психология-(18388)Религия-(3217)Связь-(10668)Сельское хозяйство-(299)Социология-(6455)Спорт-(42831)Строительство-(4793)Торговля-(5050)Транспорт-(2929)Туризм-(1568)Физика-(3942)Философия-(17015)Финансы-(26596)Химия-(22929)Экология-(12095)Экономика-(9961)Электроника-(8441)Электротехника-(4623)Энергетика-(12629)Юриспруденция-(1492)Ядерная техника-(1748)

Квадратурная формула Симпсона (парабол)




Упражнения.

5.5 Вычислить по квадратурной формуле трапеций при n = 3 интеграл и сравнить с точным значением интеграла:

а) , I = 1; б) , I = ln 2;

в) , I = ; г) , I = 0,75.

5.6 Вычислить по квадратурной формуле трапеций при n = 5 интеграл и оценить погрешность интегрирования:

а) ; б) ;

в) ; г) .

5.7 Определить число узлов n, которое нужно использовать для вычисления интеграла с помощью формулы трапеций с точностью до 0,01:

а) ; б) ; в) ; г) .

5.8 Вычислить по квадратурной формуле трапеций интеграл с точностью до 0,01:

а) ; б) ;

в) ; г) .

При выводе квадратурной формулы трапеций (16) было использовано кусочно-линейное интерполирование подынтегральной функции на отрезке функцией (13).

Вывод квадратурной формулы Симпсона (парабол) развивает описанный подход. Теперь для аппроксимации[26] функции на отрезке используем не кусочно-линейное, а кусочно-квадратичное интерполирование.

Для этого будем считать n четным и сгруппируем отрезки парами: первая пара и , вторая пара и и т.д. Для каждого двойного отрезка построим интерполяционный многочлен второй степени в форме Лагранжа, принимающий в узлах , и значения функции . В результате получим аппроксимирующую функцию на отрезке в виде кусочно-квадратичной функции:

где .

Проинтегрировав функцию по отрезку , получим

Интеграл от функции по всему отрезку равен сумме интегралов (21)

Замечание. В равенстве (22) число n должно быть четным.

Величина (22) дает приближенное значение интеграла I:

где – остаточный член квадратурной формулы. Узлами формулы (23), как и квадратурной формулы трапеции (16), являются точки . Весовые коэффициенты в узлах с четными и нечетными номерами имеют разные значения (у узлов с четными номерами веса равны кроме узлов и у которых веса равны , а у узлов с нечетными номерами веса равны . Формула (23) называется квадратурной формулой Симпсона (парабол).

Представление (22) для , как и представление (15) для , также можно рассматривать как интегральную сумму функции на отрезке . Поэтому, если функция интегрируема на , то в силу определения определенного интеграла

т.е. условия сходимости квадратурной формулы Симпсона (парабол) (24) в этом случае выполняются.

Рассмотрим основной вопрос, связанный с организацией реального вычислительного процесса: каким нужно взять n, чтобы добиться при вычислении определенного интеграла (6) требуемой точности ε. Для этого необходимо провести оценку остаточного члена (погрешности) . В связи с этим подынтегральная функция должна быть не только интегрируема, но и четырежды непрерывно дифференцируема на отрезке . Если выполняются все описанные выше условия, то для остаточного члена имеет место следующая оценка

где Мʹ – положительное число ограничивающее четвертую производную подынтегральной функции на отрезке , т.е. .

При заданной точности ε условие (25) позволяет определить число узлов n, которое нужно использовать при вычислении определенного интеграла (6). Для этого достаточно использовать соотношение

Пример 1. Вычислить по квадратурной формуле Симпсона (парабол) при n = 2 интеграл

Сравнить с точным значением интеграла.

Решение.

Так как n = 2, то шаг

Найдем значения , используя соотношение

и учитывая, что и :

Теперь вычислим значения подынтегральной функции в точках ,

Значит по формуле (22) имеем

Следовательно, .

Сравним полученное приближенное значение с точным значением интеграла

.

Ответ: , .

Пример 2. Определить число узлов n, которое нужно использовать для вычисления интеграла с помощью формулы Симпсона (парабол)

с точностью до 0,001.

Решение.

Для определения n, воспользуемся формулой (26)

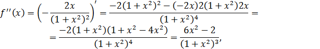
По условию задачи и ε = 0,001. Учитывая, что подынтегральная функция и ее первая, вторая, третья и четвертая производные соответственно равны ,

, и то на отрезке интегрирования справедливо = . Значит = 1. В результате получим соотношение

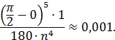
Решая которое определим n:

Так как

а , то возьмем n = 2.

Следовательно, чтобы достичь точности ε = 0,001, необходимо взять 3 узла.

Ответ: n = 2.

Пример 3. Вычислить по квадратурной формуле трапеции Симпсона (парабол)

с точностью до 0,01.

Решение.

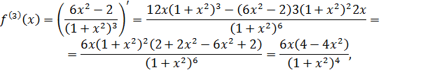
Определим сначала число узлов n, которое необходимо использовать для вычисления интеграла. По условию задачи , ε = 0,01 и . Так как

и для выполняется

то = 24. Подставляя значения a, b, ε и М в формулу (26) получим соотношение:

Из которого найдем n.

Так как

а , то возьмем n = 2.

Так как n = 2, то шаг

Найдем значения , используя соотношение

и учитывая, что , а b :

Теперь вычислим значения подынтегральной функции в точках , :

Значит по формуле (22) имеем

Следовательно, .

Ответ: с точностью до 0,01.




Поделиться с друзьями:


Дата добавления: 2014-12-27; Просмотров: 1286; Нарушение авторских прав?; Мы поможем в написании вашей работы!


Нам важно ваше мнение! Был ли полезен опубликованный материал? Да | Нет



studopedia.su - Студопедия (2013 - 2025) год. Все материалы представленные на сайте исключительно с целью ознакомления читателями и не преследуют коммерческих целей или нарушение авторских прав! Последнее добавление




Генерация страницы за: 0.007 сек.