Студопедия

КАТЕГОРИИ:


Архитектура-(3434)Астрономия-(809)Биология-(7483)Биотехнологии-(1457)Военное дело-(14632)Высокие технологии-(1363)География-(913)Геология-(1438)Государство-(451)Демография-(1065)Дом-(47672)Журналистика и СМИ-(912)Изобретательство-(14524)Иностранные языки-(4268)Информатика-(17799)Искусство-(1338)История-(13644)Компьютеры-(11121)Косметика-(55)Кулинария-(373)Культура-(8427)Лингвистика-(374)Литература-(1642)Маркетинг-(23702)Математика-(16968)Машиностроение-(1700)Медицина-(12668)Менеджмент-(24684)Механика-(15423)Науковедение-(506)Образование-(11852)Охрана труда-(3308)Педагогика-(5571)Полиграфия-(1312)Политика-(7869)Право-(5454)Приборостроение-(1369)Программирование-(2801)Производство-(97182)Промышленность-(8706)Психология-(18388)Религия-(3217)Связь-(10668)Сельское хозяйство-(299)Социология-(6455)Спорт-(42831)Строительство-(4793)Торговля-(5050)Транспорт-(2929)Туризм-(1568)Физика-(3942)Философия-(17015)Финансы-(26596)Химия-(22929)Экология-(12095)Экономика-(9961)Электроника-(8441)Электротехника-(4623)Энергетика-(12629)Юриспруденция-(1492)Ядерная техника-(1748)

Закон Кирхгофа




 

Влияние температуры на величины тепловых эффектов описывает закон Кирхгофа: температурный коэффициент (а) теплового эффекта химической реакции равен изменению теплоемкости системы в ходе реакции.

Закон дает возможность определить изменение энтальпии и тепловой эффект реакции в условиях прохождения се при температуре, отличной от стандартной.

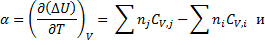
В дифференциальной форме математическое выражение закона для реакций, идущих при постоянном давлении:

при постоянном объеме:

 

 

Если эти выражения проинтегрировать, то получатся уравнения Кирхгофа в интегральной форме:

для реакций, идущих при постоянном давлении:

для реакций, идущих при постоянном объеме:

 

Если реакция протекает в условиях, когда температурная разница (T2 - T1) невелика, то можно принять, что теплоемкость практически не зависит от температуры ( C=const), тогда и - разность теплоемкостей продуктов реакции и исходных веществ (берутся из справочника при стандартной температуре) с учетом стехиометричсских коэффициентов:

Для учета зависимости теплоемкости от температуры в этих формулах используют средние значения теплоемкости в данном интервале температур веществ, участвующих в реакции (берутся из справочника).

Для более точных расчетов в случае протекания реакции при большой разнице температур необходимо использовать температурную зависимость теплоемкости типа:

где коэффициенты а,b, с, d для отдельных веществ берут из справочника, а знак обозначает разность между продуктами и реагентами (с учетом стехиометричсских коэффициентов).

Обычно уравнение Кирхгофа интегрируют в пределах 298,15 -T. Тогда значение энтальпии химической реакции при некоторой температуре T определяется из уравнения:




Поделиться с друзьями:


Дата добавления: 2015-05-09; Просмотров: 1112; Нарушение авторских прав?; Мы поможем в написании вашей работы!


Нам важно ваше мнение! Был ли полезен опубликованный материал? Да | Нет



studopedia.su - Студопедия (2013 - 2025) год. Все материалы представленные на сайте исключительно с целью ознакомления читателями и не преследуют коммерческих целей или нарушение авторских прав! Последнее добавление




Генерация страницы за: 0.011 сек.