Студопедия

КАТЕГОРИИ:


Архитектура-(3434)Астрономия-(809)Биология-(7483)Биотехнологии-(1457)Военное дело-(14632)Высокие технологии-(1363)География-(913)Геология-(1438)Государство-(451)Демография-(1065)Дом-(47672)Журналистика и СМИ-(912)Изобретательство-(14524)Иностранные языки-(4268)Информатика-(17799)Искусство-(1338)История-(13644)Компьютеры-(11121)Косметика-(55)Кулинария-(373)Культура-(8427)Лингвистика-(374)Литература-(1642)Маркетинг-(23702)Математика-(16968)Машиностроение-(1700)Медицина-(12668)Менеджмент-(24684)Механика-(15423)Науковедение-(506)Образование-(11852)Охрана труда-(3308)Педагогика-(5571)Полиграфия-(1312)Политика-(7869)Право-(5454)Приборостроение-(1369)Программирование-(2801)Производство-(97182)Промышленность-(8706)Психология-(18388)Религия-(3217)Связь-(10668)Сельское хозяйство-(299)Социология-(6455)Спорт-(42831)Строительство-(4793)Торговля-(5050)Транспорт-(2929)Туризм-(1568)Физика-(3942)Философия-(17015)Финансы-(26596)Химия-(22929)Экология-(12095)Экономика-(9961)Электроника-(8441)Электротехника-(4623)Энергетика-(12629)Юриспруденция-(1492)Ядерная техника-(1748)

Бозондар мен фермиондар. Паули принципі. 1 страница. 1) инструменты для рассечения тканей:




А. общехирургический

1) инструменты для рассечения тканей:

1. скальпель: а) брюшистый б) остроконечный

2. ножницы: а) прямые остроконечные и тупоконечные б) изогнутые (по плоскости – Купера, по оси – Рихтера) остроконечные и тупоконечные

2) кровоостанавливающие зажимы:

1. зажим Кохера прямой и изогнутый (с зубчиком – «К охер К усается»)

2. зажим Бильрота прямой и изогнутый

3. зажим Микулича (есть щель, зубчик, кремальера с грубой насечкой)

4. зажим Пеана (губовидный)

5. зажимы типа москит прямые и изогнутые (отличаются миниатюрностью)

Все вышеперечисленные зажимы относятся к травмирующим сосудистую стенку.

6. зажим Гепфнера («утиный нос») – мало травмирует сосудистую стенку

3) вспомогательные:

1. крючки, или ранорасширители:

а) крючки Фарабефа пластинчатые и S-образные

б) зубчатые остро- и тупоконечные крючки

2. пинцеты: анатомический и хирургический

3. зонды: пуговчатый и желобоватый

4. лигатурные иглы – используются для подведения нитки под сосуд

а) игла Дешана – правая и левая

б) игла Купера – всегда правая

5. бельевые цапки

4) инструменты для соединения тканей

1. иглы:

а) режущие (треугольное сечение)

б) колющие (кишечные иглы, круглое сечение)

в) атравматические (со впаянной нитью)

2. иглодержатели: Гегара (игла ставится 1/3 от кончика, 2/3 от замка)

б. специальный (например, сосудистый)

 

Список использованной литературы.

1. А.А.Баешко «Ангиология и сосудистая хирургия»

2. В.Н. Войленко, А.И. Меделян, В.М. Омельченко «Атлас операций на брюшной стенке и органах брюшной полости»

3. О.П.Большаков, Г.М.Семенов «Оперативная хирургия и топографическая анатомия. Практикум».

4. В.В.Кованов «Оперативная хирургия и топографическая анатомия».

5. Литман. Электронный учебник в 3-х томах.

6. Г.Е.Островерхов, Ю.М.Бомаш, Д.Н.Лубоцкий «Оперативная хирургия и топографическая анатомия».

7. А.Ф.Рылюк «Топографическая анатомия и хирургия органов брюшной полости».

8. В.И.Сергиенко, Э.А.Петросян, И.В.Фраучи «Топографическая анатомия и оперативная хирургия». Под ред. академика РАМН Ю.М.Лопухина (2 т.)

9. С.А.Симбирцев «Основы оперативной хирургии».

10. Д. П. Чухриенко, А. В. Люлько «Атлас операций на органах мочеполовой системы»

11. Лекционный материал кафедры оперативной хирургии и топографической анатомии

12. Материалы образовательной сети Интернет

13. Методические пособия кафедры оперативной хирургии и топографической анатомии

 

 

Кезкелген екі бөлшек орын ауыстырғанда толқындық функциясы өзгермейтін бөлшектер Бозе-Эйнштейн статистикасына бағынады, ал бөлшектер бозе-бөлшектер немесе бозондар делінеді. Олар үшін (2.91)Ал толқындық функциялары антисимметриялы (2.92) бөлшектер Ферми-Дирак статистикасына бағынады, ал бөлшектер ферми-бөлшектер немесе фермиондар делінеді. Релятивтік кванттық механика заңдарынан бөлшектердің статистикасының олардың спиндеріне бір мәнді тәуелділігі: спиндері нөл не бүтін бөлшектер-бозондар, ал спиндері жартылай бүтін бөлшектер-фермиондар болатындығы көрінеді. Күрделі бөлшектердің статистикасы оның құрамындағы қарапайым фермиондардың санының жұптығымен анықталады. Шынында да, екі бірдей күрделі бөлшекті алмастыру қарапайым бөлшектердің бірдей қосақтарын ауыстырумен бірдей. Екі бозонды ауыстыру толқындық функцияны мүлдем өзгертпейді. Екі фермионды ауыстыру толқындық функцияның таңбасын өзгертеді. Сондықтан, қарапайым фермиондардың тақ санынан тұратын күрделі бөлшектер фермиондар, ал жұп санынан тұратын күрделі бөлшектер бозондар болады. Ядроның құрамындағы бөлшектер санын оның массалық саны анықтайды. Массалық саны А тақ ядролар Ферми-Дирак статистикасына, ал А жұп ядролар Бозе-Эйнштейн статистикасына бағынады. Бұл жоғарыда аталған А тақ ядролардың спиндері жартылай бүтін, ал А жұп ядролардың спиндері бүтін деген тұжырыммен дәл үйлеседі

Фермиондар мен бозондардың қасиеттерінің айырмашылығын анығырақ түсіну ұшін ең қарапайым, екі ғана бөлшектен тұратын, жүйені қарастырайық. Әр бөлшектің оның бола алатын күйлеріндегі толқындық функцияларын деп белгілейік. Сонда екі айнытылмайтын бөлшектен тұратын жүйенің бөлшектерінің біреуі бірінші, екіншісі екінші күйде болатын толқындық функциясын бозондар үшін (2.93)түрінде жазуға болады. Ал фермиондар үшін бұл функция антисимметриялы

(2.94)болады. Егер болса, онда (2.94)-тен шығады. Бұдан, “берілген күйде екі немесе одан артық фермион бола алмайды”,-деген қорытынды шығады. Бұл ереже Паули принципі немесе Паули тыйымы деп аталады. Паули принципі микроәлемнің, тіпті бүкіл әлемнің түбірлі заңдарының бірі. Ол болмаса атомның, ядроның қабықтық құрылымдары болмас еді. Бозондар үшін Паули тыйымы жоқ. Кезкелген күйде кезкелген бөлшек саны бола алады. Кейде Паули тыйымы статистиканың анықтамасы ретінде қолданылады. Ферми-Дирак статистикасы деп, бір күйде бірден артық бөлшек бола алмайтын статистиканы, ал Бозе-Эйнштейн статистикасы деп әр күйде бөлшектердің кезкелген саны бола алатын статистиканы айтады. Бұл анықтама Ферми-Дирак статистикасы үшін толық, ал Бозе-Эйнштейн статистикасы үшін жеткіліксіз. Ол бозондар үшін бөлшектер бойынша антисимметриялы күйлерге тыйым салынғанын ескермейді. Енді түсініктірек болу үшін классикалық, фермилік және бозондық статистикалар бойынша екі ақ күйде бола алатын екі бірдей бөлшектен тұратын жүйені қарастырайық. Мұндай жүйенің бола алатын күйлерінің саны әр статистика үшін әртүрлі болады. Классикалық статистика үшін 4.

1) екі бөлшекте бірінші күйде

2) екі бөлшекте екінші күйде

3) бірінші болшек бірінші, екінші бөлшек екінші күйде

4) бірінші болшек екінші, екінші бөлшек бірінші күйде

Ферми-Дирак статистикасында 1 күй бөлшектердің біреуі бірінші, екіншісі екінші күйде (бөлшектер бірінен бірі айнытылмайды).

Бозе-Эйнштейн статистикасы бойынша 3 күй.

1) екі бөлшекте бірінші күйде

2) екі бөлшекте екінші күйде

3) бөлшектердің біреуі бірінші, екіншісі екінші күйде

13.Атом ядросының модельдерінің түрлері. Ұжымдық және дербес бөлшектік моделдер. Ұжымдық моделдер мыналар:1. Тамшылық модел. Ядро зарядталған сығылмайтын сұйық тамшысы ретінде қарастырылады. Осыдан "ядроның байланыс энергиясы көлемдік, беттік және кулондық энергиядан кұралады"- делінеді. Әлбетте, бұларға тамшылық кезқараспен түсіндірілмейтін, қосымша симметрия энергиясы мен қосақтау энергиясы еңгізіледі. Ақырында, байланыс энергиясының Вейцзеккерлік (2.43) түрі шығарылады. Оны ядроның байланыс знергиясының А мен Z-ке төуелділігін, ядроның беттік тербелістерін және ядроның бөлінуін сапалық түсіндіруге қолданады. 2.Сфералық емес ядро моделі. Ядро заттың кейбір себебтерінен тепе-тендік күйде сфералық емес пішін кабылдаған қойыртпағы сияқты карастырылады. Ядроның кейбір ең төменгі энергиялық деңгейлерін сипаттауға қолданылады.

Бірбөлшектік моделдің мынадай түрлері қолданылады:1 .Қалдық әсерлесусіз қабықтық модел. "Нуклондардың бір-біріне тәуелсіз қозғалыстары барлық нуклондарға бірдей өздік үйлесімді өрісте өтеді", - деп есептеледі. Нуклондардың өзара әсерін әруақытта осы өздік үйлесімді әсерлесумен кейбір калдық әсерлесудің қосындысы түрінде алуға болады. Қарастырып отырған модел үшін қалдық әсерлесу әлсіз, оны елемеуге болады деп есептеп, оны ескермейді. Оның көмегімен киелі сандарды, ядролардың негізгі және кейбір қозған күйлерінің спиндері мен жұптылықтарын, магнит моменттерін, қос киелі ядролардың негізгі күйлерінің спиндері мен жұптылықтарын есептейді.2.Феномендік қосақтасулы қабықтық модел. Қалдық әсерлесу бірдей нуклокдардың өзара қосақтасуын елеу арқылы ескеріледі. Мұнда, бірдей нуклондар (дротондар немесе нейтроңдар)спиндері мен магнит моменттері нөлге, ал жұптылықтығы оң болатын қосақтар құрайды деп алынады. Массалық санның тақ мәндері үшін бір нуклон қосақсыз қалады. Бұл модел: барлық жұп-жұп ядролардың, барлық дерлік массалық саны А тақ адролардың спині мен жұптылығын, магнит моменттерінің жуық мәндерін анықтайды.

Жалпыланған моделдің мынадай түрлері бар:1. Әлсіз әсерлесулі жалпыланған модел. Нөлдік жуықтауда ядро тұтас сфералық ірге мен бір немесе бірнеше сырткы нуклондардан түрады деп алынады. Ірге ұжымдық моделдердің біреуімен, ал сыртқы нуклон ездік үйлесімді өріспен бейнеленеді. Оған қоса, ірге мен сыртқы нуконның еркіндік дәрежелері арасында әлсіз өзара әсерлесу болады деп есептеледі. Азғана, кейбір массалық саны А тақ ядролардың төменгі деңгейлерінің сипаттамалары түсіндіріледі. 2. Күшті әсерлесулі жалпыланған модел. Қабықтық моделдегі сиякты барлық нуклондар өздік үйлесімді күш өрісінде бір-біріне төуелсіз қозғалады деп есептеледі. Бірақ күш орталығы сфералық симметириялы емес пішінді және осыған байланысты ядро тұтас айнала алады. Айналуға (толық немесе ішінара) барлық нуклондар қатысады. Қолдану аймағы: көптеген ядролардың төмен жатқан деңгейлерінің орны мен сипаттарын анықтау.

14.Тамшылық модел. Ферми газ моделі. Тамшылық модел ядроның ұжымдық моделінің ең карапайым түрі. Ядроның радиусын әртүрлі әдістермен анықтау, оның А массалық санға тәуелділігін (2.48')өрнегімен бейнелеуге болатынын көрсетті. Демек барлық ядролар үшін нуклондардың концентрациясы бірдей

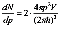
нукл/м3(4.1)олардың тығьздықтары да (4.2) орташа нуклон аралық қашықтықтары да Тәуелсіз бөлшектер моделдерінің ең карапайымы Ферми-газ моделі. Бұл моделде дербес нуклон-нуклондық әсердесулердің үстемелесі (суперпозициясы) болып табылатын күрделі көріністің орнына, ядрода нуклондардың бір-біріне тәуелсіз, ені орташаланған күш өрісіндегі қозғалысы карастырылады. Бір-бірімен күшті әсерлесетін нуклондар үшін мұндай пайымдау ақылға симайтын сияқты. Бірақ, нуклондардың фермиондар екенін ескерсек, мұндай жағдай мүмкін болады. Кезкелген фермиондардан тұратын жүйенің негізгі күйінде барлық төменгі деңгейлер толтырылған. Сондықтан әсерлесу кезінде нуклондар энергия алмастыра алмайды (энергиясы азайған нуклон түсетін орын жоқ). Нуклондарды ядродан шығармай ұстап тұратын потенциялық шұңқырдың тереңдігін былайша табуға болады. Ядроның негізгі күйіне ферми-газдың, барлық төменгі деңгейлері нуклондарға толған, абсолют нөлдік температуралық күйі сәйкес келеді. Ондағы барлық нейтрондардың саны (4.3)мұндағы -ядродағы деңгейлер тығыздығы, р-нейтронның импульсы, -ядроның колемі, рмакс- ядроның негізгі күйі үшін импульстың ең үлкен мәні.Интегралдау нәтижесінде (4.4.)немесе, симметриялы (жеңіл) А=2N ядро үшін шығады. Бұл жерде біз го=1,2фм деп алдық. Осыдан нейтронның кинетикалық энергиясының ең үлкен мәні

Нейтронның ядроға байланыс энергиясының орташа мәні 8МэВ. Соңдықтан потенциялық шұңқырдың терендігі болады (4.1-а сурет), Симметриялы ядро үшін протондар үшін де дәл сондай нәтиже шығады.Асимметриялы (N>Z) ядро үшін

болады (4.1-6 сурет). Бұрын түсіндіргеніміздей бұған себеп протондар арасындағы электрлік тебілу. Оның салдарынан протондық шүңқырдың түбі көтеріледі және өрнегі өзгереді. Ядродағы нуклондардың орташа кинетикалық энергиясы Алынған, потенциялық шұңқырдың тереңдігі Vо мен кинетикалық энергияның орташа пәні баска әдістермен анықталған мәндермен ұйкасады. Демек, ядроның тәуелсіз бөлшектік моделі де ядроның кейбір касиеттерін дұрыс түсіндіреді.

Ферми-газ моделінің пайдалану алқабы аз ғана. Ол ядроның құрылымының кейбір жалпы заңдылықтарын, оның ішінде ядродағы нуклондардың қозғалыста болатынын түсіндіреді. Бұл қозғалыстың салдарлары ядроға түсетін бөлшектердің оның кұрамындағы нуклоңдармен әсерлесуінен байқалады.

15. Ядроның қабықтық модельдері. нуклондардың саны киелі сандардың (2,8,20,28,50,82,126) біреуіне тең ядроларға байланыс энергиясының калыпсыз үлкен мәні (немесе өте нықтық) мен квадруподдік моментің О мәні тән (сфералық симметриялы) екені көрсетілді. Ядроның қасиеттерінің периодтық сипаты атомның периодтық қасиеттеріне ұқсас. Ол ядроға да атом сияқты, кабықтық құрылым тек шығар деген пікір туғызады. Бұл пікірді басқа да тәжірибелік мәліметтер қолдайды. Төменде осы ядроның кабықтық құрылымына меңзейтін кейбір мәліметтер беріледі. А. Байланыс энергиясының өзгеру заңдылықтары. Ядроның ңықтығын оның меншікті байланыс эиергиясы сипаттайды. Ңық ядроларға байланыс энергиясының ең үлкен мәні (көршілермен салыстырғанда) тән. Оларға үстеме қосылған нуклондардың байланысы әлсіз болуы тиіс (оған қосымша нуклонның байланыс энергиясы тым аз). ядроларын қарастырайық. Олардың әрқайсысы оның алдындағыға бір нуклон қосу арқылы алынады. Соңғы үш ядро үшін нуклонды байланыстыру энергиясы 2.2, 5.5 және 20.6МэВ, яғни ядросына жақындағанда күрт өседі.Егер осыны әрі қарай жалғастырып ядросына бір протон немесе нейтрон қоссақ, қосылу энергиясы теріс,сәйкес туынды ядро ( пен ) ңық емес болады. Демек 2 протон мен 2 нейтроннан тұратын, қос киелі ядро, ядросы көрші ядроларға қарағанда өте ңық. Радиоактивтік ыдыраудың қатарында альфа-ыдыраудың болуы да, ядросының ңықтығын дәлелдейді.Басқа жұп-жұп ядролар үшін зерттеулер де киелі ядролардың ерекше нықтығын дәлелдейді. Б. Изотоптардың таралуы. Нуклондардың киелі саны тән ядролардың ерекше нықтығын ондай ядролардың табиғатта көбірек таралуы да қостайды. Оған бірнеше мысал келтірейік.1.Атомдық нөмері Z=А/2 ең ауыр ядро, қос киелі ядро Оның кальцийдің табиғи қоспасындағы үлесі 97%. Оған көршілес жеңіл Z=А/2 ядроның () салыстырмалытаралуы 0,3% қана, ал көршілес Z=А/2 () ауырырақ ядротабиғатта кездеспейді.2.Нейтрондардың берілген (А-Z) саны тән изотоптардың табиғатта, әлбетте, екеу-үшеуі ғана кездеседі. А-Z=20 үшін олардың саны беске (),А-Z=50 үшін алтыға, ал А-Z=82 үшін жетіге дейін көбейеді.3.Бір элеметтің изотоптарының ішінде, әлбетте, массалық саны орташа изотоп ең көп таралған. Олардан А-Z=50 немесе А-Z=82 изотоптар ерекше бөлінеді ( т.б). 4.Табиғатта ең көп изотопы (он) бар элемент , оның ішінде 3 изотоптың массалық саны тақ. В. Альфа- және бетта-ыдырау заңдылықтары. 1.Табиғатта кездесетін үш радиоактивті катардың үшеуі де, қорғасынның изотоптарымен (Z=82) аяқталады. Табиғатта кездесетін Z≤82 ядролардың барлығы дерлік нық.2. Жартылай эмпирикалық формулаға сәйкес альфа-ыдырау энергиясы Z өскенде өсуі керек. Тәжірибелер полоний (Z=84) ядроларының шығаратын альфа-белшектерінің энергиясының одан ауыр ядролар шығаратын бөлшектердің энергиясынан артық екенін көрсетеді.3.Полонийдің екі изотопы , ұзын жолды α-бөлшектер шығарады. Жалпы энергиясы ең үлкен альфа-бөлшектерді А-Z=128, Z=84, А-Z=84 ядролар шығарады. Олар ыдыраудан кейін А-Z=126, Z=82, А-Z=82 ядроларына өтеді. Мысалы, Менделеев таблицасының ортасыңда жататын неодимнің изотоптарының біреуі () альфа-радиоактивті.Оның жартылай ыдырау периоды 5*1015 жыл, ал ол шығаратын а-бөлшектердің ең үлкен энергиясы 1,8МэВ. 4. Сол сияқты киелі ядроларға ыдырайтын ядроларға
бета-ыдырау энергиясының ең үлкен, ал киелі ядролардың бета—ыдырауына ең кіші мәндері тән. Оған бета—ыдырау тізбегі мысал бола алады. Бірінші ядроның ыдырау энергиясы Еβ=З.6МэВ, екіншінін энергиясы Еβ=0,27 МэВ. 5.Қоскиелі ядро нуклондар шығарылатын сатылық
процесстің ақырғы нәижесі болады.

(4.6)
(4.7)
Екі жағдайда да бета-ыдраудан кейін қозған киелі ядролар мен пайда болады. Олардың құрамында сәйкес 9=(A-Z)киелі+1 нейтрон мен 9=Zкиелі+1 протон бар. Олардан 9-нуклонды ажырату энергиясының төмендігі сонша, ол олардың қозу энергиясынан аз. Бұл олардың нуклондар шығаруына соқтырады. Нуклондар олардың алдындағы бета-ыдыраудың жартылай периодына кешіктіріліп шығаралады

16.Бір бөлшектік қабықтық модел. Оның негізгі қағидалары.

Атомдарға қабықтардың болуын камтамасыз ететін үш жәй тән: 1.Атомдарда, электрондардың тұйық орбитамен қозғалысын қамтамасыз ететін, центрлік электр күш өрісі бар.2. Атомдарда электрондар өте сирек орналасқандықтан олардың өзара әсерлесуін елемеуге болады. 3.Электрондар Ферми-Дирак статистикасына бағынады,оларға Паулидің тыйым ережесін қолдануға болады. Бір толық анықталған деңгейде бір-ақ бөлшек орналаса алады. Ядроларда бұл 3 шарттың екеуі орындалмайды. Ядрода өріс туғызатын центрлік дене жоқ. Нуклондарға әсер ететін күшті нуклондардың өздері туғызады. Нуклондар өзара өте күшті әсерлесетін бөлшектер және олар ядрода, атомдағы электрондарға карағанда әлде қайда тығыз орналасқан. Бірақ, дәл осы нуклондардың өзара күшті әсерлестіндігі мен бұл әсерлесудің қысқа қашықтықтылығы өрісінде нуклондар өзара тәуелсіз қозғалатын, сфералық симметриялық потенциал кұруға мүмкіндік беретін болып шықты. Екі нуклонның өзара күшті және қысқа кашықтық әсерлесуін жіңішке (ені -15м) және терең (тереңдігі 40МэВ шамалас) потенциалық шұңқырдың көмегімен түсіндіруге болады. Атом ядросында нуклондар өзара салыстырмалы жылдам қозғалады. Олардың ара кашықтығы (~2*10-і5м) нуклондық потенциялық шұңқырдың енімен шамалас. Сондықтан, нуклон мен ядроның әсерлесуін, көптеген көршілес нуклондық потенциялық шұңқырлардың міңгесуінен тұратын, орташа қосынды потенциялық шұңқырмен бейнелеуге болады. Ядролық әсерлесудің радиусының кішілігі мен нуклондардың тығыз орналасуының салдарынан ядролық потенциал ядроның ішінде біртекті дерлік (өте баяу өзгеретін) болып, ал оның сыртында нөлге дейін күрт түсуі керек. Ядроның пішінін сфералық деп алуға болады. Сондықтан ядролық потенциал сфералық симметриялы болуы керек.Кванттық механикаға сәйкес бұл өрісте қозғалатын нуклондар әртүрлі энергиялық күйлерде бола алады, және ядроның негізгі күйінде барлық төменгі деңгейлер толық толтырылған. Одағы нуклондар өзара соқтығысканда, олардың біреуінің экергиясы өссе, екіншісінің энергиясы төмендеп, ол төменгі деңгейге көшуі керек. Бірақ, ол мүмкін емес. Өйткені, төменгі деңгейлер толық, оларда баска нуклондарға орын жоқ. Демек, бірінші нуклонның энергиясының өсуі де мүмкін емес. Әрине, нуклондар өзара орын ауыстыруы мүмкін. Бірақ айнытылмайтын бөлшектер үшін, бұл ешқандай өзгерістер туғызбайды. Осыған байланысты нуклондардың екі соқтығыс арасындағы еркін жолы ядроның мөлшерінен әлдекайда ұзын болып шығады. Сөйтіп, ядроның кабықтық моделін кұрастыруға керек барлық шарттар бар: сфералық симметриялы күш өрісінде өзара әрекеттеспейтін спиндері 1/2, Паули тыйымына бағынатын бөлшектер-протондар мен нейтрондар-қозғалады. Бірінші жуықтауда нейтрон мен протон үшін өрістің потенциалы бірдей. Протондарға қосымша әсер ететін электростатикалық тебілу күші ауыр ядролар үшін ғана елеулі. Оған протондар мен нейтрондар үшін киелі сандардың бірдейлігі дәлел бола алады. Сфералық симметриялы өріс үшін орбиталық момент сақталады, энергияның мәні оның проекциясына төуелсіз. Белгілі ℓ орбиталық моменттің (2 ℓ + 1) проекциясының барлығына энергияның бірдей мәні сәйкес келеді. Паули принципі бойынша бұл (2 ℓ +1) рет азғындалған деңгейде 2(2 ℓ +1) нуклонның бір түрі бола алады. Сонымен, ядроның қабықтық моделінің негізгі кағидалары мыналар: 1.Нуклондардың өзара әрекеттесуі-осы нуклондардың барлығына бірдей әсер ететін күш өрісін туғызады. Бірінші жуықтауда бұл күш өрісі сфералық симметриялы.2.Нуклондар осы күш өрісіне бір-біріне тәуелсіз қозғалады. 3.Бұл өрісте нуклондар энергияның рұқсат етілген белгілі мәндерін ғана қабылдай алады. Берілген деңгейде нуклондардың Паули тыйымын қанағаттандыратын саны ғана бола алады. 4.Деңгейлердің нуклондармен толтырылуы ең төменгі (энергиясы ең аз) деңгейден басталып, ретімен өтеді. Негізгі күйде нуклондар мүмкіндігінше ең төменгі деңгейлерде орналасады. 5.Потенциялық шұңқырдың түріне қарай энергиялық деңгейлер жылжып, өзара жақын орналасқан (кейде тіпті бірігіп кеткен) топтар құрады. Осындай өзара жақын орналасқан деңгейлер тобы нуклондық қабықтарға сәйкес келеді. Қабықтардың ара қашықтығы олардың ішіндегі деңгейлердің ара қашықтығынан әлдеқайда үлкен болады.Осыдан, толған қабықты ядроларды қоздыру, одан бірнуклонды аластату немесе оған нуклон қосу қиын. Мұндайкасиетті ядролар киелі деп аталатын. Соңдықтан, қабықтық моделде киелі ядролардың бір немесе бірнеше протондық иә нейтрондық қабықтары толған болады.




Поделиться с друзьями:


Дата добавления: 2014-12-24; Просмотров: 593; Нарушение авторских прав?; Мы поможем в написании вашей работы!


Нам важно ваше мнение! Был ли полезен опубликованный материал? Да | Нет



studopedia.su - Студопедия (2013 - 2026) год. Все материалы представленные на сайте исключительно с целью ознакомления читателями и не преследуют коммерческих целей или нарушение авторских прав! Последнее добавление




Генерация страницы за: 0.009 сек.