Студопедия

КАТЕГОРИИ:


Архитектура-(3434)Астрономия-(809)Биология-(7483)Биотехнологии-(1457)Военное дело-(14632)Высокие технологии-(1363)География-(913)Геология-(1438)Государство-(451)Демография-(1065)Дом-(47672)Журналистика и СМИ-(912)Изобретательство-(14524)Иностранные языки-(4268)Информатика-(17799)Искусство-(1338)История-(13644)Компьютеры-(11121)Косметика-(55)Кулинария-(373)Культура-(8427)Лингвистика-(374)Литература-(1642)Маркетинг-(23702)Математика-(16968)Машиностроение-(1700)Медицина-(12668)Менеджмент-(24684)Механика-(15423)Науковедение-(506)Образование-(11852)Охрана труда-(3308)Педагогика-(5571)Полиграфия-(1312)Политика-(7869)Право-(5454)Приборостроение-(1369)Программирование-(2801)Производство-(97182)Промышленность-(8706)Психология-(18388)Религия-(3217)Связь-(10668)Сельское хозяйство-(299)Социология-(6455)Спорт-(42831)Строительство-(4793)Торговля-(5050)Транспорт-(2929)Туризм-(1568)Физика-(3942)Философия-(17015)Финансы-(26596)Химия-(22929)Экология-(12095)Экономика-(9961)Электроника-(8441)Электротехника-(4623)Энергетика-(12629)Юриспруденция-(1492)Ядерная техника-(1748)

О применении метода к проверке статистических гипотез




Рассмотрим задачу по проверке гипотезы о вероятности со­бытия. Выдвигая статистическую гипотезу о вероятности события А: Р(А) = Pо, проведём п испытаний (n>10).

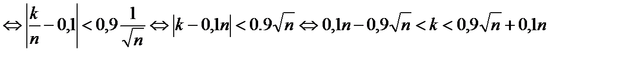
Тогда, используя оценку частоты по вероятности с надежно­стью 0,997, т. е. с вероятностью выполнения правила нормаль­но распределенной случайной величины, будем иметь неравенство

Если это неравенство выполняется, то с надежностью 0,997 гипотеза не противоречит экспериментальным данным, в против­ном случае гипотеза отклоняется.

Пример. Проверить гипотезу о том, что любая последняя циф­ра номеров телефонов, помещенных в телефонном справочнике города, имеет вероятность 0,1.

Гипотеза P(A)= =0,1.

Запишем неравенства

Пусть п = 16. Тогда .

Для проверки гипотезы воспользуемся той же выборкой: 6; 9; 3; 1;5;3; 8; 4; 7; 6; 0; 2: 4; 7; 8; 9.

Теперь легко видеть, что каждая цифра встречается в ней не более 5 раз. Поэтому гипотеза не противоречит эксперименталь­ным данным.

Не менее полезно проведение натурных экспериментов, ко­торые позволяют убедиться в том, что модельные результаты со­гласуются с данными опытов. Сравним, например вероятность вы­падения герба и цифры при подбрасывании двух монет с её эмпи­рическим аналогом - относительной частотой, определяемой экс­периментально. Теоретическая, идеализированная частота, т.е. ве­роятность, в этом случае равна 0,5. Экспериментальное решение можно получить так: каждый слушатель из группы, например в 25 человек, десять раз подбрасывает две монеты, и регистрирует, сколько раз выпали герб и цифра. Всего, таким образом, будет проведено 250 опытов, примерно в половине которых выпадет герб и цифра, а потому относительная частота указанного события 0,5.

В этой связи заметим, что Даламбер, как пишут в некоторых книгах, считал: при подбрасывании двух монет три события - вы­падение двух гербов, двух цифр, а также одного герба и одной цифры - равновозможны. Если бы это было так, то относительная частота выпадения герба и цифры равнялась бы примерно 1/3. Но как было отмечено выше, относительная частота выпадения герба и цифры, получаемая на основе опыта близка к 0,5. Таким обра­зом, гипотеза Даламбера неверна. (Правда, трудно поверить, чтобы он мог её высказать).




Поделиться с друзьями:


Дата добавления: 2015-04-24; Просмотров: 387; Нарушение авторских прав?; Мы поможем в написании вашей работы!


Нам важно ваше мнение! Был ли полезен опубликованный материал? Да | Нет



studopedia.su - Студопедия (2013 - 2025) год. Все материалы представленные на сайте исключительно с целью ознакомления читателями и не преследуют коммерческих целей или нарушение авторских прав! Последнее добавление




Генерация страницы за: 0.009 сек.