Студопедия

КАТЕГОРИИ:


Архитектура-(3434)Астрономия-(809)Биология-(7483)Биотехнологии-(1457)Военное дело-(14632)Высокие технологии-(1363)География-(913)Геология-(1438)Государство-(451)Демография-(1065)Дом-(47672)Журналистика и СМИ-(912)Изобретательство-(14524)Иностранные языки-(4268)Информатика-(17799)Искусство-(1338)История-(13644)Компьютеры-(11121)Косметика-(55)Кулинария-(373)Культура-(8427)Лингвистика-(374)Литература-(1642)Маркетинг-(23702)Математика-(16968)Машиностроение-(1700)Медицина-(12668)Менеджмент-(24684)Механика-(15423)Науковедение-(506)Образование-(11852)Охрана труда-(3308)Педагогика-(5571)Полиграфия-(1312)Политика-(7869)Право-(5454)Приборостроение-(1369)Программирование-(2801)Производство-(97182)Промышленность-(8706)Психология-(18388)Религия-(3217)Связь-(10668)Сельское хозяйство-(299)Социология-(6455)Спорт-(42831)Строительство-(4793)Торговля-(5050)Транспорт-(2929)Туризм-(1568)Физика-(3942)Философия-(17015)Финансы-(26596)Химия-(22929)Экология-(12095)Экономика-(9961)Электроника-(8441)Электротехника-(4623)Энергетика-(12629)Юриспруденция-(1492)Ядерная техника-(1748)

Методы нахождения ранга




1. Метод элементарных преобразований

Ранг = числу ненулевых строк в ступенчатом виде матрицы .

ненулевых строк – ранг матрицы равен .

2. Метод миноров

Теорема о равенстве определителя нулю

Пусть - квадратная матрица . Тогда строки (столбцы) линейно зависимы.

Доказательство

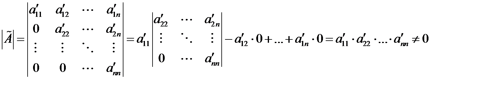
Элементарные преобразования 1 и 2 (перестановка строк и прибавление к строке другой, умноженной на число) могут изменить только знак . Поэтому , где - матрица , приведенная к ступенчатому виду. Значит имеет треугольный вид.

Получили, что определитель матрицы, имеющей треугольный вид, равен произведению элементов на диагонали. Если имеет ступенчатый, но не треугольный вид (т.е. на диагонали встречаются нулевые элементы), то , а значит имеет нулевую строку. Таким образом, имеет ступенчатый, но не треугольный вид число линейно независимых строк в .

Определение

Пусть . Минор порядка () – определитель, элементы которого стоят на пересечении строк и столбцов матрицы .

Теорема о ранге матрицы

Если в матрице минор порядка , не равный 0 (), а все миноры порядка равны 0, то . То есть = наибольшему порядку минора в , который не равен 0.

Доказательство на примере

В минор 3-го порядка , а все миноры порядка равны (т.к. имеют -ю строчку).

[_]




Поделиться с друзьями:


Дата добавления: 2015-04-24; Просмотров: 378; Нарушение авторских прав?; Мы поможем в написании вашей работы!


Нам важно ваше мнение! Был ли полезен опубликованный материал? Да | Нет



studopedia.su - Студопедия (2013 - 2026) год. Все материалы представленные на сайте исключительно с целью ознакомления читателями и не преследуют коммерческих целей или нарушение авторских прав! Последнее добавление




Генерация страницы за: 0.02 сек.