Студопедия

КАТЕГОРИИ:


Архитектура-(3434)Астрономия-(809)Биология-(7483)Биотехнологии-(1457)Военное дело-(14632)Высокие технологии-(1363)География-(913)Геология-(1438)Государство-(451)Демография-(1065)Дом-(47672)Журналистика и СМИ-(912)Изобретательство-(14524)Иностранные языки-(4268)Информатика-(17799)Искусство-(1338)История-(13644)Компьютеры-(11121)Косметика-(55)Кулинария-(373)Культура-(8427)Лингвистика-(374)Литература-(1642)Маркетинг-(23702)Математика-(16968)Машиностроение-(1700)Медицина-(12668)Менеджмент-(24684)Механика-(15423)Науковедение-(506)Образование-(11852)Охрана труда-(3308)Педагогика-(5571)Полиграфия-(1312)Политика-(7869)Право-(5454)Приборостроение-(1369)Программирование-(2801)Производство-(97182)Промышленность-(8706)Психология-(18388)Религия-(3217)Связь-(10668)Сельское хозяйство-(299)Социология-(6455)Спорт-(42831)Строительство-(4793)Торговля-(5050)Транспорт-(2929)Туризм-(1568)Физика-(3942)Философия-(17015)Финансы-(26596)Химия-(22929)Экология-(12095)Экономика-(9961)Электроника-(8441)Электротехника-(4623)Энергетика-(12629)Юриспруденция-(1492)Ядерная техника-(1748)

Нормальное распределение




Нормальное распределение (normal distribution) – играет важную роль в анализе данных.

Иногда вместо термина нормальное распределение употребляют термин гауссовское распределение в честь К.Гаусса (более старые термины, практически неупотребляемые в настоящее время: закон Гаусса, Гаусса-Лапласа распределение).

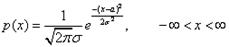
Нормальное распределение имеет плотность::

(*)

В этой формуле , фиксированные параметры, – среднее, – стандартное отклонение.

Графики плотности при различных параметрах приведены ниже.

Характеристическая функция нормального распределения имеет вид:

Дифференцируя характеристическую функцию и полагая t = 0, получаем моменты любого порядка.

Кривая плотности нормального распределения симметрична относительно и имеет в этой точке единственный максимум, равный

Параметр стандартного отклонения меняется в пределах от 0 до ∞.

Среднее меняется в пределах от -∞ до +∞.

При увеличении параметра кривая растекается вдоль оси х, при стремлении к 0 сжимается вокруг среднего значения (параметр характеризует разброс, рассеяние).

При изменении кривая сдвигается вдоль оси х (см. графики).

Варьируя параметры и , мы получаем разнообразные модели случайных величин, возникающие в телефонии.

Типичное применение нормального закона в анализе телекоммуникационных данных – моделирование сигналов, описание шумов, помех, ошибок, трафика.

 




Поделиться с друзьями:


Дата добавления: 2015-05-09; Просмотров: 491; Нарушение авторских прав?; Мы поможем в написании вашей работы!


Нам важно ваше мнение! Был ли полезен опубликованный материал? Да | Нет



studopedia.su - Студопедия (2013 - 2026) год. Все материалы представленные на сайте исключительно с целью ознакомления читателями и не преследуют коммерческих целей или нарушение авторских прав! Последнее добавление




Генерация страницы за: 0.012 сек.