Студопедия

КАТЕГОРИИ:


Архитектура-(3434)Астрономия-(809)Биология-(7483)Биотехнологии-(1457)Военное дело-(14632)Высокие технологии-(1363)География-(913)Геология-(1438)Государство-(451)Демография-(1065)Дом-(47672)Журналистика и СМИ-(912)Изобретательство-(14524)Иностранные языки-(4268)Информатика-(17799)Искусство-(1338)История-(13644)Компьютеры-(11121)Косметика-(55)Кулинария-(373)Культура-(8427)Лингвистика-(374)Литература-(1642)Маркетинг-(23702)Математика-(16968)Машиностроение-(1700)Медицина-(12668)Менеджмент-(24684)Механика-(15423)Науковедение-(506)Образование-(11852)Охрана труда-(3308)Педагогика-(5571)Полиграфия-(1312)Политика-(7869)Право-(5454)Приборостроение-(1369)Программирование-(2801)Производство-(97182)Промышленность-(8706)Психология-(18388)Религия-(3217)Связь-(10668)Сельское хозяйство-(299)Социология-(6455)Спорт-(42831)Строительство-(4793)Торговля-(5050)Транспорт-(2929)Туризм-(1568)Физика-(3942)Философия-(17015)Финансы-(26596)Химия-(22929)Экология-(12095)Экономика-(9961)Электроника-(8441)Электротехника-(4623)Энергетика-(12629)Юриспруденция-(1492)Ядерная техника-(1748)

Уравнение неразрывности. Основные уравнения гидроаэромеханики основываются на законах сохранения массы, количества движения и энергии




 

Основные уравнения гидроаэромеханики основываются на законах сохранения массы, количества движения и энергии, кото­рые вместе обычно кратко именуются законами сохранения. Особенность заключается в том, что в механике жидкости эти законы необходимо записать в форме, пригодной для изучения движения сплошной деформируемой среды.

Уравнением неразрывности называют закон сохранения массы. Рассмотрим в потоке жидкости некоторую произвольную фикси­рованную замкнутую поверхность s, ограничивающую объем ν. Выделим на поверхности элемент площади d s и построим единич­ный вектор n, направленный наружу по нормали к поверхности (рис. 2.1). Поток жидкости пронизывает замкнутую поверхность, причем через выделенный элемент поверхности за единицу вре­мени протекает масса жидкости, равная pu,ds, где ип — нормаль­ная к поверхности составляющая скорости жидкости; ρ - плот­ность жидкости. Проекцию скорости на нормаль можно заменить через скалярное произведение вектора скорости и на единичную нормаль n: pnuds. В индексной записи [см. формулу (1.7) ] это вы­ражение примет вид ρηiuids.

Интегрируя по поверхности, получим массу, вытекающую за единицу времени из фиксированного объема: (2.1)

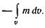
Пусть в общем случае в жидкости распределены источники массы, которые подают на единицу объема в единицу времени массу т. Тогда внутрь фиксированного объема за единицу времени поступает масса, равная (2.2) Знак минус учитывает, что в выражении (2.1) было принято, что вытекшая масса берется со знаком плюс.

Масса жидкости, заключенная внутри выделенного объема, за единицу времени изменится, как следует из выражений (2.1) и (2.2), на величину (2.3)

Масса в фиксированном объеме может изменяться только в том случае, если изменяется во времени плотность жид­кости.

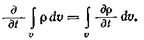
Скорость изменения массы, заключенной в объеме, можно представить следующим образом:

(2.4)

Здесь переход к дифференцированию под знаком интеграла воз­можен, так как объем постоянен.

Из выражений (2.3) и (2.4) можно записать закон сохранения массы в интегральной форме

(2.5)

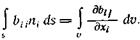
Для того чтобы получить это уравнение в дифференциальной форме, воспользуемся формулой Гаусса – Остроградского, кото­рая позволяет преобразовать интеграл по поверхности в интеграл по объему, ограниченному этой поверхностью: (2.6)

Здесь величина bi имеет один индекс, т. е. является вектором. Аналогичная формула справедлива, если b является скаляром (т. е. не имеет индексов) или тензором (имеет два индекса)

(2.7)

Положив в формуле (2.6) bi – равным rui, заменим в выражении (2.5) интеграл по поверхности интегралом по объему и получим

 

Полученное уравнение справедливо для произвольного объема, но тогда интеграл может быть равен нулю, только если равно нулю подынтегральное выражение. Отсюда следует уравнение неразрывности в дифференциальной форме (2.8)

Запишем это уравнение для отдельных частных случаев. Если источников массы нет, тогда (2.9)

Если рассматриваем стационарное движение сжимаемой жидко­сти, (2.10)

то dr/dt = 0 и, следовательно,

Если жидкость несжимаема, то уравнение неразрывности при­нимает (2.11)

наиболее простую форму




Поделиться с друзьями:


Дата добавления: 2015-05-09; Просмотров: 638; Нарушение авторских прав?; Мы поможем в написании вашей работы!


Нам важно ваше мнение! Был ли полезен опубликованный материал? Да | Нет



studopedia.su - Студопедия (2013 - 2026) год. Все материалы представленные на сайте исключительно с целью ознакомления читателями и не преследуют коммерческих целей или нарушение авторских прав! Последнее добавление




Генерация страницы за: 0.012 сек.