Студопедия

КАТЕГОРИИ:


Архитектура-(3434)Астрономия-(809)Биология-(7483)Биотехнологии-(1457)Военное дело-(14632)Высокие технологии-(1363)География-(913)Геология-(1438)Государство-(451)Демография-(1065)Дом-(47672)Журналистика и СМИ-(912)Изобретательство-(14524)Иностранные языки-(4268)Информатика-(17799)Искусство-(1338)История-(13644)Компьютеры-(11121)Косметика-(55)Кулинария-(373)Культура-(8427)Лингвистика-(374)Литература-(1642)Маркетинг-(23702)Математика-(16968)Машиностроение-(1700)Медицина-(12668)Менеджмент-(24684)Механика-(15423)Науковедение-(506)Образование-(11852)Охрана труда-(3308)Педагогика-(5571)Полиграфия-(1312)Политика-(7869)Право-(5454)Приборостроение-(1369)Программирование-(2801)Производство-(97182)Промышленность-(8706)Психология-(18388)Религия-(3217)Связь-(10668)Сельское хозяйство-(299)Социология-(6455)Спорт-(42831)Строительство-(4793)Торговля-(5050)Транспорт-(2929)Туризм-(1568)Физика-(3942)Философия-(17015)Финансы-(26596)Химия-(22929)Экология-(12095)Экономика-(9961)Электроника-(8441)Электротехника-(4623)Энергетика-(12629)Юриспруденция-(1492)Ядерная техника-(1748)

Определение структур цифровых фильтров по их разностным уравнениям




Как было показано выше, по передаточной функции ЦФ можно определить его разностное уравнение. Очевидно, что требование определить передаточную функцию по разностному уравнению ЦФ является обратной задачей.

Определение передаточной функции по ЦФ по его разностному уравнению осуществляется в следующем порядке.

Первый этап. Записывается разностное уравнение цифровой линейной цепи.

Второй этап. Производится операция вычисления прямого Z -преобразования. В результате получается уравнение, содержащее входные и выходные величины, которые соответственно задержаны друг относительно друга и перемножены на те или иные весовые коэффициенты.

Третий этап. Приводятся подобные относительно входных и выходных изображений на Z -плоскости, причем с левой стороны уравнения собираются члены, содержащие выходные величины, а с правой стороны относительно знака равенства – входные величины.

Четвертый этап. Формируется передаточная функция на Z -плоскости, на основе которой реализуется структурная схема.

 

Пример 9. По разностному уравнению написать передаточную функцию на Z -плоскости и нарисовать структурную схему соответствующей цифровой линейной цепи.

.

Анализ выражения показывает, что в его правой части отсутствуют члены, описывающие задержанную обратную связь, т.е. разностное уравнение соответствует нерекурсивной линейной цепи.

Подвергая последнее выражение прямому Z -преобразова-нию, будем иметь

Тогда передаточная функция будет

(2.38)

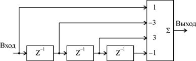
Следовательно, структурная схема линейного цифрового нерекурсивного фильтра реализуется в прямой форме в соответствии с выражением (2.38), так, как показано на рис. 14.

 

Рис. 14. Структурная схема линейного цифрового нерекурсивного фильтра третьего порядка в прямой форме

 

Анализ выражения (2.38) показывает, что его правая часть представляет собой кубическое уравнение с целочисленными коэффициентами по переменной .

Тогда передаточную функцию можно записать в виде

. (2.39)

Структурная схема линейного цифрового фильтра по выражению (2.39) представляет собой каскадное соединение элементарных цифровых нерекурсивных ячеек первого порядка первого вида с параметром и изображена на рис. 15.

 

Рис. 15. Структурная схема линейного цифрового нерекурсивного фильтра в виде каскадного соединения элементарных ячеек

 

Аналогичным образом решаются все задачи в п.10.2.2. в [2].




Поделиться с друзьями:


Дата добавления: 2014-12-24; Просмотров: 925; Нарушение авторских прав?; Мы поможем в написании вашей работы!


Нам важно ваше мнение! Был ли полезен опубликованный материал? Да | Нет



studopedia.su - Студопедия (2013 - 2025) год. Все материалы представленные на сайте исключительно с целью ознакомления читателями и не преследуют коммерческих целей или нарушение авторских прав! Последнее добавление




Генерация страницы за: 0.009 сек.