Студопедия

КАТЕГОРИИ:


Архитектура-(3434)Астрономия-(809)Биология-(7483)Биотехнологии-(1457)Военное дело-(14632)Высокие технологии-(1363)География-(913)Геология-(1438)Государство-(451)Демография-(1065)Дом-(47672)Журналистика и СМИ-(912)Изобретательство-(14524)Иностранные языки-(4268)Информатика-(17799)Искусство-(1338)История-(13644)Компьютеры-(11121)Косметика-(55)Кулинария-(373)Культура-(8427)Лингвистика-(374)Литература-(1642)Маркетинг-(23702)Математика-(16968)Машиностроение-(1700)Медицина-(12668)Менеджмент-(24684)Механика-(15423)Науковедение-(506)Образование-(11852)Охрана труда-(3308)Педагогика-(5571)Полиграфия-(1312)Политика-(7869)Право-(5454)Приборостроение-(1369)Программирование-(2801)Производство-(97182)Промышленность-(8706)Психология-(18388)Религия-(3217)Связь-(10668)Сельское хозяйство-(299)Социология-(6455)Спорт-(42831)Строительство-(4793)Торговля-(5050)Транспорт-(2929)Туризм-(1568)Физика-(3942)Философия-(17015)Финансы-(26596)Химия-(22929)Экология-(12095)Экономика-(9961)Электроника-(8441)Электротехника-(4623)Энергетика-(12629)Юриспруденция-(1492)Ядерная техника-(1748)

Равномерная сходимость функционального ряда




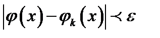
Последовательность функций называется равномерно сходящейся на множестве В, если:

1) Существует предельная функция .

2) Для любого числа можно указать число такое, что при .

В этом случае пишут: .

Функциональный ряд (5) называется сходящимся равномерно на множестве В, если равномерно сходится на этом множестве последовательность его частичных сумм: , где .

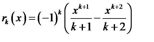
Пример 13. Ряд сходится для всех точек сегмента . Оценим остаток этого ряда . В скобках стоит знакочередующийся ряд с монотонно убывающими членами, причём общий член стремится к нулю при . На основании признака Лейбница, имеем , т.к. . Легко видеть, что каково бы ни было существует число К такое, что при имеет место неравенство (4) для всех точек из сегмента . В качестве числа можно взять любое целое число, большее, чем . Здесь выбранное число , начиная с которого осуществляется неравенство (4), не зависит от точки на сегменте (а зависит только от ). В этом случае говорят, что ряд сходится равномерно на .




Поделиться с друзьями:


Дата добавления: 2014-12-23; Просмотров: 400; Нарушение авторских прав?; Мы поможем в написании вашей работы!


Нам важно ваше мнение! Был ли полезен опубликованный материал? Да | Нет



studopedia.su - Студопедия (2013 - 2026) год. Все материалы представленные на сайте исключительно с целью ознакомления читателями и не преследуют коммерческих целей или нарушение авторских прав! Последнее добавление




Генерация страницы за: 0.013 сек.