Студопедия

КАТЕГОРИИ:


Архитектура-(3434)Астрономия-(809)Биология-(7483)Биотехнологии-(1457)Военное дело-(14632)Высокие технологии-(1363)География-(913)Геология-(1438)Государство-(451)Демография-(1065)Дом-(47672)Журналистика и СМИ-(912)Изобретательство-(14524)Иностранные языки-(4268)Информатика-(17799)Искусство-(1338)История-(13644)Компьютеры-(11121)Косметика-(55)Кулинария-(373)Культура-(8427)Лингвистика-(374)Литература-(1642)Маркетинг-(23702)Математика-(16968)Машиностроение-(1700)Медицина-(12668)Менеджмент-(24684)Механика-(15423)Науковедение-(506)Образование-(11852)Охрана труда-(3308)Педагогика-(5571)Полиграфия-(1312)Политика-(7869)Право-(5454)Приборостроение-(1369)Программирование-(2801)Производство-(97182)Промышленность-(8706)Психология-(18388)Религия-(3217)Связь-(10668)Сельское хозяйство-(299)Социология-(6455)Спорт-(42831)Строительство-(4793)Торговля-(5050)Транспорт-(2929)Туризм-(1568)Физика-(3942)Философия-(17015)Финансы-(26596)Химия-(22929)Экология-(12095)Экономика-(9961)Электроника-(8441)Электротехника-(4623)Энергетика-(12629)Юриспруденция-(1492)Ядерная техника-(1748)

Методы прогнозирования 2 страница




Для упрощения предположим, что получающаяся сеть удовлетворя­ет обычным пертовским требованиям, в частности требованию отсут­ствия петель. С этой целью при обработке анкет экспертом принима­ются специальные меры (возвращение анкет для исключения тех или иных условий, аннулирование частей анкет и т.д.). Впрочем, в отличие от классического метода РЕКТ предлагаемая методика может быть рас­ширена таким образом, чтобы включить в рассмотрение также и сети с петлями.

Ввиду того, что ответы экспертов вводят, вообще говоря, новые собы­тия, последние посылаются для оценок другим экспертам. В этом уча­ствуют и эксперты, принявшие участие в предыдущем туре: им посыла­ется фрагмент сети, полученной на предыдущем туре. Этот фрагмент (L— окрестность события S) включает перечень всех элементарных со­бытий S1, S2, …. Sn, выставленных в числе условий хотя бы одним экс­пертом, принимавшим участие в оценке данного события S. Эксперты по данному событию S в новом туре могут менять свои условия, включая в них любые элементарные S1, S2, …. Sn (и меняя, соответственно, свои оценки).

Полезно также, чтобы эксперт, выставивший в качестве условий те или иные события S1, S2, …. Sn, указывал в анкете имена возможных экспертов для оценки этих событий. Тем самым список экспертов будет расширяться до тех пор, пока не произойдет стабилизация сети.

В стабилизационной сети без петель все события разбиваются на слои. В первый слой входят все события, получившие только безуслов­ные оценки вероятности (и ожидаемого времени) своего наступления. А для оценки событий, лежащих в i- ом слое (I > 2), в качестве условий используются лишь события из слоев с номерами, меньшими, чем I. Дальнейшая обработка построенной сети производится следующим образом. Последовательно, слой за слоем, вычисляются абсолютные вероятности наступления всех составляющих слой событий и распреде­ление абсолютного времени ожидаемого их наступления, а также оцен­ки разброса этих величин (среднеквадратичные ошибки).

Распределение абсолютного времени с практической точки зрения наиболее удобно задавать, фиксируя заранее конечное число моментов времени (например, t1 = 2006, t2 =2008, t 3 = 2010, t 4 = 2012, всегда добавляя к ним бесконечное время; в данном случае t5 = ∞ (бесконечность)).

Распределение абсолютного времени наступления любого события рассматриваемой сети будет характеризоваться вектором вероятностей (P1, P2,… Pk … P), где Pi(S) представляет собой оценку вероятности наступления события S до момента времени ti. В частности, P = P пред­ставляет собой оценку безусловной вероятности наступления события в неограниченный период времени. Для компонент вектора среднеквад­ратичных погрешностей вводятся соответствующие обозначения соот­ветствующих оценок.

Оценка вероятностей Pi производится на основе обычного усредне­ния (с учетом весов экспертов) оценок, даваемых отдельными эксперта­ми. Их получают последовательно, слой за слоем.

Для события S из первого слоя экспертом дается оценка абсолютной вероятности Р и абсолютного времени t наступления этого события. Тогда соответствующие (одиночные) оценки данного эксперта дадут значение Рi = 0 для всех ti < t и Рi = Р для всех ti ≥ t

Если же событие S не из первого слоя и для него дана оценка услов­ной вероятности q и относительного времени выполнения данного со­бытия S при условии F = ƒ(S1, S2, S3 …. Sk), то для события S1, S2, S3 …. Sk по принятому нами соглашению должны уже быть известны абсолютные (усредненные) оценки вероятностей их наступления и соответствующие оценки для всех других компонентов вектора вероятностей.

Для любой из этих компонент Рi (включая и P) будут иметь место известные соотношения:

где Q и R — любая пара независимых событий.

Эти соотношения в силу нашего предположения о независимости событий S1, S2, S3 …. Sk дают возможность подсчитать значение соответ­ствующей компоненты Pi(F) вектора вероятностей для события F.

Повторяя этот процесс и проводя необходимые усреднения, мы получим, в конце концов, оценку вектора вероятностей и разброса его значений для интересующего нас заключительного события. При даль­нейшей работе с сетью опросы экспертов можно систематически по­вторять. Изучая динамику изменения оценок вместе с информацией о действительном времени наступления тех или иных событий, мож­но предложить различные приемы внесения поправок в вес оценок экспертов.

Выбор того или иного из этих приемов зависит от степени правиль­ности начальных оценок по сравнению с более поздними, от желания учитывать степень правильности не только конечного результата (оцен­ки времени), но и путей его достижения (правильности выбора усло­вий).

Работа с построенной сетью может предусматривать возможность уточнения тех или иных частных оценок для составляющих ее событий (например, путем привлечения новых экспертов или постановкой но­вых исследований). Для каждого события это уточнение будет требо­вать определенных затрат (вообще говоря, тем больших, чем выше слой, которому принадлежит данное событие). Необходимо поэтому разра­ботать методику рационального выбора этих уточнений.

Предположим, что из каких-либо соображений, находящихся вне сферы наших рассмотрений, установлено, что наибольший интерес представляет уточнение оценки вероятности Pi(S) наступления заклю­чительного события S до момента времени ti.

Для каждого события Si, входящего в построенную сеть, определим изменение оценки вероятности Pi(S) при максимальных изменениях компонент вектора вероятностей для события S, допускаемых имею­щимися экспертными оценками.

Стоимость эксперимента по уточнению оценки вектора вероятно­стей для события S, отнесенную к величине указанного изменения (удельную стоимость), естественно выбрать в качестве критерия для выбора Si, оценка вектора вероятностей которого подлежит уточнению в первую очередь.

Метод эвристического прогнозирования. Основная задача, стоящая пе­ред специалистами по анализу и проектированию больших систем, в об­щем случае заключается в нахождении оптимальных способов создания более эффективных систем — либо вновь проектируемых, либо модернизируемых. Сложность решения этой задачи состоит прежде всего в том, что здесь обычно нет возможности найти решение чисто математическими методами, поскольку, как правило, не удается точно определить величины (функционалы), подлежащие оптимизации (экстремализации) в мате­матическом смысле. Это связано не только со сложностью описания функ­ционирования больших систем, но и со спецификой целей, для дости­жения которых предназначена система.

Методом эвристического прогнозирования называется метод полу­чения и специализированной обработки прогнозных оценок объекта путем систематизированного опроса высококвалифицированных спе­циалистов (экспертов) в узкой области науки, техники или производ­ства. Прогнозные экспертные оценки отражают индивидуальное суж­дение специалиста относительно перспектив развития его области и основаны на мобилизации профессионального опыта и интуиции.

Элементы этого метода — сбор и обработка суждений экспертов, вы­сказанных на основе профессионального опыта и интуиции. Однако он отличается от описанных выше методов большей четкостью теорети­ческих основ, способами формирования анкет и таблиц, порядком ра­боты с экспертами и алгоритмом обработки полученной информации. Эвристическим данный метод назван в связи с однородностью форм мыслительной деятельности эксперта при решении научной проблемы и при оценке перспектив развития объекта прогнозирования, а также в связи с использованием экспертами специфических приемов, приво­дящих к правдоподобным умозаключениям.

Фактографические методы прогнозирования. Среди фактографиче­ских методов выделяют группы статистических (параметрических) и опережающих методов. Рассмотрим некоторые наиболее часто исполь­зуемые в практике принятия решений методы.

Статистические (параметрические) методы прогнозирования осно­ваны на построении и анализе динамических рядов характеристик (па­раметров) объектов прогнозирования. Существуют достаточно жесткие ограничения на применение статистических методов. Эти ограниче­ния связаны со следующими обстоятельствами:

• статистические методы прогнозирования применяются, если ве­личина времени (глубины) упреждения укладывается в рамки од­ного из циклов объекта прогнозирования. Глубину прогноза оп­ределяют как отношение абсолютного времени упреждения к величине соответствующего цикла объекта прогнозирования. При возникновении в рамках времени упреждения скачка в раз­витии объекта прогнозирования рекомендуется использовать интуитивные методы для определения силы скачка и времени, в течение которого он будет иметь место;

• каждый из статистических методов имеет довольно жесткие тре­бования к качеству обрабатываемых данных (например, к их однородности) и гипотезам о характере поведения анализируемых величин (их распределений). На практике же прогнозист имеет дело с данными, качество которых либо вообще неизвестно, либо оставляет желать лучшего. Чаще всего неизвестен и тип распре­деления переменных;

• в условиях переходной экономики происходят кардинальные изменения в структурах (спроса, потребностей, цен, технологического базиса и т.д.), причем оценить, когда произошло и произошло ли вообще такое структурное изменение, довольно труд­но. А, следовательно, довольно трудно понять, можно ли доверять результатам статистического прогнозирования.

Вообще в условиях переходной экономики стати­стические методы прогнозирования справедливо занимают гораздо бо­лее скромное место, чем в сформировавшейся экономике. В этой ситу­ации статистические методы могут применяться при прогнозировании:

• краткосрочном, когда вероятность структурных изменений дос­таточно низка;

• когда исходные статистические данные соответствуют требова­ниям, предъявляемым конкретным статистическим методом;

• с дополнительной верификацией результата другим методом.

Метод экстраполяции применяется, если время упреждения укладывается в рамки эволюционного цикла. Методы прогнозной экстра­поляции оперируют с количественной информацией. Они хорошо раз­работаны. Чаще всего вычисления в соответствии с этими методами включены в резидентное программное обеспечение современных вы­числительных средств.

Временной ряд при экстраполяции представляется в виде суммы детерминированной (неслучайной) составляющей, называемой трен­дом, и стохастической (случайной) составляющей. Тренд характеризу­ет существующую динамику развития процесса в целом. Случайная со­ставляющая отражает случайные колебания, или шумы, процесса.

Условно прогнозная экстраполяция может быть разделена на два этапа:

1) выбор оптимального вида функции, описывающей эмпириче­ский ретроспективный ряд. Для этого ретроспективный ряд предва­рительно обрабатывается, производится преобразование исходных данных для облегчения выбора вида тренда. При этом используют сглаживание и выравнивание временного ряда. Кроме этого, в тех же целях могут определяться функции дифференциального роста, проводиться формальный, в частности логический, анализ процесса или объекта про­гнозирования;

2) расчет коэффициентов выбранной экстраполяционной функции. Наиболее распространенные методы оценки коэффициентов — метод наименьших квадратов и его модификации, метод экспоненциального сглаживания и т.д.

Метод наименьших квадратов применим, если за время упреждения функции, структура объекта прогнозирования не изменяются, а могут изменяться только значения его параметров. Использование метода наименьших квадратов предполагает целый ряд предпосылок:

• случайные ошибки имеют нулевую среднюю (отсутствуют систематические ошибки), конечные дисперсию и ковариацию;

• каждое измерение случайной ошибки характеризуется нулевым средним, не зависящим от значений наблюдаемых переменных;

• дисперсии каждой случайной ошибки одинаковы, их величины независимы от значений наблюдаемых переменных (гомоскедастичность);

• отсутствует автокорреляция ошибок, т.е. значения ошибок раз­личных наблюдений независимы друг от друга;

• нормальность, т.е. случайные ошибки имеют нормальное распре­деление;

• значения тренда (эндогенной, т.е. внутренней переменной) сво­бодны от ошибок измерения и имеют конечные средние значения и дисперсии.

Невыполнение этих предпосылок может сделать применение этого метода некорректным или привести к чрезмерным ошибкам прогноза.

Сущность метода состоит в отыскании коэффициентов модели трен­да, минимизирующих ее отклонение от точек исходного временного ряда.

Выбор модели в каждом конкретном случае осуществляется по це­лому ряду статистических критериев, например по дисперсии, корре­ляционному отношению и др.

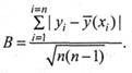
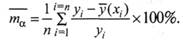
Важная характеристика прогноза с применением метода наимень­ших квадратов — оценка точности и достоверности полученного ре­зультата. Наиболее простые и применимые практически оценки точности — средняя относительная ошибка оценки, среднее линейное от­клонение.


Среднее линейное отклонение (В) может быть найдено по формуле


Средняя относительная ошибка оценки та может быть найдена по формуле

Для оценки точности решения большинства практических задач прогнозирования этого оказывается достаточно. Это связано с относи­тельно невысокой точностью и достоверностью исходных данных.

Метод интерполяции используется в случае, когда по известным на­чальным 012) и конечным n-2, xn-1, xn) значениям искомой харак­теристики объекта определяют неизвестные промежуточные величины xi. Классический пример использования метода интерполяции — про­гнозирование Д.И. Менделеевым появления новых химических элемен­тов на основе известных с помощью установленной функции периоди­ческого распределения элементов.

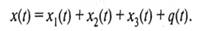
Метод спектрального анализа позволяет прогнозировать процессы, динамика которых содержит колебательные или гармонические состав­ляющие. К такого рода процессам относятся сезонные колебания спро­са, макроэкономические процессы, энергопотребление и т.д. При опи­сании такого процесса выделяют четыре компоненты прогнозной модели:

x1(t) — вековой уровень, описывается гладкими апериодическими функциями;

х2(t) — сезонные колебания с 12-месячным периодом;

х3(t) — колебания с периодом, большим, чем двенадцать месяцев;

q(t) — случайные колебания с широкими по диапазону периодами, но небольшой интенсивностью.

Модель имеет вид:

Для расчета первой компоненты модели можно использовать экспоненциальное сглаживание. Остальные компоненты описывают тригонометрическим полиномом

где δi — случайные колебания;

ωi — частота колебаний;

bi, ci — амплитуды колебаний.

Методическая основа метода — анализ периодограмм.

Методы факторного анализа при прогнозировании позволяют прово­дить максимально возможный учет переменных, характеризующих объект и взаимосвязи между ними. При этом прогнозист вынужден ис­кать компромисс между числом переменных в описании, отражающем полноту прогноза, и его сложностью, трудоемкостью. Факторный ана­лиз представляет собой раздел математической статистики и включает большое число методов (см. также в разделе, посвященном ситуацион­ному анализу).

Прогнозирование методом аналогии. Прогнозирование по аналогии — это наиболее часто используемый тип прогнозирования. Многих прак­тиков — предпринимателей и менеджеров — подкупает кажущаяся про­стота применения этого вида прогнозирования. Поэтому в организаци­ях предпринимаются всевозможные поездки по изучению опыта, результатов и т.п. Но часто этих менеджеров ожидает весьма горькое разочарование. Причина в том, что прогнозирование по аналогии корректно только тогда, когда установлена, доказана аналогия между объектами управле­ния, типами менеджмента, реакциями внешней и внутренней среды в случае, имевшем место ранее, и конкретном случае прогнозирования. Кроме того, этот метод нельзя использовать при прогнозировании яв­лений, не имеющих аналогов, т.е. принципиально новых объектов, про­цессов, ситуаций. Однако этот момент не всегда учитывается на прак­тике.

Понятие аналогии связано с понятием адекватности в той мере, в которой один объект (объект прогнозирования) может рассматривать­ся как физическая полномасштабная модель другого объекта (аналога), а цели и задачи его прогнозирования и управления соответствуют та­ким же целям и задачам объекта-аналога. Таким образом, понятие ана­логии более широкое и включает схожесть не только объектов прогно­зирования, но и целей, а также последствий прогноза. Последние определяются не только характеристиками объекта прогнозирования, но и реакцией среды.

Следовательно, должны рассматриваться не менее четырех направ­лений аналогии:

1) объекта прогнозирования и объекта, выбранного в качестве ана­лога;

2) типов менеджмента и целей управления;

3) реакции системы (внутренней среды) на управляющие воздей­ствия;

4) реакции внешней среды системы на изменение состояния объек­та прогнозирования.

Аналогии реакции внешней и внутренней среды особенно важны в связи с тенденцией повышения роли человеческого фактора. Это об­стоятельство может сыграть решающую роль в успехе или неудаче ме­неджмента.

Существуют различные методы, которые могут быть использованы для установления аналогии, среди них методы теории распознавания образов и методы логики предложений.

Методы теории распознавания образов могут быть использованы для установления аналогии. Существует несколько типов задач распозна­вания образов, важнейшие из которых:

• обучение распознаванию образов;

• задача сокращения (минимизации) описания;

• задача таксономии (самообучения).

Для распознавания образов необходимо по некоторому набору при­знаков с помощью выбранного решающего правила определить, к како­му классу относятся рассматриваемые объекты. Структурная схема ре­шения задачи обучения распознаванию образов приведена на рис. 4. Процедура прогнозирования на основе распознавания образов состоит в том, что выбираются классы состояний исследуемых объек­тов, которые могут быть заданы как диапазонами изменения некоторых параметров, так и определенными качественными характеристиками. По совокупности признаков, определяющих состояние объектов, нахо­дится соответствие принадлежности каждого нового объекта или объекта в будущем времени к определенному классу. Это позволяет дать про­гноз состояния объекта или указать диапазон изменения параметров, характеризующих его на прогнозируемый период.

Рис. 4. Структурная схема решения задачи распознавания образов

 

Методы логики предложений — наиболее простой и доступный прак­тически метод качественного доказательства аналогии и идентифика­ции состояний объекта прогнозирования. Логика дает схему и спо­собы проведения правильных умозаключений. Формальная логика устанавливает общие методы и схемы правильных умозаключений. Прак­тику может показаться излишним доказывать логические предложения (теоремы) по «выводу» одних (искомых) знаний из других (располага­емых). Однако если этого не сделать, то, во-первых, возможна ошибка, а во-вторых, останутся сомнения в правильности результатов, получен­ных без соблюдения формальных правил. Формальная логика устанав­ливает общие методы и схемы правильных умозаключений, поскольку схемы правильных умозаключений строятся с помощью логических символов, будучи сокращенными знаками, заменяют более длинные речевые обороты.

Группа опережающих методов (методов анализа публикаций), относящихся к фактографическим методам, включает в себя методы, основанные на использовании свойства научно-технической инфор­мации опережать реализацию научно-технических достижений в прак­тической деятельности. К опережающим методам относятся метод анализа динамики публикаций и метод анализа динамики патенто­вания.

Метод анализа динамики публикаций позволяет выявить направле­ние развития науки и техники и организовать подбор перспективных материалов по интересующей тематике путем исследования закономер­ностей изменения количества и качества публикуемой информации.

Метод анализа динамики патентования основан на оценке изобрете­ний и исследования динамики их патентования. По динамике интен­сивности патентования можно оценивать и прогнозировать развитие того или иного направления.

Комбинированные методы прогнозирования. Стремление уменьшить погрешности прогнозирования, обеспечить решение проблем широ­кого профиля (от формализуемых до неформализуемых) привело к по­явлению комбинированных методов прогнозирования и созданию ком­плексных прогнозирующих систем.

Эта группа включает в себя методы со смешанной информационной основой, в которых в качестве первичной используется как фактогра­фическая, так и экспертная информация.

Практическое использование такие комплексные системы прогно­зирования находят на высших уровнях управления крупных организа­ционно-производственных систем: страны, отрасли, региона, холдин­га, финансово-промышленной группы, транснациональной компании и т.п. Исторически эти системы прогнозирования начали применяться в области военно-технического прогнозирования. В малом и среднем бизнесе из-за больших затрат времени и средств на их создание такие системы применяются редко.

Разработку комплексных систем прогнозирования ведут исходя из структуры прогнозируемого объекта или процесса.

При разработке и анализе комплексных систем прогнозирования к основным операциям следует отнести определение состава и процедур сингулярных (простых) методов прогнозирования, входящих в систему, а также логических правил их объединения в систему. Простые проце­дуры используют для прогнозирования подсистем и блоков, входящих в структуру прогнозируемого объекта или процесса.

Необходимо отметить, что известные образцы комплексных систем прогнозирования достаточно близки по методологии построения, так как разрабатывались для схожих объектов и со схожими целями.

К комбинированным методам прогнозирования можно отнести: метод прогнозного графа, метод ПАТТЕРН и др.

Метод прогнозного графа разработан группой специалистов институ­та кибернетики в г. Киеве под руководством академика В.М. Глушкова. Комплексная система, построенная в соответствии с этим методом, ре­ализует следующие процедуры:

• выбор объектов прогноза;

• исследование фона (внешней среды);

• классификация событий;

• формирование задачи и генеральной цели прогноза;

• анализ иерархии;

• формулирование событий;

• принятие внутренней и внешней структуры объекта прогноза;

• анкетирование экспертов;

• математическая обработка данных анкетного опроса;

• количественная оценка структуры;

• верификация полученных результатов.

Граф может быть построен с использованием методов эвристическо­го прогнозирования, в частности метода Дельфи. При помощи повтор­ных опросов близкие планы графов приводятся к совпадающим.

Метод ПАТТЕРН. Разработан в США как средство помощи руковод­ству компаний в принятии решений по важнейшим вопросам опреде­ления перспектив военного производства. Используется для обоснова­ния прогнозов и планов посредством научно-технической оценки количественных данных. Принципы, заложенные в эту систему, позво­ляют осуществить прогноз и провести анализ данных в любой области деятельности. Рассматриваемая система позволяет:

1) выбрать объект прогноза;

2) выявить внутренние закономерности его развития;

3) написать сценарий;

4) сформулировать задачи и генеральную цель прогноза;

5) провести анализ иерархии и декомпозицию целей;

6) принять внутреннюю и внешнюю структуры объекта прогнози­рования;

7) провести анкетирование;

8) выполнить математическую обработку данных анкетного опроса;

9) количественно оценить структуры;

10) верифицировать результат;

11) разработать алгоритм распределения ресурсов;

12) провести распределение ресурсов;

13) оценить распределение ресурсов.

Сравнение методов прогнозного графа и метода ПАТТЕРН показы­вает, что основное преимущество последнего состоит в наличии меха­низма реализации прогноза. Впрочем, это может быть отнесено уже к методам стратегического планирования. По сути, метод ПАТТЕРН стал комбинацией методов прогнозирования и стратегического планирова­ния.

Эффективность процесса прогнозирования. Качество получаемых про­гнозов определяется степенью соблюдения основных принципов:

• системности, т.е. взаимоувязки и соподчиненности прогнозов объекта прогнозирования и прогнозного фона;

• согласованности (прогнозов нормативных и поисковых, различ­ного периода упреждения и природы объектов);

• верификации (определения достоверности и обоснованности);

• непрерывности (корректировки по мере поступления новых дан­ных об объекте).

Основная тенденция в развитии прогнозирования в настоящее время заключается в создании полностью интегрированных систем информа­ции, содержащих службы прогнозирования. Однако даже такая всеобъ­емлющая система информации не может уменьшить роль человеческих суждений.

Таким образом, методы многокритериальной оценки альтернатив, методы экспертной оценки и методы прогнозирования могут быть ис­пользованы ЛПР для определения достоинств и недостатков, а также возможных последствий реализации каждой из имеющихся альтерна­тив для последующего выбора одной из них в качестве оптимального по выбранным критериям или наиболее рационального решения. Имен­но эффективность выполнения этого этапа определяет степень обосно­ванности принимаемого управленческого решения.

Методы, применяемые на этапе выбора, реализации решения

и оценки результата

После получения оценок каждой из альтернатив руководитель дол­жен выбрать одну из альтернатив для последующей реализации. Этот этап может выполняться путем сравнения полученных оценок альтер­натив с использованием или без использования вычислительной тех­ники. Как правило, выбирается та альтернатива, которая имеет самые высокие оценки по установленным критериям.

После окончательного выбора альтернативы происходит принятие и утверждение управленческого решения путем соответствующей орга­низационно-распорядительной деятельности (подготовки, подписания приказа, его доведения до исполнителей).

После доведения приказа до исполнителей осуществляется реали­зация решения, т.е. выполнение ответственными исполнителями всех указанных в приказе мероприятий. Все этапы выполнения решения контролируются руководством, а после реализации решения произво­дится оценка результатов, анализ итогов проведенной работы и разра­ботка рекомендаций для дальнейшей управленческой деятельности. На этапе оценки и анализа результатов могут применяться следующие мето­ды анализа управленческих решений:

• метод функционально-стоимостного анализа;

• метод цепных подстановок;

• метод причинно-следственного анализа, и др.

Рассмотрим подробнее перечисленные методы.

Метод функционально-стоимостного анализа применяется не только в технической сфере, но и при решении управленческих задач по фор­мированию организационных структур, организации работы персонала, повышению отдачи функционирования подразделений. Это универ­сальный метод выбора решений, позволяющий добиваться оптимиза­ции затрат на исполнение функций объекта без ущерба их качеству, а также помогающий разработать рекомендации по дальнейшему совер­шенствованию объекта.

Основная суть метода сводится к представлению объекта в виде со­вокупности функций (функциональной модели) и решению вопроса о том, все ли функции действительно необходимы, какие из них можно совместить или убрать без ущерба для качества.




Поделиться с друзьями:


Дата добавления: 2014-12-25; Просмотров: 938; Нарушение авторских прав?; Мы поможем в написании вашей работы!


Нам важно ваше мнение! Был ли полезен опубликованный материал? Да | Нет



studopedia.su - Студопедия (2013 - 2025) год. Все материалы представленные на сайте исключительно с целью ознакомления читателями и не преследуют коммерческих целей или нарушение авторских прав! Последнее добавление




Генерация страницы за: 0.008 сек.