Студопедия

КАТЕГОРИИ:


Архитектура-(3434)Астрономия-(809)Биология-(7483)Биотехнологии-(1457)Военное дело-(14632)Высокие технологии-(1363)География-(913)Геология-(1438)Государство-(451)Демография-(1065)Дом-(47672)Журналистика и СМИ-(912)Изобретательство-(14524)Иностранные языки-(4268)Информатика-(17799)Искусство-(1338)История-(13644)Компьютеры-(11121)Косметика-(55)Кулинария-(373)Культура-(8427)Лингвистика-(374)Литература-(1642)Маркетинг-(23702)Математика-(16968)Машиностроение-(1700)Медицина-(12668)Менеджмент-(24684)Механика-(15423)Науковедение-(506)Образование-(11852)Охрана труда-(3308)Педагогика-(5571)Полиграфия-(1312)Политика-(7869)Право-(5454)Приборостроение-(1369)Программирование-(2801)Производство-(97182)Промышленность-(8706)Психология-(18388)Религия-(3217)Связь-(10668)Сельское хозяйство-(299)Социология-(6455)Спорт-(42831)Строительство-(4793)Торговля-(5050)Транспорт-(2929)Туризм-(1568)Физика-(3942)Философия-(17015)Финансы-(26596)Химия-(22929)Экология-(12095)Экономика-(9961)Электроника-(8441)Электротехника-(4623)Энергетика-(12629)Юриспруденция-(1492)Ядерная техника-(1748)

Доведення. Припустимо, що пряма а не належить площині a




Припустимо, що пряма а не належить площині a. Тоді а і a мають спільну точку А.

Якщо А Î b, то а і b мають спільну точку А, що суперечить умові.

Якщо А Î b, то а і b мимобіжні, що суперечить умові.

Отже, а || a.

 

Білет № 19

1. Степенева функція з цілим показником, її графік і властивості.

2. Взаємне розміщення двох площин у просторі. Ознака паралельності двох площин.

3. Знайдіть екстремуми функції у = (2х – 1) е3 х.

4. В основі конуса проведено хорду завдовжки а, яку видно із центра основи під кутом α, а з вершини конуса – під кутом β. Знайдіть площу бічної поверхні конуса.

 

1. Степенева функція з цілим показником, її графік і властивості

Степеневою функцією називається функція виду у = хp,

де р — постійне дійсне число, а х (основа) — змінна.


p Графік D(y) E(y) Пар­ність (непарність) Зрос­тання (спа­дання)
p=2k, k N   R [0; +∞) парна спадає, якщо х (-∞; 0], зростає, якщо х [0; +∞)
p= 2 k+ 1 k N R R непар­на зростає
p= -(2k), k N x ≠ 0 (0; + ∞) парна зростає, якщо х (-∞;0); спадає, якщо х (0; +∞)
p=-(2k-1) k N x ≠ 0 y ≠ 0 непар­на Спадає на проміж­ках (-∞; 0), (0; +∞)
p > 0, p – не ціле, 0<р<1 [0;+∞) [0;+∞) ні парна, ні непар­на зростає
Р>0, p – не ціле, р > 1 [0;+∞) [0;+∞) ні парна, ні непар­на зростає
р < 0, р – не ціле (0;+∞) (0;+∞) ні парна, ні непар­на спадає
             

 

2. Взаємне розміщення двох площин у просторі. Ознака паралельності двох площин.

 

Теорема ( ознака паралельності площин)

Якщо дві прямі однієї площини, які перетинаються й відповідно паралельні двом прямим другої площини (див. рисунок), то ці площини паралельні.

 

Дано: a 1 Ì a; а 2 Ì a; a 1 і a 2 перетинаються в точці А;

b 1 Ì b; b 2 Ì b; a 1 || b 1; а 2 || b 2 (рис. 59).

Довести: a || b.

Доведення

Припустимо, що a і b перетинаються по с. Оскільки a 1 || b 1, то а 1 || b, отже, а 1 || с. Оскільки а 2 || b 2 то а 2 || b, отже, а 2 || с. Через точку А проходять дві прямі а 1 і а 2, які паралельні с, що суперечить аксіомі па­ралельності. Отже, a || b.

Білет № 20

1. Показникова функція, її графік і властивості.

2. Вектори у просторі. Дії над векторами. Множення вектора на число, його властивості.

3. Доведіть тотожність = .

4. В основі прямої призми лежить рівнобедрений трикутник з кутом α при вершині. Діагональ грані, що містить бічну сторону трикутника дорівнює d і утворює з площиною основи кут β. Знайдіть об’єм призми.

 

1. Показникова функція, її графік і властивості.

Функція виду у = ах, де а > 0, а ≠ 1, називається показниковою (з основою а).

а > 1 0 < а < 1
1. D(y) = R 2. Е(у) = (0; + ) 3. Зростає x 1 > x 2 > 4. Якщо х = 0, то у = 1 5. Якщо х < 0,то у < 1 6. Якщо х > 0, то у > 1   1. D(y) = R 2. E(y) = (0; + ). 3. Спадає x 1 > x 2 < 4. Якщо х = 0, то у = 1 5. Якщо х < 0, то у > 1 6. Якщо х > 0, то у < 1  

 

2. Вектори у просторі. Дії над векторами. Множення вектора на число, його властивості.

Вектором називають напрямлений відрізок.

Довжиною (модулем, абсолютною величиною) вектора нази­вається довжина напрямленого відрізка (позначення: , ). Вектор, у якого початок збігається з кінцем, називається нульовим вектором. Ненульові вектори називаються колінеарними, якщо вони ле­жать або на одній прямій, або на паралельних прямих. Ненульові вектори і називаються однаково напрямлени­ми, якщо вони колінеарні та напрямлені в один бік. Вектори і називаються рівними, якщо вони мають одна­кову довжину та однаково напрямлені. Вектори і називаються протилежними, якщо вони ма­ють однакову довжину та протилежно напрямлені.

Три вектори називають компланарними, якщо відповідні їм на­прямлені відрізки розміщені в паралельних площинах. Вектори , і компланарні тільки за умови, що точки О, А, В, С лежать в одній площині

Вектори в просторі  
  Координати вектора (рис. а) (хВ – хА; уВ – уА; zВ – zА)
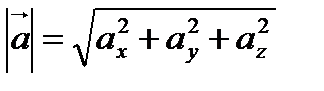
Довжина вектора (аx; аy; аz):
Рівність векторів (аx; аy; аz) = (bx; by; bz)
Сума векторів (рис. б) (аx; аy; аz) + (bx; by; bz) = (аx + bx; аy + by; аz + bz). + + =
Різниця векторів (аx; аy; аz) – (bx; by; bz) = (аxbx; аyby; аzbz). (рис. в) =
Добуток вектора на числоλ· (аx; аy; аz) = аx; λ аy; λ аz)
Колінеарні вектори і колінеарні, якщо = λ·

 

 

Білет № 21

1. Логарифм числа. Логарифм частки.

2. Перпендикулярність площин. Ознака перпендикулярності площин.

3. Розв’яжіть рівняння: 7х – 2х+2 = 5 7х-1 – 2х –1 .

4. Через сторону квадрата проведено площину, яка утворює з площиною квадрата кут 450. Знайдіть кут між діагоналлю квадрата і цією площиною.

 

 




Поделиться с друзьями:


Дата добавления: 2015-05-26; Просмотров: 992; Нарушение авторских прав?; Мы поможем в написании вашей работы!


Нам важно ваше мнение! Был ли полезен опубликованный материал? Да | Нет



studopedia.su - Студопедия (2013 - 2026) год. Все материалы представленные на сайте исключительно с целью ознакомления читателями и не преследуют коммерческих целей или нарушение авторских прав! Последнее добавление




Генерация страницы за: 0.013 сек.