Студопедия

КАТЕГОРИИ:


Архитектура-(3434)Астрономия-(809)Биология-(7483)Биотехнологии-(1457)Военное дело-(14632)Высокие технологии-(1363)География-(913)Геология-(1438)Государство-(451)Демография-(1065)Дом-(47672)Журналистика и СМИ-(912)Изобретательство-(14524)Иностранные языки-(4268)Информатика-(17799)Искусство-(1338)История-(13644)Компьютеры-(11121)Косметика-(55)Кулинария-(373)Культура-(8427)Лингвистика-(374)Литература-(1642)Маркетинг-(23702)Математика-(16968)Машиностроение-(1700)Медицина-(12668)Менеджмент-(24684)Механика-(15423)Науковедение-(506)Образование-(11852)Охрана труда-(3308)Педагогика-(5571)Полиграфия-(1312)Политика-(7869)Право-(5454)Приборостроение-(1369)Программирование-(2801)Производство-(97182)Промышленность-(8706)Психология-(18388)Религия-(3217)Связь-(10668)Сельское хозяйство-(299)Социология-(6455)Спорт-(42831)Строительство-(4793)Торговля-(5050)Транспорт-(2929)Туризм-(1568)Физика-(3942)Философия-(17015)Финансы-(26596)Химия-(22929)Экология-(12095)Экономика-(9961)Электроника-(8441)Электротехника-(4623)Энергетика-(12629)Юриспруденция-(1492)Ядерная техника-(1748)

Применения метода к решению невероятностных задач




1) Найти , исходя из вероятностных представлений. Решение:

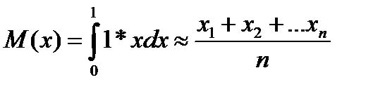
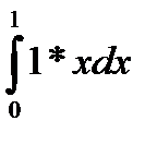
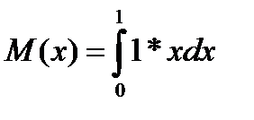
Рассмотрим интеграл вида: (18.1)

явно выделив в качестве множителя в подынтегральном выраже­нии единицу, которая будет играть роль плотности распределения:

Но тогда выражение (18.1) будет математическим ожиданием случайной величины х, равномерно распределенной в интерва­ле(0,1):

Математическое ожидание можно оценить средним арифме­тическим наблюдаемых значений случайной величины:

Возьмем n=16 (малая выборка) и воспользуемся телефон­ным справочником для получения случайных чисел (берем по­следние цифры). Так как у нас интервал (0,l), то удовлетворять этому условию будут числа: 0,0; 0,1; 0,2;...; 0,9.

Итак, просматривая последние цифры 16 номеров телефонов, выпишем их последовательность, например, полученную в нашем эксперименте: 6; 9; 3; 1; 5; 3; 8; 4; 7; 6: 0; 2; 4; 7; 8; 9.

Так как каждое случайное число должно принадлежать интер­валу (0,1), то

(Ответ записан с точностью до одной значащей цифры)

Точное значение этого интеграла равно 0,5, так как

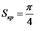
2) Исходя из вероятностных представлений, вычислить число .

Рассмотрим квадрат со стороной, равной единице, и четверть круга в нем (рисунок 18.2). Тогда геометрическая вероятность по­падания случайной величины в четверть круга, площадь которого

будет , где и - число случайных точек попадания в четверть круга и в квадрат соответст­венно. Отсюда . Как и при решении предыдущей задачи для определения и используем те же случайные числа, объединив их в пары:

(0,6; 0,9), (0,3; 0,1), (0,5; 0,3), (0,8; 0,4), (0.7; 0,6), (0; 0,2), (0,4; 0,7), (0,8; 0,9).

В нашем эксперименте =6, =8.

Следовательно,

Рисунок 18.2 - Пояснение к экспериментальному определению числа .




Поделиться с друзьями:


Дата добавления: 2015-04-24; Просмотров: 363; Нарушение авторских прав?; Мы поможем в написании вашей работы!


Нам важно ваше мнение! Был ли полезен опубликованный материал? Да | Нет



studopedia.su - Студопедия (2013 - 2025) год. Все материалы представленные на сайте исключительно с целью ознакомления читателями и не преследуют коммерческих целей или нарушение авторских прав! Последнее добавление




Генерация страницы за: 0.009 сек.