Студопедия

КАТЕГОРИИ:


Архитектура-(3434)Астрономия-(809)Биология-(7483)Биотехнологии-(1457)Военное дело-(14632)Высокие технологии-(1363)География-(913)Геология-(1438)Государство-(451)Демография-(1065)Дом-(47672)Журналистика и СМИ-(912)Изобретательство-(14524)Иностранные языки-(4268)Информатика-(17799)Искусство-(1338)История-(13644)Компьютеры-(11121)Косметика-(55)Кулинария-(373)Культура-(8427)Лингвистика-(374)Литература-(1642)Маркетинг-(23702)Математика-(16968)Машиностроение-(1700)Медицина-(12668)Менеджмент-(24684)Механика-(15423)Науковедение-(506)Образование-(11852)Охрана труда-(3308)Педагогика-(5571)Полиграфия-(1312)Политика-(7869)Право-(5454)Приборостроение-(1369)Программирование-(2801)Производство-(97182)Промышленность-(8706)Психология-(18388)Религия-(3217)Связь-(10668)Сельское хозяйство-(299)Социология-(6455)Спорт-(42831)Строительство-(4793)Торговля-(5050)Транспорт-(2929)Туризм-(1568)Физика-(3942)Философия-(17015)Финансы-(26596)Химия-(22929)Экология-(12095)Экономика-(9961)Электроника-(8441)Электротехника-(4623)Энергетика-(12629)Юриспруденция-(1492)Ядерная техника-(1748)

Информационные технологии при обучении физике




Информатизация образования - процесс обеспечения сферы образования методологией и практикой разработки и оптимального использования современных или, как их принято называть, новых информационных технологий (НИТ), ориентированных на реализацию психолого-педагогических целей обучения, воспитания.

Это процесс в первую очередь связан с совершенствованием методологии и стратегии отбора содержания, методов и организационных форм обучения, воспитания, соответствующих задачам развития личности обучаемого в современных условиях информатизации общества; созданием методических систем обучения, ориентированных на развитие интеллектуального потенциала обучаемого, на формирование умений самостоятельно приобретать знания, осуществлять информационно-учебную, экспериментально- исследовательскую деятельность, разнообразные виды самостоятельной деятельности по обработке информации.

Включение СНИТ в учебный процесс изменяет роль средств обучения, используемых в процессе преподавания физики, а ис­пользование средств новых информационных технологий изменя­ет учебную среду, в которой происходит процесс обучения.

К аппаратным средствам новых информационных технологий относится персональный компьютер, к программным средствам - специально разработанные дидактические материалы, называе­мые программно-педагогическими средствами (ППС).

В результате компьютер оказывается в курсе физики в роли и средства обучения, и предмета изучения.

В качестве средства обучения компьютер может выступать по­мощником и учителя, и учащегося. В качестве предмета изучения компьютер используется в двух направлениях: в связи с изучением методов исследования в совре­менном естествознании и в связи с изучением физических законов и явлений. Это связано с моделированием предметного содержания объектов усвоения и соответствующих обобщенных способов действия; моделированием взаимодействия и организации совместной деятельности, типа "обучаемый - группа учащихся", "ученик - ученик", "учитель - ученик" и реализации адекватных структуре совместной деятельности и содержанию объектов усвоения форм контроля и оценки действий учащихся.

В частности, у учащихся следует создать представление о том, что основными направлениями использования компьютера в фи­зике-науке является компьютерное моделирование физических явлений и работа компьютера в соединении с экспериментальны­ми установками, где он выполняет две задачи - служит для фикса­ции экспериментальных данных, которые он может производить со скоростью и в объемах, совершенно недоступных при работе на не компьютеризированной установке, автоматизирует управле­ние экспериментом. Кроме того, компьютер используется для об­работки экспериментальных данных, хранения и быстрого поиска огромных массивов информации, как средство коммуникации. Использование персонального компьютера на уроках и во вне­урочное время позволяет познакомить учащихся со всеми этими направлениями.

Внастоящее время не существует ни единой классификации ППС, ни установившейся в этой области терминологии. Например по методическому назначению ППС делятся на

l обучающие программные средства;

l программные средства (системы)-тренажеры;

l контролирующие программные средства;

l информационно-поисковые программные системы, информационно-справочные программные средства;

l имитационные программные средства (системы);

l моделирующие программные средства;

l демонстрационные программные средства;

l учебно-игровые программные средства;

l досуговые программные средства.

В настоящее время достаточно велико количество компьютерных программ, предназначенных для изучения физики ("Живая физика", “Лаборатория L-микро”, "1С: Репетитор по физике", "Физика в анимациях", "TeachPro физика", "Открытая физика", "Курс физики XXI века", "Физика. 7-11 классы. Практикум". Программы можно классифицировать в зависимости от вида их использования на уроках:

· обучающие программы;

· демонстрационные программы;

· компьютерные модели;

· компьютерные лаборатории;

· лабораторные работы;

· пакеты задач;

· контролирующие программы (тесты);

· компьютерные дидактические материалы.

Главная особенность компьютера как средства обучения состоит в том, что он позволяет: демонстрировать учащимся то, что нет возможности показать на опыте (динамические модели явлений, фундаментальные эксперименты, например, «Живая физика» позволяет изменять параметры движения и показывает движение в виде модели и графического описания, «Открытая физика» содержит демонстрации фундаментальных опытов, которые невозможно показать в школе); собирать, регистрировать и обрабатывать информацию в лабораторных работах «Лаборатория L-микро»; организовывать самостоятельную познавательную деятельность учащихся в урочное и во внеурочное время (с помощью обучающих программ «Открытая физика», программ тестирования, электронных энциклопедий и справочников, программы «Репетитор» по физике); получать информацию из сети INTERNET, контактировать с учителем и другими учащимися для консультаций и дискуссий, участвовать в сетевых олимпиадах по физике и т.д.). Использование компьютера учителем облегчает подготовку к уроку (хранение информации и ее переработку), его проведение; облегчает контроль за успехами учащихся (электронные листы успеваемости); позволяет разнообразить деятельность учащихся на уроках физики; проведение урока (использование презентаций, созданных на основе "Power Point").

Наличие в кабинете физики хотя бы одного компьютера при условии, что он снабжен достаточно большим экраном, позволяет использо­вать этот компьютер для иллюстраций объяснения нового материала (презентации, видеофрагменты, анимационные опыты и т.д.). В этом случае можно использовать такие программы как «Живая физика», «Открытая физика» и др. Кроме того, компьютер может быть включен в состав установки для показа демонстрационного эксперимента. В настоящее время разработаны датчики для измерения многих физических параметров, сопряженных с компьютером.

При наличии двух-трех компьютеров можно организовать индивиду­альный компьютерный опрос учащихся, предоставить некото­рым из них возможность поработать с компьютерными трена­жерами. В компьютерном классе в разных формах может быть организована фронтальная работа учащихся.

Коллективная работа учащихся с использованием компьютерных коммуникаций может быть организована на межшкольном уровне, причем школы могут находиться в раз­ных населенных пунктах и даже в разных странах. Учащиеся могут участвовать в компьютерных проектах, связанных с физическими, экологическими, астрономическими наблюдения­ми и опытами. В Интернете появляется все больше стра­ниц учебных заведений, предлагающих «дистанционное образо­вание», в том числе и по физике.

Компьютерное сопровождение преподавания физики

1. применение компьютерного варианта физического эксперимента;

2. вставки в урок физики с использованием элементов мультимедиалекций (типа учебного фильма);

3. использование различного типа компьютерных моделей и анимаций процессов и явлений на разных этапах учебного процесса;

4. компьютерные лабораторные работы и работы практикума по физике;

5. использование компьютера при измерениях и обработке результатов лабораторных работ;

6. использование тестирующих программ;

7. применение компьютерных дидактических игр;

8. реализация компьютерных уроков.

Во всех случаях использования компьютерных программных средств учитель должен четко знать: с какой целью они включаются в процесс обучения – демонстрации явления или модели явления, которое невозможно показать другим способом, для лучшего понимания его механизма; быстрой автоматизированной проверки знаний; активизации учебной деятельности за счет ее смены и т.п.; как будет организована деятельность учащихся (использование компьютерных программ не должно стать средством развлечения) – учащиеся будут рассматривать какие-то стороны или характеристики явления, которые варьируются; учащиеся сами работают с компьютерными заданиями, выполняют лабораторную работу и т.п.; как будут фиксироваться или оцениваться результаты работы. Важно отметить, что персональный компьютер и соответствующие ППС обучения физике не заменяют традиционные средства бучения, а допол­няют их и вместе с ними образуют систему средств обучения, ори­ентированную на использование новых информационных техноло­гий, применение которых создает условия обучения физике в учебно-информационной среде.

Методика изучения кинематических понятий (способы задания

положения точки, перемещение и путь)

 

В самом начале изучения механики вводится понятие механического движения, которое определяется как изменение пространственного положения тела относительно других тел с течением времени и формулируется основная (прямая) задача механики (определение положения материальной точки в любой момент времени). На протяжении всего раздела фактически учащиеся обучаются решать эту задачу. Возникает вопрос о необходимости введения физических понятий, характеризующих положение и характер изменения этого положения с течением времени. Основными понятиями кинематики в этом случае являются координата, радиус-вектор, путь, перемещение, скорость, ускорение, траектория. В этом случае, описать механическое движение – значит уметь описать характер изменения кинематических величин, то есть уметь записать уравнения движения тела (материальной точки).

В процессе изучения кинематики важно показать учащимся, что для описания механического движения применяются различные способы. Один из них – естественный - описание движения с помощью пути как функции времени, пройденного материальной точкой вдоль траектории (l=l(t)) практически не используется. С другим - описание движения с помощью радиус-вектора () и его изменения со временем (перемещение) - сталкиваются обычно учащиеся профильных физических классов.

В средней общеобразовательной школе определяют положение материальной точки в пространстве посредством координат (фактически проекций конца радиус-вектора на координатные оси): х = х (t); у = у (t); z=z(t), При этом рассматривается прямоугольная система координат. Изменение положения материальной точки в пространстве определяют перемещением. Такой способ описания движения обычно называют координатно-векторным.

При описании движения с помощью радиус-вектора как функции времени или с помощью координат основные кинематические характеристики вводят сразу как векторные величины. Такой подход помогает вскрыть векторный характер величин, к тому же этот способ описания движения более компактен.

В основной школе, из соображений доступности, выбирают следующий методический подход — скорость равномерного и прямолинейного движения вводят в два этапа: сначала как скалярную величину, а затем этой величине приписывают направление.

При формировании понятий перемещения, скорости и ускорения в старших классах очень важно, чтобы векторный характер этих величин был усвоен достаточно хорошо до изучения динамики, где знание векторного характера этих величин необходимо для понимания основных законов движения. Векторная запись уравнений движения в сочетании с соответствующими рисунками (схематическим изображением механических процессов) помогает раскрыть физическую сущность вопросов динамики.

Выражения законов механики в векторной форме являются самыми общими и не зависят от выбора системы отсчета. Именно поэтому в старших классах больше внимания уделяют работе с векторными величинами, и избирают координатно-векторный метод описания движения.

Вшкольном курсе механики дается представление о возможных классификациях механического движения: по траектории (прямолинейное и криволинейное) и по характеру движения (равномерное и неравномерное), причем последнее определяется кинематическими характеристиками (скоростью - v, ускорением – а).

l
y1
y2
Sy
y
x1
x2
Sx
x
Рассмотрение видов движения должно происходить на основе координатного метода. А для этого необходимо введение понятий «система отсчета» и «координаты точки». К введению этих понятий учащиеся, в определенной степени, подготовлены на уроках математики. Они умеют определять координаты точки на плоскости и, следовательно, знакомы с понятием системы координат. Отталкиваясь от этих знаний, следует перейти к рассмотрению механического движения материальной точки на плоскости. Анализируя конкретные движения, раскрывают перед учащимися понятия координаты, вектора перемещения и пути, пройденного телом вдоль траектории.

Начертив на доске систему координат отмечаем первоначальные координаты мела (х1, у1), затем, переместив мел произвольным образом, отмечают другое положение, а следовательно и новые координаты (х2, у2). После этого отмечаем вектор перемещения, путь, пройденный телом вдоль траектории и уточняется, что для определения нового положения тела достаточно указать вектор перемещения, конец которого указывает новое положение тела. Затем вводится понятие проекций вектора перемещения на координатные оси. (на чертеже показываются sx и sy) и выясняется, что вектор перемещения однозначно определяется его проекциями.

Доступнее всего для учащихся определение проекции вектора перемещения через разность соответствующих координат sx = x2x1. Если x2 больше x1, то проекция вектора перемещения положительна x2– x1 > 0, если наоборот, то отрицательна.

Для обобщения данного материала желательно предложить учащимся заполнить следующую сравнительную таблицу:

Пройденный путь Перемещение
1.Путь, пройденный точкой, равен длине отрезка траектории, которая описывается при движении точки из одного положения в другое за данный промежуток времени. 1. Направленный отрезок прямой, соединяющий начало и конец пути называется перемещением.
2. Пройденный путь — скалярная величина. 2. Перемещение — векторная величина.
3. l = v × t 3.
4. Пройденный путь всегда величина положительная 4. Проекция вектора перемещения может быть положительна, отрицательна и равна 0
5. Между двумя точками путь может быть различным. 5. Перемещение между двумя точками только одно.

Вопрос о видах движения тесно связан с уравнениями движения. Учащиеся должны уяснить, что уравнения движения в кинематике позволяют решить основную задачу механики: определить положение материальной точки в пространстве в любой момент времени, если известны начальные условия и ускорение.

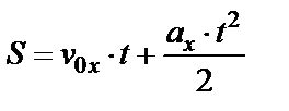
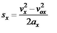
Впервые школьники обращаются к уравнению движения при рассмотрении простейшей модели — равномерного прямолинейного движения, после введения понятия скорости равномерного прямолинейного движения: - векторная форма или sx = vx × t – алгебраическая форма.

Позже, при изучении равноускоренного прямолинейного движения, учащиеся знакомятся с уравнением перемещения для данного типа движения и записывают его в проекциях на соответствующие оси .

Следует довести до сознания учащихся, что достаточно знать только это уравнение и уравнение скорости, чтобы решить любую кинематическую задачу. Про все остальные уравнения, используемые в кинематике, говорится, что они являются производными от данного основного уравнения, их легко получить из него (желательно показать на примере).

Следует довести до сознания учащихся, что достаточно знать уравнение перемещения и уравнение скорости (при этом учитывают знак проекций), чтобы решить любую кинематическую за дачу. Могут быть и другие уравнения движения, которыми в конкретных случаях пользоваться удобнее. Например, уравнением

пользоваться удобнее, если в условии задачи неизвестно время.

От уравнения перемещения, записанного через проекции векторов на ось, переходят к уравнению координаты: х = х0 + vx t

(для равномерного движения) и

(для равноускоренного движения).

Можно использовать и другой подход. (т. е. не вводить понятия проекции вектора перемещения на ось). Для решения уравнений в этом случае вводят «правило знаков»: знак перед ускорением (и скоростью) определяется направлением вектора ускорения (и скорости) относительно выбранной оси (по направлению оси — плюс, против — минус).

Изучение механики с применением координатного метода позволяет приблизить трактовку основных понятий и законов к той, которая принята в науке, усилить меж­предметные связи физики и математики, осуществить общий под­ход к изучению законов движения и повысить уровень обобщения знаний.

 

Методика изучения кинематических понятий (скорость, ускорение, уравнения движения)

 

Способ введения понятий скорости и ускорения зависит от способа введения понятий координат и перемещения материальной точки. При повторении курса основной школы в старших классах необходимо показать, что понятие мгновенной скорости имеет смысл для любого движения, в том числе и равномерного. Этот методический прием исключает возможность образования у школьников неправильного представления о том, что существует несколько понятий скорости.

В старших классах понятие скорости вводят как векторную величину для прямолинейного и криволинейного движений, при этом векторный характер скорости непосредственно вытекает из введения перемещения как векторной величины.

Изучение понятия скорости в несколько этапов.

На первом этапе вводится понятие скорости равномерного движения. При повторении равномерного прямолинейного движения выделить основной его признак: материальная точка в любые равные промежутки времени совершает одинаковые (равные) перемещения. Но равномерные движения разных тел отличаются друг от друга, значит необходимо ввести характеристику движения скорость - величину, которая определяется отношением вектора перемещения ко времени, в течение которого это перемещение произошло. Введение скорости обязательно должно сопровождаться экспериментом.

Далее вводится понятие средней скорости неравномерного движения как скалярной величины. О средней скорости как о векторе можно говорить тогда, когда определяют ее через отношение вектора перемещения к промежутку времени, за который это перемещение совершено. Этот методический подход используют при определении мгновенной скорости.

Учащиеся нередко пытаются определить среднюю скорость как среднеарифметическое начальной и конечной скоростей. Это справедливо только в случае равноускоренного движения. В окружающей нас жизни о средней скорости говорят именно как о величине, равной отношению пути, пройденного телом при движении, к промежутку времени, за который этот путь пройден. Именно это понимание средней скорости и следует выработать у учащихся. Целесообразно решить задачи типа:

1) Первую треть пути тело прошло со скоростью 80 км/ч, остальной путь — со скоростью 20 км/ч. Определите среднюю скорость. 2) Три четверти всего времени движения скорость тела составляла 48 км/ч, остальное время — 96 км/ч. Определите среднюю скорость.

Очень полезно для усвоения понятия скорости и понимания практического выхода этой характеристики ознакомить учащихся с различными значениями скоростей движения тел в окружающей нас жизни, технике, военном деле, используя для этой цели таблицы, предложенные в учебнике. Целесообразна здесь же и работа со справочником. Работая с таблицами, следует добиваться от старшеклассников понимания физического смысла понятия скорости.

Следующим звеном в цепочке формирования основных кинематических характеристик является рассмотрение мгновенной скорости. Трудность введения этого понятия связана с необходимостью введения предельного перехода, еще неизвестного учащимся при Δt стремящемся к нулю.

По существу, при введении этого понятия в школе используют понятие не математического, а физического предельного перехода: вместо бесконечно малой величины рассматривают очень малый, но конечный промежуток времени - физически малый промежуток времени — такой промежуток, который способен зафиксировать физический прибор.

Понятие мгновенной скорости вводится путем постановки проблемы: с помощью средней скорости нельзя решить основную задачу механики для неравномерного движения.

К примеру можно проанализировать следующую задачу: тело двигалось равномерно в течение промежутка времени t1 = 20 с со скоростью v1 = 20 м/с и в течение времени t2 = 20 с со скоростью v2 = 30 м/c. Предложить учащимся определить положение тела для любого момента времени.

Для этого им, согласно уже выработанного общего подхода, нужно найти среднюю скорость

Если теперь определить положение тела к моменту времени t = 10 с, то получим vср × t= 250 м, но с другой стороны время t входит в промежуток t1 = 20 с, где тело двигалось со скоростью v1 = 20 м/с, Þ S = v1×t = 200 м.

Это приводит к введению особой характеристики неравномерного движения как скорость в данный момент времени в данной точке траектории, такую скорость и называют мгновенной: мгновенная скорость равна отношению достаточно малого перемещения на участке траектории к промежутку времени, за который это перемещение произошло.

Введение понятия мгновенной скорости обязательно сопровождают экспериментом: это может быть опыт с электронным секундомером и датчиками либо опыт со стробоскопом, где делают стробоскопические снимки одного и того же неравномерного движения с различной частотой вспышек. Аналогично вводят понятие мгновенной скорости и в криволинейном движении.

Методика введения понятия ускорения та же, что и при введении понятия мгновенной скорости. Сначала вводят среднее ускорение за малый промежуток времени, а затем понятие мгновенного ускорения. Однако необходимо предварительно напомнить учащимся о вычитании векторов, чтобы они умели находить век тор изменения скорости.

При введении понятия ускорения выбирают такое неравномерное движение, при котором скорость за любые равные промежутки времени меняется одинаково. Подобно тому, как равномерном прямолинейном движении скорость характеризует быстроту изменения перемещения со временем, так и при равноускоренном прямолинейном движении ускорение характеризует быстроту изменения скорости со временем.

Особое внимание, что знание ускорения позволяет найти мгновенную скорость равноускоренного движения (формула)

Для уяснения понятия ускорения равноускоренного прямолинейного движения целесообразно рассмотреть вопросы типа:

«Ускорение движущегося тела равно 0,2 м/с Что это означает?):

И конечно, полезна работа с таблицей ускорений.

 

Методика изучения основных понятий динамики (сила и масса)

Понятие массы – одно из наиболее сложных и фундаменталь­ных в науке. Это понятие используют как для объектов макроми­ра (вещественных и полевых), так и для объектов микромира (частиц вещества и частиц поля).

Масса – физическая величина, одна из основных характеристик материи, определяющая инертные и гравитационные свойства. Понятие массы было введено И.Ньютоном в определении импульса тела. Определенная таким образом масса характеризует свойства тела, является мерой его инертности и называется инертной. В теории гравитации Ньютона масса выступает как источник поля тяготения и является мерой гравитационных свойств, поэтому называется гравитационной. В школьном курсе физики изучаются оба типа масс, но понятие инертной массы вводится, а гравитационной нет.

Методика формирования понятия массы при рассмотрении механики в старшей школе базируется на той пропедевтике, которая имела место во вводном курсе 7 класса, а также создает тот фундамент, на котором строится рассмотрение этого понятия во всех последующих разделах систематического курса физики. Можно выделить такие этапы формирования понятия массы.

Исходя из преемственности вводного и систематического курса физики необходимо повторить все основные положения по введению этого понятия во вводном курсе физики.

Затем на основе опытов вводится понятие инертности тел, как свойства тела, заключающееся в том, что для изменения скорости тела необходимо некоторое время и рассматривается способ сравнения инертных свойств двух тел – если при взаимодействии тел у одного из них скорость меняется на меньшую величину, то данное тело более инертно.

Учащиеся уже по опытам, уже зная понятие массы могут заметить, что мерой инертности можно считать именно массу. Таким образом выясняется, что физической величиной, характеризующей инертные свойства тел, является его масса.

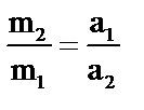
Далее проводится опыт на центробежной машине с телами неравной массы, в котором можно измерить ускорение тел и на основании этого сравнить их массы.

m2
m1
n

m2/m1 = 2

отсюда

 

На основании этого опыта учащихся подводят к выводу о том, что для определения массы тела необходимо заставить его провзаимодействовать с неким эталоном, масса которого известна и принята за единицу. При этом раскрывается свойство инертности: нельзя изменить скорость тела мгновенно (для изменения скорости тела необходимо время для различных тел разное, при наличии одинаковых сил — для тел с большей массой — большее, для тел с меньшей массой — меньшее). Дается определение массы: масса тела — физическая величина, характеризующая его инертность. Она определяется отношением ускорения эталона к ускорению тела при их взаимодействии

Но так как масса эталона принимается за единицу, то .

Здесь же необходимо обсудить вопросы об аддитивности массы, единицах измерения массы, двух основных способах измерения массы: на рычажных весах и по взаимодействию тел. Также необходимо рассмотреть вопрос о том, когда нельзя воспользоваться рычажными весами при определении массы (определение массы планет, звезд, микрочастиц), в этом случае применяется второй способ.

Сила в механике рассматривается как мера механического действия на данное материальное тело других тел. Это действие вызывает изменение скоростей точек тела или его деформацию и может иметь место как при непосредственном контакте, так и посредством создаваемых телами полей. Именно эти существенные признаки понятия силы и должны быть сформированы в курсе физики средней школы.

Формирование понятия силы также начинается в 7 классе, где устанавливается, что изменение вектора скорости возможно только при его взаимодействии с другим телом. На основе этого положения и вводится представление о силе (тяжести, упругости, весе, силе трения и силе взаимодействия молекул), затем рассматриваются способ измерения силы и единицы измерения силы.

В 10 классе эти положения повторяются. Определение понятия силы дается как количественная характеристика действия одного тела на другое. Ставятся эксперименты для определения силы, в основе которого лежит положение: сила упругости не зависит от свойств тела, на которое она действует.

Используя это свойство можно действовать на тела различной массы поочередно пружиной с фиксированной длиной, т.е. с силой одинаковой величины.

На известном опыте устанавливается, что для всякого ускоряемого тела при действии одинаковой силы произведение массы тела на его ускорение остается постоянным

m1×a1 = m2×a2 Þ m×a = сonst

F = m×a

Далее отмечают, что данная формула выражает второй закон Ньютона, после чего дают его словесную формулировку:

Сила, действующая на тело независимо от ее природы, равна произведению массы тела на сообщаемое этой силой ускорение.

Далее вводится понятие о «действии» и «противодействии» в механике при изучении 3 закона Ньютона. Дается следующая формулировка:

Тела действуют друг на друга силами одной и той же природы, равными по модулю и противоположными по направлению — F1 = - F2.




Поделиться с друзьями:


Дата добавления: 2014-12-27; Просмотров: 1767; Нарушение авторских прав?; Мы поможем в написании вашей работы!


Нам важно ваше мнение! Был ли полезен опубликованный материал? Да | Нет



studopedia.su - Студопедия (2013 - 2026) год. Все материалы представленные на сайте исключительно с целью ознакомления читателями и не преследуют коммерческих целей или нарушение авторских прав! Последнее добавление




Генерация страницы за: 0.013 сек.