Студопедия

КАТЕГОРИИ:


Архитектура-(3434)Астрономия-(809)Биология-(7483)Биотехнологии-(1457)Военное дело-(14632)Высокие технологии-(1363)География-(913)Геология-(1438)Государство-(451)Демография-(1065)Дом-(47672)Журналистика и СМИ-(912)Изобретательство-(14524)Иностранные языки-(4268)Информатика-(17799)Искусство-(1338)История-(13644)Компьютеры-(11121)Косметика-(55)Кулинария-(373)Культура-(8427)Лингвистика-(374)Литература-(1642)Маркетинг-(23702)Математика-(16968)Машиностроение-(1700)Медицина-(12668)Менеджмент-(24684)Механика-(15423)Науковедение-(506)Образование-(11852)Охрана труда-(3308)Педагогика-(5571)Полиграфия-(1312)Политика-(7869)Право-(5454)Приборостроение-(1369)Программирование-(2801)Производство-(97182)Промышленность-(8706)Психология-(18388)Религия-(3217)Связь-(10668)Сельское хозяйство-(299)Социология-(6455)Спорт-(42831)Строительство-(4793)Торговля-(5050)Транспорт-(2929)Туризм-(1568)Физика-(3942)Философия-(17015)Финансы-(26596)Химия-(22929)Экология-(12095)Экономика-(9961)Электроника-(8441)Электротехника-(4623)Энергетика-(12629)Юриспруденция-(1492)Ядерная техника-(1748)

Простейшие задачи




Сначала установим формулу зависимости объема шара от ра­диуса. Поскольку шар полностью определяется величиной радиу­са, и r измеряется в м, a v - в м3, то задача сводится к отысканию такой математической операции, которая «превраща­ет» метры погонные в метры кубические. Очевидно, существует только одна такая операция. Это - возведение в куб. Поэтому

v = сr3, где с - безразмерная постоянная, так как шар однознач­но определяется величиной радиуса, имеющего размерность дли­ны. Число с можно определить экспериментально, полностью по­грузив однородный шарик, например от подшипника, в мерный сосуд с водой:

, точно

Конечно, в этой задаче структура функциональной связи бы­ла очевидной. Теперь рассмотрим более сложный пример опреде­ления структуры функциональной зависимости пути, пройденного при падении материальной точки (при отсутствии сопротивления и при начальной скорости v0 = 0), от ускорения свободного паде­ния g и времени t, т.е

S=f(g,t) (8.1)

На основании сказанного выше, можно написать, что (8.2)

где С - безразмерная величина, и - рациональные числа. То­гда, записав уравнение размерности, соответствующее общей формуле (8.2), получим:

Отсюда

Т.е. , .

Из выражения (8.2) имеем: (8.3)

Поскольку число параметров gat, определяющих величину S в (8.1) равно числу основных единиц измерения L и Т, то эта зависимость полностью определяется с точностью до постоянного множителя, т. е. С не только безразмерная, но и по­стоянная, которая не может быть найдена на основе анализа раз­мерностей. Как правило, константы в таких случаях определяются экспериментально. Но в рассматриваемом случае ее легко найти и без обращения к опыту. Из физического смысла второй производ­ной от пути по времени имеем:

Отметим, что в свое время оппоненты Галилея утверждали, что S зависит от массы тела т. Галилей экспериментально пока­зал, что одновременно сброшенные с Пизанской башни (с началь­ной скоростью равной нулю) два камня - тяжелый и легкий - па­дают на землю также одновременно. Однако опыт не убедил оппонентов. Посмотрим, какой ответ на этот вопрос дает нам анализ структуры соответствующей функциональной связи. Итак, пусть

S=f(m,g,t) (8.4)

Тогда (8.5)

где - безразмерная величина, , и - рациональные числа. Теперь, записав уравнение размерности, соответствующее общей формуле (8.5), получим:

Значит,

т.е. , , . Отсюда из равенства (8.5) следует, что пра­вая часть (8.4) и вместе с ней и левая не зависят от массы, что под­тверждает правоту Галилея.

8.3. Основная теорема о функциональной зависимости размер­ных величин

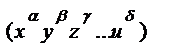
Для установления структуры функциональной связи большое значение имеет основная теорема. Её сущность состоит в том, что функциональная зависимость v=f(x,y,z,…u) между размерными величинами может быть представлена в виде

Где , , … - безразмерные показатели, - любое произведение, имеющее размерность величины v, а аргументы - безразмерные степенные комбинации величин х;у; z;... и. Если же из величин х, у, z...и можно составить только одну комбинацию , имеющую размер­ность v, то , где С- константа.

Подчеркнем, что в этой теореме речь идет не о том, что каждая зависимость имеет вид (8.6), а о том, что каждую зависимость можно в такой форме представить. Так, например, зависимость между сторонами прямоугольного треугольника: , может быть представлена в виде , где в правой части стоит произведение величины а, имеющей раз­мерность с, на функцию от безразмерной комбинации .

Зависимость также может быть представлена в форме , где имеет размерность S, а выраже­ние в скобках - величина безразмерная.

В качестве ещё одного примера определим период колебания математического маятника (рисунок 8.1).

Рисунок 8.1 - Модель математического маятника

Период его колебаний будет однозначно определен, если за­дать l,g и начальные условия: при t=0, , Таким образом, период колебаний маятника является функци­ей (силами сопротивления пренебрегаем).

Вообще, для установления структуры функциональной связи удобно входящие в нее величины свести в таблицу, которая в рас­сматриваемом случае примет вид:

Физическая величина Обозначение Размерность
Период колебаний Т
Длина подвеса l L
Ускорение силы тяжести g
Максимальный угол отклонения Безразмерная величина

 

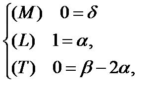
Как и выше, представим в виде степенной комбинации где k и f - безразмерные ве­личины, а f зависит, по крайней мере, от . В этом случае урав­нение размерности будет иметь вид:

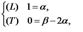
Следовательно, имеет место система: из которой , .

т.е. степенная комбинация размерность кото­рой совпадает с размерностью , единственная, а потому

(8.7)

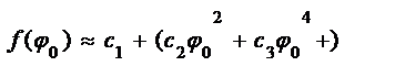
где функция только одного безразмерного аргумента и структура зависимости (8.7) соответствует основной теореме. Из соображений симметрии очевидно, что - функция четная.

Поэтому при малых | | имеем

,т.е. для малых колебаний члены со степенями и выше отбра­сываем, тогда для периода получим формулу (8.8)

где постоянная , может быть найдена, например, из опыта.




Поделиться с друзьями:


Дата добавления: 2015-04-24; Просмотров: 427; Нарушение авторских прав?; Мы поможем в написании вашей работы!


Нам важно ваше мнение! Был ли полезен опубликованный материал? Да | Нет



studopedia.su - Студопедия (2013 - 2025) год. Все материалы представленные на сайте исключительно с целью ознакомления читателями и не преследуют коммерческих целей или нарушение авторских прав! Последнее добавление




Генерация страницы за: 0.01 сек.