Студопедия

КАТЕГОРИИ:


Архитектура-(3434)Астрономия-(809)Биология-(7483)Биотехнологии-(1457)Военное дело-(14632)Высокие технологии-(1363)География-(913)Геология-(1438)Государство-(451)Демография-(1065)Дом-(47672)Журналистика и СМИ-(912)Изобретательство-(14524)Иностранные языки-(4268)Информатика-(17799)Искусство-(1338)История-(13644)Компьютеры-(11121)Косметика-(55)Кулинария-(373)Культура-(8427)Лингвистика-(374)Литература-(1642)Маркетинг-(23702)Математика-(16968)Машиностроение-(1700)Медицина-(12668)Менеджмент-(24684)Механика-(15423)Науковедение-(506)Образование-(11852)Охрана труда-(3308)Педагогика-(5571)Полиграфия-(1312)Политика-(7869)Право-(5454)Приборостроение-(1369)Программирование-(2801)Производство-(97182)Промышленность-(8706)Психология-(18388)Религия-(3217)Связь-(10668)Сельское хозяйство-(299)Социология-(6455)Спорт-(42831)Строительство-(4793)Торговля-(5050)Транспорт-(2929)Туризм-(1568)Физика-(3942)Философия-(17015)Финансы-(26596)Химия-(22929)Экология-(12095)Экономика-(9961)Электроника-(8441)Электротехника-(4623)Энергетика-(12629)Юриспруденция-(1492)Ядерная техника-(1748)

V. Фазовый угол




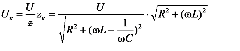
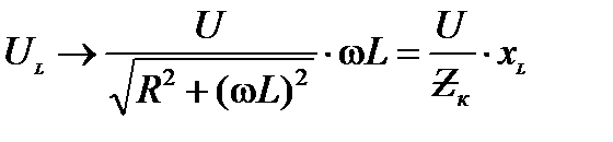
IV. Действующее значение напряжения на L-элементе

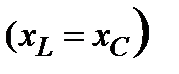
При . Для резонансного режима

Наконец при

Данная функция достигает максимума при резонансе и график её изменения приведён на рис. 10.

При . В резонансном режиме и, наконец, при , График этой функции приведён на рис. 12.

 

На рис. 10, 13, 14 приведены графики функций:

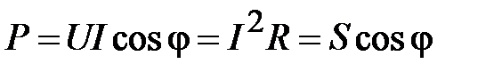
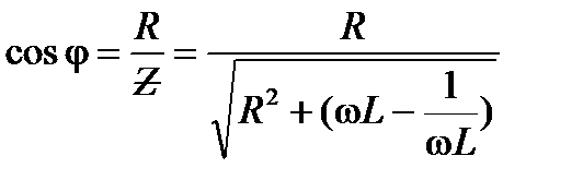
коэффициента мощности на зажимах цепи

; (37)

активной мощности на зажимах цепи

; (38)

напряжения на катушке индуктивности

; (39)

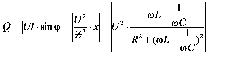
реактивной мощности на зажимах цепи

. (40)

Из рис. 10 видно, что в некотором интервале изменения С, включающем ,

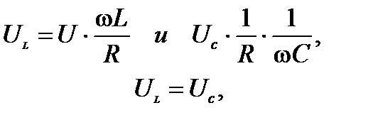
т. е. напряжения на реактивных элементах могут превышать общее напряжение в цепи. Учитывая, что при резонансе

.

Получим, что условие превышения падения напряжения на реактивных элементах при резонансе будет иметь место, если

.

Параметр, определяемый отношениями

называется добротностью резонансного контура. С учётом этого понятия

.
.

Если , то имеет место ярко выраженный резонанс напряжений, если , то при резонансе

.

Последовательные резонансные цепи широко используются в электронной измерительной технике, в радиотехнике. Резонанс напряжений в электроэнергетических установках, как правило, не допустим из-за значительного увеличения тока в цепи, и может быть причиной аварии, поскольку активное сопротивление установок, как правило, незначительно.

 

 

ВЫВОДЫ

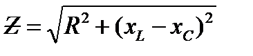
Цепь однофазного синусоидального тока с последовательно включёнными R, L, C -элементами характеризуется тем, что полное сопротивление цепи слагается из:

– активного сопротивления R;

– положительного индуктивного сопротивления

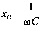
– отрицательного ёмкостного сопротивления

.

Величина определяется выражением

.

Реактивное сопротивление может быть, как положительным числом , так и отрицательным или равным нулю . Т. е. индуктивное и ёмкостное сопротивления частично или полностью компенсируют друг друга.

Угол сдвига фаз φ полностью определяется величиной и соотношением сопротивлений элементов

.

 

В зависимости от этих условий он может быть положительным, если , в этом случае ток в цепи будет отставать по фазе на угол φ от общего напряжения. Угол φ может быть отрицательным, при , т. е. ток в цепи будет опережать по фазе, указанное напряжение. Наконец, угол φ может быть равным нулю, если . В этом случае ток и рассматриваемое напряжение совпадают по фазе.

 

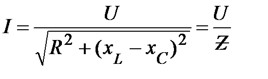
Ток в цепи определяется соотношением

,

которое является выражением закона Ома для данной цепи в действующих значениях параметров режима.

При условии, что и вектор расположен вдоль оси +1 на комплексной плоскости, выражение для тока в комплексной форме имеет вид

.

Вектор тока может располагаться в четвертой четверти (φ>0), в первой четверти (φ<0) или совпадать по направлению с (φ=0).

Напряжения на реактивных элементах определяются их сопротивлениями и сдвинуты относительно друг друга по фазе 180º. Т. е. в цепи происходит частичная () или полная () компенсация реактивной составляющей общего напряжения

.

При этом вектора и направлены на векторной диаграмме в противоположные стороны.

Интенсивность энергетических процессов определяется

· величиной активной мощности

, Ватт,

которая определяет скорость необратимого преобразования электрической энергии (интенсивность изменения этой энергии) в неэлектрические виды энергии на R- элементе;

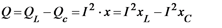
· величиной реактивной мощности

, Вар,

которая определяет скорость изменения циркулирующей энергии (интенсивность изменения этой энергии) между полями L, C -элементов и источником питания. Эта мощность, в свою очередь, определяется разностью реактивных мощностей на L -элементе () и С -элементе ().

Указанные реактивные мощности могут частично компенсировать друг друга ( при или при ) или происходит полная компенсация мощностей и ( при ). В этом случае мощность на этом участке цепи чисто активная

 




Поделиться с друзьями:


Дата добавления: 2015-05-06; Просмотров: 810; Нарушение авторских прав?; Мы поможем в написании вашей работы!


Нам важно ваше мнение! Был ли полезен опубликованный материал? Да | Нет



studopedia.su - Студопедия (2013 - 2026) год. Все материалы представленные на сайте исключительно с целью ознакомления читателями и не преследуют коммерческих целей или нарушение авторских прав! Последнее добавление




Генерация страницы за: 0.012 сек.