Студопедия

КАТЕГОРИИ:


Архитектура-(3434)Астрономия-(809)Биология-(7483)Биотехнологии-(1457)Военное дело-(14632)Высокие технологии-(1363)География-(913)Геология-(1438)Государство-(451)Демография-(1065)Дом-(47672)Журналистика и СМИ-(912)Изобретательство-(14524)Иностранные языки-(4268)Информатика-(17799)Искусство-(1338)История-(13644)Компьютеры-(11121)Косметика-(55)Кулинария-(373)Культура-(8427)Лингвистика-(374)Литература-(1642)Маркетинг-(23702)Математика-(16968)Машиностроение-(1700)Медицина-(12668)Менеджмент-(24684)Механика-(15423)Науковедение-(506)Образование-(11852)Охрана труда-(3308)Педагогика-(5571)Полиграфия-(1312)Политика-(7869)Право-(5454)Приборостроение-(1369)Программирование-(2801)Производство-(97182)Промышленность-(8706)Психология-(18388)Религия-(3217)Связь-(10668)Сельское хозяйство-(299)Социология-(6455)Спорт-(42831)Строительство-(4793)Торговля-(5050)Транспорт-(2929)Туризм-(1568)Физика-(3942)Философия-(17015)Финансы-(26596)Химия-(22929)Экология-(12095)Экономика-(9961)Электроника-(8441)Электротехника-(4623)Энергетика-(12629)Юриспруденция-(1492)Ядерная техника-(1748)

Уравнение движения




 

Уравнения движения можно вывести с помощью теоремы о количестве движения, примененной к сплошной движущейся среде.

Пусть произвольная фиксированная замкнутая поверхность S ограничивает объем V. Применим к жидкости, протекающей через этот объем, закон количества движения: скорость изменения ко­личества движения, возникающего внутри объема, равна дей­ствующей на объем силе.

Найдем сначала скорость изменения количества движения жидкости в выделенном объеме.

Обозначим niвектор единичной нормали к поверхности S (см. рис. 2.1). Тогда масса жидкости, вытекающая в единицу времени через элемент поверхности, как и ранее, равна ruinids. Вытекающая масса выносит из объема некоторое количество дви­жения, которое является векторной величиной и может быть найдено умножением массы на вектор скорости ruiujnids. Это выражение представляет собой количество движения, вынесенное из объема через элемент поверхности в единицу времени (в проек­ции на ось у). Следовательно, через всю поверхность выносится количество движения,

равное (2.12)

Количество движения жидкости, заключенной в объеме, может изменяться также вследствие изменения скорости и плотности жидкости внутри объема во времени. Это изменение представляется интегралом по объему (2.13)

Сумма выражений (2.12) и (2.13) дает полную скорость изме­нения количества движения выделенного объема жидкости и должна быть равна действующей на объем силе (2.14)

Под fj следует понимать результирующую всех сил, прило­женных к жидкости в выделенном объеме. Все члены этого уравне­ния имеют один и тот же свободный индекс j, так как изменение количества движения и сила должны проектироваться на одну и ту же ось координат.

Силы, действующие на жидкость, можно подразделить на массовые и поверхностные. Силы, действующие на единицу массы жидкости, обозначим fj — это может быть сила тяжести или сила электромагнитного происхождения, возникающая в токопроводящей жидкости.

Тогда полная массовая сила, действующая на выделенный объем жидкости, равна (2.15)

Поверхностными называются силы, действующие только на поверхность жидкости выделенного объема со стороны окружа­ющей жидкости. Эти силы в общем случае действуют как по нор­малям, так и по касательным к поверхности. Эти силы, как пока­зано в разд. 1.3, представляются напряжениями σij. В данном случае необходимо найти напряжения на площадке, которой соответствует нормаль ni.

Согласно формуле (1.14) напряжения на такой площадке равны пi σij(напомним, что второй индекс у σ означает ось проек­тирования).

Следовательно, проекция на ось j полной силы, действующей на выделенную поверхность, равна

(2.16)

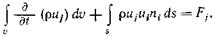
Заменив Fj в уравнении (2.14) через сумму выражений (2.15) и (2.16), получим уравнение движения в интегральной форме (2.17)

Для того чтобы получить уравнение движения в дифферен­циальной форме, необходимо, как и при выводе уравнения нераз­рывности, заменить интегралы по поверхности интегралами по объему с помощью формулы Гаусса — Остроградского (2.6, 2.7):

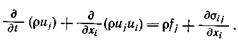
Полученное выражение справедливо для произвольного объ­ема v, поэтому подынтегральное выражение должно быть равно нулю. Отсюда получаем уравнение движения в дифференциальной форме (2.18)

Это уравнение можно упростить, если продифференцировать произведения, стоящие в скобках, и заметить, что сумма второго и третьего членов равна нулю в силу уравнения неразрывности (2.9).

Тогда получим (2.19)

B этом уравнении целесообразно явно выделить член, завися­щий от давления, воспользовавшись представлением напряжений по формуле * (1.13): (2.20)

Для жидкости, лишенной вязкости (идеальная жидкость), последний член уравнения равен нулю и оно переходит в уравне­ние, полученное Эйлером, (2.21)




Поделиться с друзьями:


Дата добавления: 2015-05-09; Просмотров: 372; Нарушение авторских прав?; Мы поможем в написании вашей работы!


Нам важно ваше мнение! Был ли полезен опубликованный материал? Да | Нет



studopedia.su - Студопедия (2013 - 2026) год. Все материалы представленные на сайте исключительно с целью ознакомления читателями и не преследуют коммерческих целей или нарушение авторских прав! Последнее добавление




Генерация страницы за: 0.009 сек.