Студопедия

КАТЕГОРИИ:


Архитектура-(3434)Астрономия-(809)Биология-(7483)Биотехнологии-(1457)Военное дело-(14632)Высокие технологии-(1363)География-(913)Геология-(1438)Государство-(451)Демография-(1065)Дом-(47672)Журналистика и СМИ-(912)Изобретательство-(14524)Иностранные языки-(4268)Информатика-(17799)Искусство-(1338)История-(13644)Компьютеры-(11121)Косметика-(55)Кулинария-(373)Культура-(8427)Лингвистика-(374)Литература-(1642)Маркетинг-(23702)Математика-(16968)Машиностроение-(1700)Медицина-(12668)Менеджмент-(24684)Механика-(15423)Науковедение-(506)Образование-(11852)Охрана труда-(3308)Педагогика-(5571)Полиграфия-(1312)Политика-(7869)Право-(5454)Приборостроение-(1369)Программирование-(2801)Производство-(97182)Промышленность-(8706)Психология-(18388)Религия-(3217)Связь-(10668)Сельское хозяйство-(299)Социология-(6455)Спорт-(42831)Строительство-(4793)Торговля-(5050)Транспорт-(2929)Туризм-(1568)Физика-(3942)Философия-(17015)Финансы-(26596)Химия-(22929)Экология-(12095)Экономика-(9961)Электроника-(8441)Электротехника-(4623)Энергетика-(12629)Юриспруденция-(1492)Ядерная техника-(1748)

Задачи для самостоятельной работы 1 страница




Типовая задача

Имеются следующие данные о времени простоя автомобиля под разгрузкой:

№ пункта разгрузки                    
Число грузчиков                    
Время простоя, мин.                    

 

Требуется проверить закон сложения дисперсий, определить численное значение влияния фактора, положенного в основу группировки, на варьирующий признак и оценить существенность подобного влияния.

 

Решение

 

В данной задаче варьирующим признаком является время простоя автомобиля под разгрузкой ().

На время простоя влияют различные факторы, например число грузчиков, условия труда, уровень квалификации рабочих (опыт), погодные условия и т.д. Численно вариацию времени простоя складывающуюся под воздействием различных факторов, можно определить с помощью общей дисперсии.

Для расчёта общей дисперсии составим дискретный ряд распределения и сведём промежуточные расчёты в таблицу.

 

Время простоя под разгрузкой, Число выполненных разгрузок,
      -4    
      -2    
           
      +3    
      +6    
      +7    
Итого     - -  

 

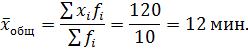
Определим среднее время простоя автомобиля и общую дисперсию.

1) Среднее время простоя:

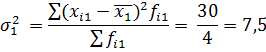
2) Общая дисперсия:

Величина этой дисперсии характеризует вариацию времени простоя автомобиля под разгрузкой под влиянием всех условий.

Различия в величине изучаемого признака (время простоя под разгрузкой) возникают, прежде всего, под влиянием числа грузчиков, принимающих участие в процессе разгрузки. В связи с этим в совокупности выделяются две однородные группы по числу грузчиков. В первую группу попадают разгрузки автомобиля с участием 3-х грузчиков, во вторую группу входят разгрузки с участием 4-х грузчиков. Для каждой из выделенных групп определяется среднее внутригрупповое значение варьирующего признака и внутригрупповая дисперсия, являющаяся мерой вариации времени простоя под влиянием различных факторов, кроме фактора, положенного в основу группировки (число грузчиков). Для расчёта внутригрупповых дисперсий используем вспомогательные таблицы.

 

Число грузчиков = 3 Время простоя под разгрузкой, Число выполненных разгрузок,
      -4    
      -1    
      +2    
      +3    
Итого     - -  
Число грузчиков = 4       -1,33 1,7689 5,31
      +0,67 0,4489 0,90
      +2,67 7,1289 7,13
Итого     - - 13,34

 

3) Определим среднее время простоя автомобиля в первой и второй группах:

4) Определим внутригрупповые дисперсии:

Средняя из внутригрупповых дисперсий определяется следующим образом:

5) Определим межгрупповую дисперсию, которая является мерой межгрупповой вариации. Межгрупповая вариация признака возникает под влиянием фактора, положенного в основу группировки.

 

Таким образом, межгрупповая дисперсия характеризует вариацию времени простоя автомобиля под разгрузкой под влиянием численности грузчиков, участвующих в разгрузке.

Общая дисперсия () равна сумме средней внутригрупповой дисперсии и межгрупповой дисперсии :

Что и соответствует полученной ранее величине.

Для того, чтобы численно определить насколько вариация времени простоя автомобиля под разгрузкой зависит от числа грузчиков, необходимо вычислить эмпирический коэффициент детерминации, который определяется путём отношения межгрупповой дисперсии к общей.

Таким образом, вариация времени простоя автомобиля на 71,3% зависит от количества грузчиков, участвующих в разгрузке автомобиля.

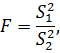
Для проверки значимости влияния фактора, положенного в основу группировки, на вариацию результативного признака используется критерий Фишера:

где определяется следующим образом:


 

 

 

где – число единиц в j -ой группе;

– средняя величина результативного признака в j -ой группе;

– общая средняя величина результативного признака;

- число степеней свободы, где k – количество групп.

определяется следующим образом:


где - значение признака у i -ой единицы в j -ой группе;

– число степеней свободы, где n – объём совокупности;

i – номер единицы;

j – номер группы.

Определим фактическое значение критерия Фишера по данным задачи:

Знаменатель отношения будет иметь вид:

Таким образом, фактическое значение критерия Фишера:

Определим критическое значение F-критерия из П.1 приложения.

При вероятности P=0,95 (уровень значимости 0,05) и числе степеней свободы (k1=1; k2=8) критическое значения равно .

Так как (19,70 > 5,32), следовательно, фактор, положенный в основу группировки, существенно влияет на варьирующий признак. Иными словами, число грузчиков, участвующих в разгрузке автомобиля, оказывает существенное влияние на время простоя автомобиля под разгрузкой.

1. Имеются следующие данные по крупнейшим туроператорам России:

(2 варианта)

Полное название компании Выручка, млн. долл. США, в 2006 году Кол-во обслуженных туристов, чел., в 2006 году Численность персонала, чел.
  Coral Travel / Odeon Tours (Group of Companies OTI)      
  UTE Megapolus group      
  Группа компаний "Альтаир" 59,85    
  Группа компаний "Интурист" 338,31    
  Группа компаний "Натали Турс"      
  Группа компаний "Русский Экспресс" 51,59    
  Группа компаний NEVA INTERNATIONAL HOLDING 225,02    
  Группа компаний TEZ Tour** 294,82    
  ЗАО "Ланта-тур вояж" 91,58    
  ЗАО "Туристическая компания ТУРЭНЕРГОСЕРВИС" 59,39    
  Компания PAC Group 128,71    
  ООО "Ависта" 41,95    
  ООО "Академсервис" 92,13    
  ООО "Библио Трэвел" (Торговая марка "Библио Глобус" 57,89    
  ООО "Инна тур" 321,01    
  ООО "ИнтАэр" 64,75    
  ООО "Капитал Тур" 175,9    
  ООО "КМП групп" 87,56    
  ООО "ТУРИНФО группа РФР" 58,71    

 

 

Требуется:

1) Определить общую дисперсию:

I вариант – по количеству обслуженных туристов;

II вариант – по объему выручки.

2) Произвести группировку туроператоров, выделив 3 группы:

I вариант – по численности персонала;

II вариант – по количеству обслуженных туристов.

3) Для каждой выделенной группы вычислить внутригрупповую дисперсию по результативному признаку и среднюю внутригрупповую.

4) Вычислить межгрупповую дисперсию и её долю в общей дисперсии, определив:

I вариант – влияние численности персонала туроператора на количество обслуженных туристов;

II вариант – влияние количества обслуженных туристов на уровень выручки туроператоров.

5) Оценить существенность влияния группировочного признака на вариацию результативного с помощью F-критерия Фишера.

6) Сформулировать вывод.

 

2. Имеются данные об оценке деятельности компаний (в баллах) по защите окружающей среды в 2011 году, так называемый «зелёный» рейтинг брендов мира.

(2 варианта)

Бренд Страна Сектор (направление бизнеса) Балл
  3M США Инновационно-производственный 63,33
  Accenture США Бизнес-услуги 45,76
  Adidas Германия Спортивные товары 54,48
  Allianz Германия Финансовые услуги 54,55
  Apple США ИТ 56,43
  Avon США Товары повседневного спроса 50,36
  AXA Франция Финансовые услуги 48,39
  Barclays Великобритания Финансовые услуги 46,90
  BMV Германия Автопром 56,81
  Campbell's США Товары повседневного спроса 50,94
  Canon Япония ИТ 53,13
  Cisco США Бизнес-услуги 57,66
  Citi США Финансовые услуги 46,97
  Coca-Сola США Напитки 53,38
  Credit Suisse Швейцария Финансовые услуги 47,07
  Danone Франция Товары повседневного спроса 56,15
  Dell США ИТ 58,81
  Ford США Автопром 54,67
  Hewlett-Packard США ИТ 59,06
  Honda Япония Автопром 58,85
  HSBC Великобритания Финансовые услуги 46,54
  Hyundai Южная Корея Автопром 57,18
  IBM США Бизнес-услуги 54,68
  Ikea Швеция Товары для дома 49,32
  Intel США ИТ 53,89
  Johnson & Johnson США Товары повседневного спроса 59,41
  Kellogg's США Товары повседневного спроса 50,81
  L'oreal Франция Товары повседневного спроса 55,84
  Mcdonald's США Ресторанный бизнес 47,06
  Mercedes-Benz Германия Автопром 55,24
  Microsoft США ИТ 53,02
  Nike США Спортивные товары 54,94
  Nintendo Япония ИТ 47,78
  Nokia Финляндия ИТ 54,51
  Panasonic Япония ИТ 57,32
  Pepsi США Напитки 53,04
  Philips Нидерланды ИТ 52,58
  Samsung Южная Корея ИТ 54,06
  Santander Испания Финансовые услуги 49,26
  SAP Германия Бизнес-услуги 50,16
  Siemens Германия Инновационно-производственный 63,08
  Sony Япония ИТ 54,73
  Starbucks США Ресторанный бизнес 47,99
  Toyota Япония Автопром 64,19
  Volkswagen Германия Автопром 58,90
  Xerox США ИТ 52,61

Требуется:

1) Определить общую дисперсию по оценке деятельности компаний.

2) Произвести группировку компаний:

I вариант – по направлению бизнеса;

II вариант – по странам.

3) Для каждой выделенной группы вычислить внутригрупповую дисперсию по оценке деятельности компаний и среднюю внутригрупповую.

4) Вычислить межгрупповую дисперсию и её долю в общей дисперсии, определив:

I вариант – влияние направления бизнеса на объём деятельности компаний в сфере защиты окружающей среды;

II вариант – влияние страны на объём деятельности компаний в сфере защиты окружающей среды.

5) Проверить правило сложения дисперсий.

6) Сформулировать вывод.

 

3. Имеются данные о стоимости российских брендов в 2010 году:

Бренд Стоимость бренда (млн. долл.) Отрасль
  Альфа-Банк   Финансы
  Арсенальное   Алкоголь
  Балтика 2 284 Алкоголь
  Банк Москвы   Финансы
  Билайн 6 323 Телеком
  ВТБ   Финансы
  Газпром нефть   Нефть
  Домик в деревне   Продукты
  Ингосстрах   Финансы
  Клинское   Алкоголь
  Лукойл 1 173 Нефть
  М.Видео   Ритейл
  Магнит   Ритейл
  МегаФон   Телеком
  Моя Семья   Продукты
  МТС 7 753 Телеком
  НТВ   Медиа
  Перекресток   Ритейл
  Пятёрочка   Ритейл
  Росгосстрах   Финансы
  Роснефть   Нефть
  Сбербанк   Финансы
  Связной   Ритейл
  СТС   Медиа
  Татнефть   Нефть
  ТНК   Нефть
  Тонус   Продукты
  Фруктовый Сад   Продукты
  Я   Продукты
  Ярпиво   Алкоголь

Требуется:

1) Определить общую дисперсию по стоимости российских брендов.

2) Произвести группировку компаний по отрасли.

3) Для каждой выделенной группы вычислить внутригрупповую дисперсию по стоимости брендов и среднюю внутригрупповую.

4) Определить межгрупповую дисперсию и её долю в общей дисперсии.

5) Сформулировать вывод.

 

4. Имеются данные по крупнейшим аптечным сетям России по итогам 2008 года.

Аптечная сеть Оборот в 2008 году, млрд. руб. Количество точек продаж
  А5 2,2  
  Аптека 03 1,6  
  Биотэк 1,8  
  Вита 4,3  
  Доктор Столетов 5,2  
  Здоровые люди 3,2  
  Имплозия 6,6  
  Классика 2,9  
  Мособлфармация 3,7  
  Невис    
  Опека 2,1  
  Первая помощь 4,8  
  Радуга 4,3  
  Ригла 10,4  
  Старый лекарь 4,1  
  Столичные аптеки 4,8  
  Фармаимпекс    
  Фармакор 7,4  
  Фармленд 1,8  

Требуется:

1) Определить общую дисперсию оборота аптечных сетей.

2) По количеству точек продаж произвести группировку, выделив 4 интервала;

3) Для каждой выделенной группы вычислить внутригрупповую дисперсию по обороту, определить среднюю внутригрупповую.

4) Определить межгрупповую дисперсию.

5) Проверить правило сложения дисперсий.

6) Вычислить эмпирический коэффициент детерминации и сделать вывод.

 

 

5. По ряду стран имеются данные о численности студентов на 1000 человек населения и соответствующих расходах на образование.

Страна Расходы на образование (% к ВВП) Численность студентов на 1000 человек населения
  Австрия 5,6  
  Азербайджан 3,5  
  Армения 2,3  
  Белоруссия 6,5  
  Болгария    
  Великобритания 4,7  
  Венгрия 5,1  
  Германия 4,4  
  Дания 6,8  
  Италия 4,8  
  Канада 5,5  
  Мексика 4,1  
  Молдавия 4,8  
  Нидерланды 4,5  
  Новая Зеландия 6,1  
  Норвегия 6,8  
  Польша 5,4  
  США 4,8  
  Таджикистан 1,9  
  Турция 2,9  
  Украина 4,7  
  Финляндия 5,8  
  Франция 5,9  
  Швеция 6,6  
  Япония 3,6  

Требуется:

1) По расходам на образование выделить 4 группы и проверить правило сложения дисперсий.

2) Оценить существенность влияния группировочного признака на вариацию численности студентов на 1000 человек населения.

 


 

6. По ряду регионов имеются данные об урожайности подсолнечника и количестве используемых минеральных удобрений.

  Урожайность подсолнечника, центнеров с одного гектара, 2008 год Минеральные удобрения (в пересчете на 100% питательных веществ), кг
  Белгородская область 17,5 102,6
  Брянская область   33,8
  Волгоградская область   20,9
  Воронежская область 16,2 69,3
  Кабардино-Балкарская Республика 13,6  
  Карачаево-Черкесская Республика   44,3
  Краснодарский край 23,4 92,6
  Курская область   97,7
  Липецкая область 17,5 104,3
  Нижегородская область 13,6 54,4
  Орловская область 15,4 70,9
  Республика Адыгея 17,2 65,7
  Республика Дагестан    
  Республика Ингушетия 3,3 2,9
  Республика Калмыкия 4,2 8,2
  Рязанская область 8,8 51,8
  Ставропольский край 16,6 64,6
  Тамбовская область   49,3
  Тульская область 7,7 66,6
  Ульяновская область 7,5 35,5
  Чеченская Республика 6,6 3,6

Требуется:

1) Определить дисперсию урожайности подсолнечника.

2) Произвести группировку регионов по уровню использования минеральных удобрений, выделив 5 групп.




Поделиться с друзьями:


Дата добавления: 2014-12-24; Просмотров: 1143; Нарушение авторских прав?; Мы поможем в написании вашей работы!


Нам важно ваше мнение! Был ли полезен опубликованный материал? Да | Нет



studopedia.su - Студопедия (2013 - 2026) год. Все материалы представленные на сайте исключительно с целью ознакомления читателями и не преследуют коммерческих целей или нарушение авторских прав! Последнее добавление




Генерация страницы за: 0.008 сек.