Студопедия

КАТЕГОРИИ:


Архитектура-(3434)Астрономия-(809)Биология-(7483)Биотехнологии-(1457)Военное дело-(14632)Высокие технологии-(1363)География-(913)Геология-(1438)Государство-(451)Демография-(1065)Дом-(47672)Журналистика и СМИ-(912)Изобретательство-(14524)Иностранные языки-(4268)Информатика-(17799)Искусство-(1338)История-(13644)Компьютеры-(11121)Косметика-(55)Кулинария-(373)Культура-(8427)Лингвистика-(374)Литература-(1642)Маркетинг-(23702)Математика-(16968)Машиностроение-(1700)Медицина-(12668)Менеджмент-(24684)Механика-(15423)Науковедение-(506)Образование-(11852)Охрана труда-(3308)Педагогика-(5571)Полиграфия-(1312)Политика-(7869)Право-(5454)Приборостроение-(1369)Программирование-(2801)Производство-(97182)Промышленность-(8706)Психология-(18388)Религия-(3217)Связь-(10668)Сельское хозяйство-(299)Социология-(6455)Спорт-(42831)Строительство-(4793)Торговля-(5050)Транспорт-(2929)Туризм-(1568)Физика-(3942)Философия-(17015)Финансы-(26596)Химия-(22929)Экология-(12095)Экономика-(9961)Электроника-(8441)Электротехника-(4623)Энергетика-(12629)Юриспруденция-(1492)Ядерная техника-(1748)

Апостериорные оценки погрешности при численном интегрировании




Упражнения.

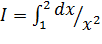
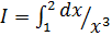
5.9 Вычислить по квадратурной формуле Симпсона при n = 4 интеграл и сравнить с точным значением интеграла:

а) , I = 1; б) , I = ln 2;

в) , I = ; г) , I = 0,75.

5.10 Вычислить по квадратурной формуле Симпсона при n = 4 интеграл и оценить погрешность интегрирования:

а) ; б) ;

в) ; г) .

5.11 Определить число узлов n, которое нужно использовать для вычисления интеграла с помощью формулы Симпсона с точностью до 0,01:

а) ; б) ; в) ; г) .

5.12 Вычислить по квадратурной формуле Симпсона интеграл с точностью до 0,01:

а) ; б) ;

в) ; г) .

В латинском языке существуют два термина – антонима: априори (a priori) и апостериори (a posteriori). Первый означает изначально, независимо от опыта, второй – на основании опыта. Оба они часто используются в вычислительной математике, подразделяя информацию на ту, которая известна до начала вычислений, и ту, которая получается в процессе вычислений.

Оценки погрешности квадратурных формул прямоугольников (8), трапеций (16), Симпсона (23) называют априорными. Они справедливы изначально и предсказывают точность вычисления интеграла (6) независимо от того, будем мы фактически проводить вычисления или нет. Эти результаты позволяют понять структуру остаточных членов, определить скорость их убывания при возрастании n.

Но в процессе вычисления погрешностей , и приходится определять константы М и M ʹ, ограничивающие вторую и четвертую производные подынтегральной функции по абсолютной величине на отрезке интегрирования . Чтобы это сделать приходится проводить дополнительные исследования функции , в частности, находить производные соответствующих порядков, что требует определенных усилий и времени. При этом если задается графиком, таблицей и т.п., то возникают большие даже непреодолимые трудности.

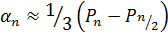
В связи с этим рассмотрим методы оценки погрешности численного интегрирования, которые не требуют предварительного анализа производных подынтегральной функции. Они основаны на сопоставлении результатов вычислений с разным числом узлов n и называются апостериорными.

Для рассмотренных квадратурных формул имеют место следующие апостериорные оценки погрешностей:

- формула прямоугольников ; (27)

- формула трапеций ; (28)

- формула Симпсона . (29)

Замечание. В формулах (27) – (28) необходимо чтобы число n было четным.

Пример 1. Вычислить по квадратурной формуле Симпсона (парабол) при n = 4 интеграл

Используя результаты примера 1 из п. 5.4., найти приближенную апостериорную погрешность.

Решение.

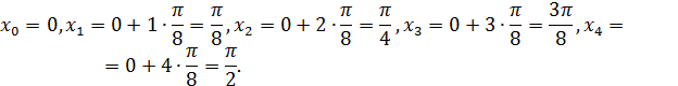
Так как n = 4, то шаг

Найдем значения , используя соотношение и учитывая, что и :

Теперь вычислим значения подынтегральной функции в точках ,

Значит по формуле (22) имеем

Следовательно, .

Найдем погрешность

Теперь определим апостериорную оценку погрешности по результатам двух расчетов и по формуле (29):

Как видим она согласуется с фактической погрешностью, сосчитанной по известному значению интеграла.


 




Поделиться с друзьями:


Дата добавления: 2014-12-27; Просмотров: 1178; Нарушение авторских прав?; Мы поможем в написании вашей работы!


Нам важно ваше мнение! Был ли полезен опубликованный материал? Да | Нет



studopedia.su - Студопедия (2013 - 2025) год. Все материалы представленные на сайте исключительно с целью ознакомления читателями и не преследуют коммерческих целей или нарушение авторских прав! Последнее добавление




Генерация страницы за: 0.008 сек.