Студопедия

КАТЕГОРИИ:


Архитектура-(3434)Астрономия-(809)Биология-(7483)Биотехнологии-(1457)Военное дело-(14632)Высокие технологии-(1363)География-(913)Геология-(1438)Государство-(451)Демография-(1065)Дом-(47672)Журналистика и СМИ-(912)Изобретательство-(14524)Иностранные языки-(4268)Информатика-(17799)Искусство-(1338)История-(13644)Компьютеры-(11121)Косметика-(55)Кулинария-(373)Культура-(8427)Лингвистика-(374)Литература-(1642)Маркетинг-(23702)Математика-(16968)Машиностроение-(1700)Медицина-(12668)Менеджмент-(24684)Механика-(15423)Науковедение-(506)Образование-(11852)Охрана труда-(3308)Педагогика-(5571)Полиграфия-(1312)Политика-(7869)Право-(5454)Приборостроение-(1369)Программирование-(2801)Производство-(97182)Промышленность-(8706)Психология-(18388)Религия-(3217)Связь-(10668)Сельское хозяйство-(299)Социология-(6455)Спорт-(42831)Строительство-(4793)Торговля-(5050)Транспорт-(2929)Туризм-(1568)Физика-(3942)Философия-(17015)Финансы-(26596)Химия-(22929)Экология-(12095)Экономика-(9961)Электроника-(8441)Электротехника-(4623)Энергетика-(12629)Юриспруденция-(1492)Ядерная техника-(1748)

Геометрическая интерпретация комплексного числа




Всякое комплексное число z = (x, y) можно изобразить как точку на плоскости с координатами x и y. Плоскость, на которой изображаются комплексные числа, называется комплексной плоскостью, при этом ось Ox называется действительной, а Oy - мнимой.

Расстояние r точки z от нулевой точки, т. е. число

называется модулем комплексного числа z и обозначается символом | z |.

Число

называем аргументом комплексного числа z и обозначаем символом θ = arg z. При заданном r углы, отличающиеся на , соответствуют одному и тому же числу. В этом случае записываем называем главным значением аргумента.

Числа r и θ называют полярными координатами комплексного числа z. В этом случае

z = (x, y) = (r cos θ, r sin θ) = r (cos θ + i sin θ)

называется тригонометрической формой комплексного числа.

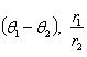
Если z 1 = (r 1 cos θ 1, r 1 sin θ 1), z 2 = (r 2 cos θ 2, r 2 sin θ 2), то

z 1 z 2 = (r 1 r 2 cos(θ 1 + θ 2), r 1 r 2 sin(θ 1 + θ 2)),

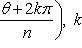
Для n -й степени числа z = (r cos θ, r sin θ) формула приобретает вид zn = (rn cos , rn sin ).

При r = 1 соотношение приобретает вид zn = (cos , sin ) и называется формулой Муавра.

Корень n -й степени из комплексного числа z имеет n различных значений, которые находятся по формуле

(1)

 




Поделиться с друзьями:


Дата добавления: 2015-04-24; Просмотров: 416; Нарушение авторских прав?; Мы поможем в написании вашей работы!


Нам важно ваше мнение! Был ли полезен опубликованный материал? Да | Нет



studopedia.su - Студопедия (2013 - 2025) год. Все материалы представленные на сайте исключительно с целью ознакомления читателями и не преследуют коммерческих целей или нарушение авторских прав! Последнее добавление




Генерация страницы за: 0.008 сек.