Студопедия

КАТЕГОРИИ:


Архитектура-(3434)Астрономия-(809)Биология-(7483)Биотехнологии-(1457)Военное дело-(14632)Высокие технологии-(1363)География-(913)Геология-(1438)Государство-(451)Демография-(1065)Дом-(47672)Журналистика и СМИ-(912)Изобретательство-(14524)Иностранные языки-(4268)Информатика-(17799)Искусство-(1338)История-(13644)Компьютеры-(11121)Косметика-(55)Кулинария-(373)Культура-(8427)Лингвистика-(374)Литература-(1642)Маркетинг-(23702)Математика-(16968)Машиностроение-(1700)Медицина-(12668)Менеджмент-(24684)Механика-(15423)Науковедение-(506)Образование-(11852)Охрана труда-(3308)Педагогика-(5571)Полиграфия-(1312)Политика-(7869)Право-(5454)Приборостроение-(1369)Программирование-(2801)Производство-(97182)Промышленность-(8706)Психология-(18388)Религия-(3217)Связь-(10668)Сельское хозяйство-(299)Социология-(6455)Спорт-(42831)Строительство-(4793)Торговля-(5050)Транспорт-(2929)Туризм-(1568)Физика-(3942)Философия-(17015)Финансы-(26596)Химия-(22929)Экология-(12095)Экономика-(9961)Электроника-(8441)Электротехника-(4623)Энергетика-(12629)Юриспруденция-(1492)Ядерная техника-(1748)

Средний истинный диапазон




ПРИМЕР

РОСТА/ПАДЕНИЯ ЛИНИЯ

(АОУАМСЕ/ОЕСНМЕ 1.1МЕ)

ОПРЕДЕЛЕНИЕ

Линия роста/падения (А/О Ипе) — это, без сомнения, наиболее распро­страненный показатель ширины рынка. Она представляет собой на­растающую сумму значений индикатора разности растущих и падающих акций (см. стр. 247). Использование линии роста/падения в анализе рыночных индексов (таких как промышленный индекс ДоуДжонса, индекс 5&Р 500 и др.) доказало ее высокую эффективность как индикатора силы рынка акций.

ИНТЕРПРЕТАЦИЯ

Линия А/О применяется для определения силы рынка в целом. Когда число растущих акций превышает число падающих, линия А/О возра­стает (и наоборот).

По мнению многих инвесторов, линия А/О отражает силу рынка точнее, чем более широко используемые индексы — такие как промышленный индекс ДоуДжонса (ОЛА) или индекс 8&Р 500. Наблюдения за тенденци­ей линии А/О позволяют определить, растет или падает рынок, насколь­ко устойчива его текущая тенденция и как долго она продолжается.

Другой способ использования линии А/О состоит в поиске расхожде­ний (см. стр. 60) между ней и ОЛА (или другим подобным индексом). Например, надежным сигналом скорого окончания бычьего рынка слу­жит ситуация, при которой линия А/О начинает поворачивать вниз, в то время как ОЛА продолжает движение к новым максимумам. Исто­рия рынка показывает, что если между ОЛА и линией А/0 образуется расхождение, происходит коррекция ОЛА в направлении движения ли­нии А/О.

Взаимосвязь между линией А/О и ОЛА часто представляют через сле­дующую военную аналогию: когда генералы пытаются вести за собой войска (ОЛА берет все новые высоты), а те отказываются следовать за ними (линия А/О не может достичь новых максимумов), это грозит

ГТГ»Т^''1М^<аТТТЛО\Л'

 

На следующем рисунке представлены ОЛА и линия А/О. 12 месяцев ОЛА рос, устанавливая новые абсолютные рекорды, что закончилось известным обвалом рынка в 1987 году. В тот же период линии А/О не удавалось достичь новых максимумов. Данный тип расхождения, — когда генералы пытаются вести за собой войска, а те не подчиняются, — обычно приводит к отступлению разбитых генералов, что и произош­ло в октябре 1987 года.

РАСЧЕТ

Линия А/О рассчитывается путем вычитания общего числа подеше­вевших за данный день акций из общего числа подорожавших акций с последующим прибавлением этой разности к накопленному значению.

Таблица 12 демонстрирует расчет линии А/О.

 

Поскольку отсчет линии А/О начинается с нуля, ее численное значе­ние не важно. Важны лишь наклон и форма линии А/О.

 

СКОЛЬЗЯЩИЕ СРЕДНИЕ

(МОУ1МС АУЕКАСЕЗ)

ОПРЕДЕЛЕНИЕ

Скользящее среднее показывает среднее значение цены бумаги за не­который период времени. При расчете скользящего среднего произво­дится математическое усреднение цены бумаги за данный период. По мере изменения цены ее среднее значение либо растет, либо падает.

Существует пять распространенных типов скользящих средних: про­стое (его также называют арифметическим), экспоненциальное, треу­гольное, переменное и взвешенное. Скользящие средние можно рассчитывать для любого последовательного набора данных, включая цены открытия и закрытия, максимальную и минимальную цены, объем торгов или значения других индикаторов. Нередко используют­ся и скользящие средние самих скользящих средних.

Единственное, чем скользящие средние разных типов существенно от­личаются друг от друга, — это разные весовые коэффициенты, кото­рые присваиваются последним данным. В случае простого скользящего среднего все цены рассматриваемого периода имеют равный вес. Экс­поненциальные и взвешенные скользящие средние делают более весо­мыми последние цены. Треугольные скользящие средние придают больший вес ценам в середине периода. И, наконец, переменные сколь­зящие средние изменяют весовые коэффициенты в зависимости от волатильности цен.

ИНТЕРПРЕТАЦИЯ

Самый распространенный метод интерпретации скользящего средне­го цены состоит в сопоставлении его динамики с динамикой самой цены. Когда цена бумаги поднимается выше своего скользящего сред­него, возникает сигнал к покупке, а когда она опускается ниже своего скользящего среднего — сигнал к продаже.

Ниже приводится график промышленного индекса ДоуДжонса за пери­оде 1970по 1993годиего 15месячное простое скользящее среднее. Стрел­ками «покупка» отмечены точки, где индекс закрывался выше скользящего среднего, а стрелками «продажа» — точки, где он закрывался ниже.

 

Данная система торговли с помощью скользящего среднего вовсе не предназначена обеспечить вхождение в рынок строго в его низшей точ­ке, а выход — строго на вершине. Она позволяет действовать в соответ­ствии с текущей тенденцией: покупать вскоре после того, как цены достигли основания, и продавать вскоре после образования вершины.

Важнейший параметр скользящего среднего — количество временных пе­риодов, по которому осуществляется усреднение. Задним числом легко определить наиболее подходящее скользящее среднее (например, с помо­щью компьютера автор вычислил, что оптимальный период расчета скользящего среднего для предыдущего графика составляет 43 месяца). Весь вопрос в том, как найти скользящее среднее, способное обеспечить устойчивую прибыльность. Наиболее распространено 39недельное (200дневное) скользящее среднее. Оно зарекомендовало себя как превосход­ный индикатор основных (долгосрочных) рыночных циклов.

Длина скользящего среднего должна соответствовать длительности ры­ночного цикла, на который ориентируется аналитик. [См.Табл.13]. К примеру, если в динамике ценной бумаги наблюдается цикличность с периодом 40 дней от пика до пика, то идеальной длиной скользящего среднего будет 21 день. Это значение определяется по формуле:

 

Дневное скользящее среднее можно преобразовать в недельное. Для этого число дней в периоде скользящего среднего делят на 5 (напр., 200дневное скользящее среднее практически равнозначно 40недельному скользящему среднему). Для преобразования дневного скользящего среднего в месячное число дней следует разделить на 21 (напр., 200дневное скользящее среднее приблизительно соот­ветствует 9месячному скользящему среднему, так как в месяце при­мерно 21 торговый день).

Скользящие средние могут применяться также и к индикаторам. При этом интерпретация скользящих средних индикаторов аналогична ин­терпретации ценовых скользящих средних: если индикатор поднима­ется выше своего скользящего среднего — значит восходящее движение индикатора продолжится: если индикатор опускается ниже скользяще­го среднего, это означает продолжение его нисходящего движения.

Для анализа, основанного на пересечениях скользящего среднего, осо­бенно хорошо подходят такие индикаторы, как МАСС, КОС, индикатор темпа и стохастический осциллятор.

Некоторые индикаторы — например, короткий стохастический осцилля­тор, колеблются настолько беспорядочно, что подчас трудно вьмвить их реальную тенденцию. В этом случае следует анализировать не сам инди­катор, а его скользящее среднее, что позволит за хаотичными дневными колебаниями разглядеть общую тенденцию в поведении индикатора.

 

Количество ложных сигналов у таких осцилляторов, как 12дневный КОС, стохастический осциллятор или К81 можно уменьшить с помо­щью короткого скользящего среднего (с периодом 210 дней) —хотя и за счет небольшого запаздывания сигналов. Например, вместо того, чтобы продавать при падении стохастического осциллятора ниже 80, можно осуществить эту операцию только тогда, когда ниже 80 опустит­ся его 5периодное скользящее среднее.

ПРИМЕР

На следующем рисунке представлены графики курса акций ипсо1п Nапопа1 и 39недельного экспоненциального скользящего среднего. Хотя скользящее среднее не улавливает непосредственно моменты разворота, оно очень хорошо показывает общее направление ценовой тенденции.

РАСЧЕТ

Ниже объясняются различные методы расчета скользящих средних.

 

ПРОСТОЕ СКОЛЬЗЯЩЕЕ СРЕДНЕЕ (51МР1Е МОУ1НО АУЕКАОЕ]

Простое, или арифметическое, скользящее среднее рассчитывается пу­тем суммирования цен закрытия бумаги за определенное число еди­ничных периодов (напр., 12 дней) с последующим делением суммы на число периодов. В результате получается средняя цена бумаги за дан­ный временной интервал. Простое скользящее среднее присваивает равный вес ценам каждого из дней.

Например, чтобы рассчитать 21 дневное скользящее среднее курса ак­ций 1ВМ, следует сначала суммировать цены закрытия 1ВМ за после­дний 21 день, а затем разделить полученную сумму на 21 — это и будет средней ценой 1ВМ за последний 21 день. Нанесите полученное сред­нее значение на график. На следующий день повторите операцию: сло­жите цены закрытия за предыдущий 21 день, разделите полученную сумму на 21 и нанесите полученное значение на график.

где п— число единичных периодов.

ЭКСПОНЕНЦИАЛЬНОЕ СКОЛЬЗЯЩЕЕ СРЕДНЕЕ ^XРОNЕNТ/А^ МОУ^О АУЕКАОЕ)

Экспоненциальное, или экспоненциально сглаженное, скользящее среднее определяется путем добавления к вчерашнему значению сколь­зящего среднего определенной доли сегодняшней цены закрытия. В случае экспоненциальных скользящих средних больший вес имеют последние цены закрытия.

Так, чтобы вычислить 9%ное экспоненциальное скользящее среднее курса акций 1ВМ, сегодняшнюю цену закрытия умножают на 9% и при­бавляют полученную величину к вчерашнему значению скользящего среднего, умноженному на 91% (100% — 9% ^ 91%):

(Сегодняшняя ирна закрытиях 0,09) +(вчерашнее скользящее среднее х0.91).

 

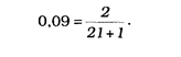
Поскольку для большинства инвесторов привычнее оперировать пер одами, а не процентами, процентные значения можно преобразоват:

соответствующее число дней. Например, 9%ное скользящее среди соответствует 21,2периодному (округляемому до 21) экспоненциал ному скользящему среднему.

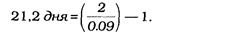
Преобразование процентов в периоды производится по формуле:

С ее помощью легко проверить, что 9%ное скользящее среднее экви­валентно 21дневному экспоненциальному скользящему среднему:

Формула для обратного преобразования такова:

С ее помощью также легко определить, что 21 дневное экспоненциаль­ное скользящее среднее эквивалентно 9%ному скользящему среднему:

ТРЕУГОЛЬНОЕ СКОЛЬЗЯЩЕЕ СРЕДНЕЕ (ТК^ОШАК МОУ/МО АУЕКАОЕ)

В треугольных скользящих средних основной вес приходится на среднюю часть ценового ряда. Фактически, они представляют собой дважды сгла­женные простые скользящие средние. Длина простых скользящих сред­них зависит от четности или нечетности выбранного числа периодов.

Ниже описаны операции для расчета 12периодного треугольного скользящего среднего.

 

1. К числу периодов скользящего среднего добавьте 1 (т.е. 12плюс 1 равно13).

2. Сумму, полученную по п. 1, разделите на 2 (т.е. 13 разделить на 2 равно 6,5).

3. Если результат по п.2 — число дробное, округлите его до целого (т.е. 6,5 округляется до 7).

4. Рассчитайте простое скользящее среднее цен закрытия с числом пери­одов, полученным по п.З (т.е. 7периодное простое скользящее среднее).

5. Вновь используя значение, полученное по п.З (т. е. 7), рассчитайте про­стое скользящее среднее скользящего среднего, рассчитанного по п. 4.

ПЕРЕМЕННОЕ СКОЛЬЗЯЩЕЕ СРЕДНЕЕ (УАК1АВ1Е МОУ^О АУЕКАОЕ)

Переменное скользящее среднее — это экспоненциальное скользяще< среднее, в котором параметр сглаживания, определяемый в процентах регулируется автоматически, в зависимости от волатильности ценовьс данных. Чем она выше, тем чувствительнее постоянная сглаживания используемая для расчета скользящего среднего. Чувствительность по вышается за счет присваивания большего веса текущим данным.

Большинство методов расчета скользящих средних не в состоянш сделать их в равной степени эффективными для торговли как на рын ке с ярко выраженной тенденцией, так и в условиях торгового кори дора. Когда цены находятся в торговом коридоре (колеблются в узко? горизонтальном диапазоне), короткие скользящие средние обычн' дают множество ложных сигналов. Если же рынок движется направ ленно (цены растут или падают в течение длительного времени] длинные скользящие средние с запозданием реагируют на разворо ты тенденции. Путем автоматической подстройки постоянной сгла живания переменное скользящее среднее корректирует сбо! чувствительность, что повышает его эффективность для обоих та пов рынка.

Переменное скользящее среднее рассчитывается следующим образо?»

(0,078(УК) х цена закрытия) + (1 — 0,078(УК) х вчерашнее скользяща среднее),

 

где УК— коэффициент волатильности (Уо1апИ1у га1ю).

Для выведения коэффициента волатильности используются различные индикаторы. Я беру отношение индикатора УНГ (см. стр. 92) к его ве­личине 12 периодов назад. Чем это отношение выше, тем ярче выра­жена тенденция и тем выше чувствительность скользящего среднего.

Понятие переменного скользящего среднего ввел Тушар Чанд (ТизЬаг Спапае) в мартовском номере журнала ТесЬшса! Апа1ув18 оГ51осЬз апс1 Согшпо(1Ше8 от 1992 г.

ВЗВЕШЕННОЕ СКОЛЬЗЯЩЕЕ СРЕДНЕЕ (У^ЕЮНТЕО МОУ^О АУЕКАСЕ)

Во взвешенном скользящем среднем последним данным присваивается больший вес, а более ранним — меньший. Взвешенное скользящее сред­нее рассчитывается путем умножения каждой из цен закрытия в рас­сматриваемом ряду на определенный весовой коэффициент. В таблице 14 показан расчет 5дневного взвешенного скользящего среднего.

ТАБЛИЦА 14

 

Значение весового коэффициента определяется количеством дней в пе­риоде расчета скользящего среднего. В приведенном выше примере вес первого дня равен 1,0, а вес последнего дня — 5,0. Таким образом, сегод­няшняя цена закрытия в 5 раз весомее цены закрытия 5 дней назад.

На следующем рисунке представлены 25дневные скользящие средние различных типов: простое, экспоненциальное, взвешенное, треуголь­ное и переменное.

 

:КОРОСТНЫЕ ЛИНИИ СОПРОТИВЛЕНИЯ

5РЕЕО КЕ515ТАМСЕ 1.1МЕ5)

ОПРЕДЕЛЕНИЕ

Скоростные линии сопротивления (8КЦ — их иногда называют линия­ми 1/32/3 — это линии тренда, которые делят ценовое движение на три равные части. По методу построения и интерпретации они схожи с веерами Фибоначчи (см. стр. 322).

ИНТЕРПРЕТАЦИЯ

Скоростные линии сопротивления представлены тремя линиями трен­да. Наклон каждой из линий определяет различную скорость измене­ния ценовых ожиданий.

Зачастую линия 2/3 служит важным уровнем поддержки. Если цены все же опускаются ниже нее, то обычно быстро падают до линии 1/3, которая становится новым уровнем поддержки.

ПРИМЕР

На следующем рисунке показан график курса акций МсОопаИ'8 с на­несенными на него скоростными линиями сопротивления. Первона­чальная линия тренда проведена от минимума А к максимуму В. Как видно из рисунка, всякий раз опускаясь до линии 2/3, цены встречали поддержку. Когда же они в конце концов прорвали ее (в точке С), то за­тем быстро опустились к линии 1 /З, где вновь нашли поддержку

РАСЧЕТ

Скоростные линии сопротивления строятся следующим образом.

1. Проведите линию от важного минимума к важному максимуму.

2. Проведите вертикальную линию от максимума до уровня минимума и разделите полученный отрезок на три равные части.

 

3. Проведите от минимума две линии через полученные точки на уров­нях 1/3 и 2/3.

 

:КОРОСТЬ ИЗМЕНЕНИЯ ОБЪЕМА

УОШМЕ КАТЕОгСНАМСЕ)

ОПРЕДЕЛЕНИЕ

Скорость изменения объема (Уо1ите КОС) определяется так же, как и скорость изменения цены (Рпсе КОС, см. стр. 272), но для расчета бе­рутся показатели объема торгов, а не цены закрытия.

ИНТЕРПРЕТАЦИЯ

Практически все важные графические образования (вершины, осно­вания, прорывы и т.д.) сопровождаются резким увеличением объема торгов. Индикатор скорости изменения объема показывает, насколько быстро меняется объем.

Дополнительные сведения по интерпретации тенденций объема мож­но найти в разделах об объеме (см. стр. 185) и осцилляторе объема (см. стр. 190).

ПРИМЕР

На следующем рисунке представлены графики курса акций Техаз 1п8<гитеп1:8 и 12дневного индикатора скорости изменения объема. Про­рыв цен из треугольника сопровождался резким увеличением объема. Это увеличение объема подтвердило значимость ценового прорыва.

 

РАСЧЕТ

Индикатор скорости изменения объема определяется путем деления ве­личины изменения объема за последние п. периодов на значение объе­ма п периодов назад. Полученная величина показывает относительное изменение объема за последние п периодов.

Если сегодняшний объем выше, чем п периодов назад, то значение КОС будет положительным. Если сегодняшний объем ниже объема п пери­одов назад, то значение КОС будет отрицательным.

 

СКОРОСТЬ ИЗМЕНЕНИЯ ЦЕНЫ

(РК1СЕ КАТЕОРСНАМОЕ)

ОПРЕДЕЛЕНИЕ

Индикатор скорости изменения цены (КОС) показывает разность меж­ду текущей ценой и ценой лпериодов назад. Она может быть выраже­на или в пунктах, или в процентах. Индикатор темпа (см. стр. 293) отражает зависимость между теми же величинами, но не в виде разно­сти, а в виде отношения.

ИНТЕРПРЕТАЦИЯ

Как известно, цены движутся вверх и вниз циклически, волнообразно. Это циклическое движение является следствием изменения ожиданий инвесторов, борьбы быков и медведей за контроль над ценами.

КОС как осциллятор отражает это волнообразное движение, измеряя величину ценового изменения за определенный период. Если цены ра­стут, КОС также растет; если цены падают, КОС падает вместе с ними. Чем больше ценовое изменение, тем сильнее меняется КОС.

Период расчета КОС может варьироваться от одного дня (при этом гра­фик индикатора становится очень чувствительным, так как он отража­ет изменение цены всего за один день) до 200 и более дней. Наиболее распространены 12и 25дневные КОС. которые применяются для крат­косрочной и среднесрочной торговли. Именно эти периоды расчета пред­ложили Джеральд Аппель и Фред Хитшлер (ГгеД РШзсЫег) в книге «Торговые системы для фондового рынка» (51:оск МагЬеПга(Ат§ 8у81:ет8).

12дневный КОС —превосходный краткосрочный и среднесрочный инди­катор перекупленности/перепроданности. Чем выше КОС, тем более пере­куплен рынок; чем ниже КОС, тем выше вероятность подъема. Однако, как и при использовании всех прочих индикаторов перекупленности/перепроданности. не следует спешить с открытием позиции до тех пор, пока сам рынок не сменит направление движения (т.е. повернет вверх или вниз). Рынок, кажущийся перекупленным, может оставаться таковым в течение некоторого времени. Вообще, состояния крайней перекупленности/перепроданности обычно предполагают продолжение текущей тенденции.

 

В характерных для 12дневного ки^ очень ^улпуч^^^.^———^ слеживается ярко выраженная цикличность. Поэтому изучение преды­дущих циклов КОС, и соотнесение их с текущей динамикой рынка зачастую позволяет предвосхищать изменения цен.

ПРИМЕР

На следующем рисунке представлены графики курса акций \Уа1§гееп и 12дневного индикатора КОС, выраженного в процентах. Стрелками «покупка» отмечены места, где КОС сначала опускался ниже, а затем поднимался выше уровня перепроданности 6,5. Стрелками «продажа» отмечены места, в которых КОС сначала поднимался выше, а затем опускался ниже уровня перекупленное™ +6,5.

Оптимальные уровни перекупленности/перепроданности варьируют­ся в зависимости от анализируемой бумаги и общего состояния рынка. В данном случае уровни ±6,5 получены произвольно путем проведения на графике горизонтальных линий, отсекающих предыдущие «экстре­мальные» значения индикатора.

 

РАСЧЕТ

Изменение цены будет выражено в пунктах, если индикатор скорости изменения цены определять как разность между сегодняшней ценой закрытия и ценой закрытия х периодов назад:

Сегодняшняя цена закрытия — цена закрытия х периодов назад.

Изменение цены будет выражено в процентах, если индикатор скорос­ти изменения цены определять путем деления изменения цены на цену закрытия х периодов назад:

 

СПРОСА ИНДЕКС

(ОЕМАМО 1МОЕХ)

ОПРЕДЕЛЕНИЕ

Индекс спроса особым образом сочетает цену и объем торгов, благода­ря чему он часто служит опережающим индикатором ценовых измене­ний. Индекс спроса разработал Джеймс Сиббет ^атез 81ЬЬе^).

ИНТЕРПРЕТАЦИЯ

Дж.Сиббет сформулировал шесть правил интерпретации индекса спроса:

1. Расхождение (см. стр. 60) между индексом спроса и ценами сигнализи­рует о предстоящем развороте цен.

2. Крайне высокие значения индекса спроса часто предшествуют обра­зованию новых максимумов цены (индекс — опережающий индикатор).

3. Сочетание нового максимума цены с более низким пиком индекса спро­са обычно приходится на важный ценовой пик (индекс — синхронный индикатор).

4. Пересечение индексом спроса нулевого уровня обычно происходит пос­ле разворота ценовой тенденции и служит его подтверждением (индекс — подтверждающий индикатор).

5. Если индекс спроса постоянно колеблется около нуля, значит текущая ценовая тенденция имеет слабый потенциал и не продлится долго.

6. Значительное долгосрочное расхождение между ценами и индексом спроса указывает на важную вершину или основание рынка.

ПРИМЕР

На следующем рисунке представлены графики курса акций Ргос1:ег & ОатЫе и индекса спроса. Длительное медвежье расхождение сформи

 

ровалось в 1992 году, когда цены продолжали расти, а индекс падал. Согласно правилу Сиббета, это признак важной вершины.

РАСТЕТ

Расчет индекса спроса слишком сложен (он требует 21 столбец данных) и поэтому здесь не приводится.

Первоначальный вариант индекса Сиббета имеет шкалу, на которой +0 соответствует высшей точке, 1 — средней, а О — низшей. В боль­шинстве компьютерных программ по техническому анализу делается небольшая модификация индикатора, позволяющая строить его в обычной шкале.

 

СПРЭДЫ

(5РКЕА05)

ОПРЕДЕЛЕНИЕ

Спрэды показывают ценовую разницу между двумя бумагами. Обычно они рассчитываются через опционы.

ИНТЕРПРЕТАЦИЯ

Операция спрэд заключается в покупке одной бумаги и продаже дру­гой с целью получения прибыли на уменьшении или увеличении их ценовой разницы. Так, можно купить контракт на золото и одновремен­но продать контракт на серебро в расчете, что цена на золото будет ра­сти быстрее (или падать медленнее), чем цена на серебро.

Возможна операция спрэд и с одной бумагой: это покупка одного кон­тракта и продажа другого. Например, можно купить октябрьский кон­тракт, а продать — декабрьский.

ПРИМЕР

На следующем рисунке показаны графики цен контрактов на живых свиней (верхний график) и на свиную грудинку (средний график), а так­же их спрэд (нижний график). Операция спрэд в данном случае состо­ит в покупке контракта на свиней и продаже контракта на грудинку в расчете на то, что цены на свиней будут расти быстрее (или падать мед­леннее), чем на грудинку.

Из графиков видно, что в течение всего указанного периода цены на оба товара падали. Как и ожидалось, цены на свиней опускались мед­леннее, чем цены на грудинку. Согласно графику спрэда, разница цен сузилась от 10,55 до 3,58, обеспечив итоговую прибыль в 6,97.

 

 

(АУЕКАСЕТКиЕКАМОЕ)

ОПРЕДЕЛЕНИЕ

Средний истинный диапазон (АТК) — это показатель волатильности рынка. Его ввел Уэллс Уайлдер в книге «Новые концепции технических торговых систем» (Nе^V Сопсер<:з 1п Тесптса! Тгас1т@ букета, ^е11е8 ЛУПйег); с тех пор индикатор применяется как составляющая многих других индикаторов и торговых систем.

ИНТЕРПРЕТАЦИЯ

У.Уайлдер обнаружил, что АТК часто достигает высоких значений в ос­нованиях рынка после стремительного падения цен, вызванного пани­ческими продажами. Низкие значения индикатора часто соответствуют продолжительным периодам горизонтального движения, которые на­блюдаются на вершинах рынка и во время консолидации.

Индикатор среднего истинного диапазона можно интерпретировать по тем же правилам, что и другие индикаторы волатильности. Дополни­тельные сведения об интерпретации индикаторов волатильности мож­но найти в разделе о стандартном отклонении (см. стр. 281).

ПРИМЕР

На следующем рисунке показаны графики курса акций МсОопаю'8 и ин­дикатора среднего истинного диапазона. Этот пример наглядно демон­стрирует высокую волатильность в основании рынка (области А и А') и низкую — в период его консолидации перед прорывом (области В и В').

Средний истинный диапазон 279

 

____________________ ПсР(Ж05» Мб. ТКЦЕ РЙМ6Е _________________ 11/08/93

1.2?1Гй ~\ 1.2

0.9 • Л л /УуЛЛ.У \ /"\ / °9

0.6 ____________________________ ^ ________________ 0.6

58 [,1 58

У /(• У 56 • Г,1 56

I:,/А ^У I

^: 1 Д 1,1 г 'ч: ^

1 ^У \,^М 1

V ||,| ' 1 '(У' ° V ^____________________^________________________| ^

'32 осе '93 гев пяв йрр пну ля ^и^ йцб 5ЕР ост мои

РАСЧЕТ

Истинный диапазон (йгие гап§е) есть наибольшая из следующих трех величин:

• Разность между сегодняшними максимумом и минимумом.

• Разность между вчерашней ценой закрытия и сегодняшним мак­симумом.

• Разность между вчерашней ценой закрытия и сегодняшним ми­нимумом.

Индикатор среднего истинного диапазона представляет собой сколь­зящее среднее (обычно 14дневное) значений истинного диапазона.

 

СТАНДАРТНОЕ ОТКЛОНЕНИЕ

(5ТАМОАКО ОЕУ1АТ10М)

ОПРЕДЕЛЕНИЕ

Стандартное отклонение — это статистический способ измерения волатильности. Оно обычно используется не как самостоятельный инди­катор, а в качестве компонента других индикаторов. Так при расчете полос Боллинджера (см. стр. 87) стандартное отклонение цены бумаги добавляется к ее скользящему среднему.

ИНТЕРПРЕТАЦИЯ

Величина стандартного отклонения высока, если анализируемые дан­ные (напр., цены или значения индикатора) резко меняются. Если цены стабильны, то величина стандартного отклонения будет невысокой.

По мнению многих аналитиков, формированию важных рыночных вер­шин соответствует высокая волатильность, поскольку в душах инвес­торов эйфория борется со страхом. Образование важных оснований обычно происходит спокойнее, так как инвесторы не рассчитывают на серьезную прибыль.

ПРИМЕР

На следующем рисунке представлены графики курса акций Ргос<:ег & ОатЫе и 10недельного стандартного отклонения. Значительным подъемам в точках 1 и 2 предшествовали крайне низкие значения стан­дартного отклонения в точках А и В, соответственно.

 

РАСЧЕТ

где

8МА— простое скользящее среднее;

п — число единичных периодов.

Стандартное отклонение определяется так: рассчитывается ппериодное простое скользящее среднее анализируемого ряда данных (напр., цен закрытия или значений индикатора); суммируются квадраты раз­ности между значениями этого ряда и его скользящего среднего для каждого из предшествующих п периодов; сумма делится на п, и из по­лученного результата извлекается квадратный корень.

 

«Стикс»

(5Т1Х) ОПРЕДЕЛЕНИЕ

«СТИКС» (5ПХ) — это осциллятор, предназначенный для краткосрочной торговли. Впервые он был описан в журнале Тпе Ро1уте1т1с Керог!.. Он срав­нивает объемы средств, вкладываемых в растущие и падающие акции.

ИНТЕРПРЕТАЦИЯ

Согласно описанию в ТЬе Ро1утетс Керог!:

• 5Т1Х обычно изменяется в диапазоне от +42 до +58.

• Если 8Т1Х опускается до 45, это почти всегда означает сигнал к покуп­ке, за исключением случаев, когда на рынке господствует ярко выра­женная медвежья тенденция.

• Если 8Т1Х поднимается до 56 — рынок сильно перекуплен; и если 8ТЙ поднимется выше 58, то разумно продавать — за исключением случа­ев, когда на рынке зарождается новая бычья тенденция.

• Эти жесткие правила допускают модификации в зависимости от конк­ретных целей трейдеров и инвесторов.

• В обычных рыночных условиях 8Т1Х редко поднимается до 56 или опус кается до 45, поэтому при строгом соблюдении этих правил можно боль шую часть времени находиться вне рынка. Для тех, кто предпочитае! активную торговлю, указанные правила можно смягчить (см. табл. 15)

 

ПРИМЕР

На следующем рисунке представлены графики индекса З&Р 500 и инди­катора ЗПХ. Стрелками «покупка» обозначены места, где 8Т1Х сначала опускался ниже, а затем поднимался выше уровня перепроданное™ 45. Стрелками «продажа» отмечены случаи, когда ЗПХ сначала поднимался выше, а потом опускался ниже уровня перекупленности 56.

РАСЧЕТ

5Т1Х рассчитывается на основе варианта коэффициента роста/паде­ния (А/О Кайо, см. стр. 253).

8Т1Х представляет собой 21периодное (9%ное) экспоненциальное скользящее среднее вышеуказанного коэффициента роста/падения:

ЗПХ = (коэффициент. А/О х 0.09) + (вчерашний 8ПХ х 0,91;.

 




Поделиться с друзьями:


Дата добавления: 2015-05-29; Просмотров: 523; Нарушение авторских прав?; Мы поможем в написании вашей работы!


Нам важно ваше мнение! Был ли полезен опубликованный материал? Да | Нет



studopedia.su - Студопедия (2013 - 2025) год. Все материалы представленные на сайте исключительно с целью ознакомления читателями и не преследуют коммерческих целей или нарушение авторских прав! Последнее добавление




Генерация страницы за: 0.008 сек.