Студопедия

КАТЕГОРИИ:


Архитектура-(3434)Астрономия-(809)Биология-(7483)Биотехнологии-(1457)Военное дело-(14632)Высокие технологии-(1363)География-(913)Геология-(1438)Государство-(451)Демография-(1065)Дом-(47672)Журналистика и СМИ-(912)Изобретательство-(14524)Иностранные языки-(4268)Информатика-(17799)Искусство-(1338)История-(13644)Компьютеры-(11121)Косметика-(55)Кулинария-(373)Культура-(8427)Лингвистика-(374)Литература-(1642)Маркетинг-(23702)Математика-(16968)Машиностроение-(1700)Медицина-(12668)Менеджмент-(24684)Механика-(15423)Науковедение-(506)Образование-(11852)Охрана труда-(3308)Педагогика-(5571)Полиграфия-(1312)Политика-(7869)Право-(5454)Приборостроение-(1369)Программирование-(2801)Производство-(97182)Промышленность-(8706)Психология-(18388)Религия-(3217)Связь-(10668)Сельское хозяйство-(299)Социология-(6455)Спорт-(42831)Строительство-(4793)Торговля-(5050)Транспорт-(2929)Туризм-(1568)Физика-(3942)Философия-(17015)Финансы-(26596)Химия-(22929)Экология-(12095)Экономика-(9961)Электроника-(8441)Электротехника-(4623)Энергетика-(12629)Юриспруденция-(1492)Ядерная техника-(1748)

D-Элементы VIIIБ группы ПСЭ




Фармацевтический анализ радиофармацевтических и гомеопатических лекарственных средств неорганической природы

Фармацевтический анализ лекарственных средств d-элементов VIII группы периодической системы элементов.

Лабораторно-практическое занятие № 14

 

Перечень лекарственных веществ d-элементов VIII группы ПСЭ в соответствие с учебной программой:

· Железа (II) сульфат / Ferrosi sulfas

· Железа фумарат / Ferrosi fumaras

· Железа глюконат / Ferrosi gluconas

· Цисплатин / Cisplatinum

· Оксалиплатин / Oxaliplatinum

· Карбоплатин / Carboplatinum

· Гадодиамид / Gadodiamidum

· Магневист / Magnevistum

 

К элементам VIII группы относятся железо,кобальт,никель,рутений, родий,палладий, осмий,иридий и платина. Все девять элементов обычно подразделяются на три триады: семейство железа Fe – Co - Ni и триады л егких и тяжелых платиновых металлов: Ru – Rh – Pd; Os – Ir – Pt.

Железо и кобальт - жизненно необходимые (эссенциальные) элементы. Никель входит в состав фермента уреаза.

В фармации применяют препараты железа, платины и витамин В12, содержащий кобальт.

Свойства ЛС d -элементов VIII группы ПСЭ описаны в таблице 14-1:

Таблица 14-1. Лекарственные средства ЛС d -элементов VIII группы ПСЭ

Лекарственное вещество Структурная формула Описание Фармакологическая группа, применение
Железа (II) сульфат гептагидрат Ferrosi sulfas heptahydricus FeSO4∙7H2O Светло зеленый кристаллический порошок, или сине-зеленые кристаллы, выветривающиеся на воздухе. Легко растворим в воде, очень легко растворим в кипящей воде, практически нерастворим в этаноле. На воздухе окисляется становится коричневым. Применяется как противоанемическое средство, для профилактики и лечения железодефицитных состояний.
Железа фумарат Ferrosi fumaras железа (II) бутендиоат   Мелкий красно-оранжевый или красно-коричневый порошок. Мало растворим в воде, очень мало растворим в этаноле (96%). Применяется как гемопоэтическое, эритропоэтическое, противоанемическое средство. Характеризуется высокой биодоступностью, поскольку двухвалентное железо легко абсорбируется, а фумаровая кислота усиливает его всасывание.
Железа глюконат Ferrosi gluconas железа (II) ди(D-глюконат) Зелено-желтый или серый порошок или гранулы. Легко, но медленно растворим в воде, быстрее растворяется в горячей воде, практически нерастворим в этаноле (96%). Применяется как противоанемическое средство. Восполняет дефицит железа в организме и стимулирует синтез гемоглобина при железодефицитных анемиях. Хорошо абсорбируется и усваивается.  
Цисплатин Cisplatinum цис-диаминдихлорплатина Желтый порошок, или желтые или оранжево-желтые кристаллы. Мало растворим в воде, умеренно растворим в ДМФА, практически нерастворим в этаноле. Оказывает противоопухолевое, алкилирующее, цитостатическое, иммунодепрессивное действие. Бифункционально алкилирует нити ДНК, подавляет биосинтез нуклеиновых кислот, вызывает гибель клеток. Двухступенчато превращается в активную форму. На первом этапе тормозит синтез ДНК, РНК и белка, а на втором образует метаболические продукты, действующие только на синтез ДНК.
Оксалиплатин Oxaliplatinum (SP-4-2)-[(1R,2R)-циклогексан-1,2-диамин-κN,κN'][этандиоато(2-)-κО1,κО2]платина Белый или почти белый кристаллический порошок. Мало растворим в воде, очень мало растворим в метаноле, практически нерастворим в этаноле. Оказывает противоопухолевое, цитостатическое, алкилирующее, иммунодепрессивное действие. Биотрансформируется с образованием водных производных, взаимодействующих с нитями ДНК (формируют связи внутри одной нити или между нитями двойной спирали) и нарушающих ее синтез. Обладает широким спектром цитотоксичности in vitro и противоопухолевой активности in vivo на различных моделях опухолей, в т.ч. при устойчивости к цисплатину. Не вызывает перекрестной резистентности с другими производными платины.
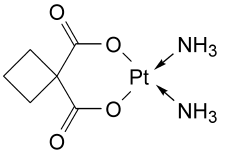
Карбоплатин Carboplatinum (SP-4-2)-диамин[циклобутан-1,1-дикарбоксилато(2-)-О,О']-платин Бесцветный кристаллический порошок. Умеренно растворим в воде, очень мало растворим в ацетоне и этаноле (96%). При температуре 2000С плавится с разложением. Оказывает противоопухолевое, алкилирующее, цитостатическое, иммунодепрессивное действие. Применяется при злокачественных новообразованиях.  

 




Поделиться с друзьями:


Дата добавления: 2014-12-26; Просмотров: 2320; Нарушение авторских прав?; Мы поможем в написании вашей работы!


Нам важно ваше мнение! Был ли полезен опубликованный материал? Да | Нет



studopedia.su - Студопедия (2013 - 2026) год. Все материалы представленные на сайте исключительно с целью ознакомления читателями и не преследуют коммерческих целей или нарушение авторских прав! Последнее добавление




Генерация страницы за: 0.012 сек.