Студопедия

КАТЕГОРИИ:


Архитектура-(3434)Астрономия-(809)Биология-(7483)Биотехнологии-(1457)Военное дело-(14632)Высокие технологии-(1363)География-(913)Геология-(1438)Государство-(451)Демография-(1065)Дом-(47672)Журналистика и СМИ-(912)Изобретательство-(14524)Иностранные языки-(4268)Информатика-(17799)Искусство-(1338)История-(13644)Компьютеры-(11121)Косметика-(55)Кулинария-(373)Культура-(8427)Лингвистика-(374)Литература-(1642)Маркетинг-(23702)Математика-(16968)Машиностроение-(1700)Медицина-(12668)Менеджмент-(24684)Механика-(15423)Науковедение-(506)Образование-(11852)Охрана труда-(3308)Педагогика-(5571)Полиграфия-(1312)Политика-(7869)Право-(5454)Приборостроение-(1369)Программирование-(2801)Производство-(97182)Промышленность-(8706)Психология-(18388)Религия-(3217)Связь-(10668)Сельское хозяйство-(299)Социология-(6455)Спорт-(42831)Строительство-(4793)Торговля-(5050)Транспорт-(2929)Туризм-(1568)Физика-(3942)Философия-(17015)Финансы-(26596)Химия-(22929)Экология-(12095)Экономика-(9961)Электроника-(8441)Электротехника-(4623)Энергетика-(12629)Юриспруденция-(1492)Ядерная техника-(1748)

Динамическая остойчивость. Плечо динамической остойчивости




МОДУЛЬ 8. ДИНАМИЧЕСКАЯ ОСТОЙЧИВОСТЬ. ПЛЕЧО ДИНАМИЧЕСКОЙ ОСТОЙЧИВОСТИ. ЗАДАЧИ, РЕШАЕМЫЕ С ПОМОЩЬЮ ДИАГРАММ СТАТИЧЕСКОЙ И ДИНАМИЧЕСКОЙ ОСТОЙЧИВОСТИ

На судно могут действовать не только статические кренящие моменты, но и динамические, приложенные резко (качка, шквал, рывок буксирного троса и т.д.). В этом случае судно получает запас не только потенциальной энергии, но и кинетической. Вся приложенная к судну энергия должна компенсироваться работой восстанавливающего момента, т.е. судно должно обладать динамической остойчивостью, если же не компенсируется, судно будет динамически неостойчивым.

Рассмотрим подробнее процесс наклонения судна. Можно считать, что в центре величины погруженной части судна приложена равнодействующая сил поддержания, поэтому точку С можно рассматривать как точку опоры плавающего судна. Тогда работа, произведенная при наклонении, будет зависеть от изменения вертикального расстояния между центром тяжести и центром величины (точкой опоры), т.е. работа будет производиться при подъеме веса D над центром величины. Она будет равна

T=Dd, (1)

где d - изменение расстояния по высоте между ЦТ и ЦВ, или иначе, плечо динамической остойчивости.

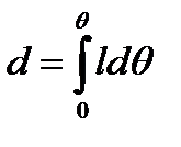
С другой стороны, работу восстанавливающего момента можно определить как

(2)

Приравняем (1) и (2). Тогда получим

и

, (3)

т.е. плечо динамической остойчивости равно определенному интегралу от плеча статической остойчивости.

Из формулы (3) следует, что

(4)

и

. (5)

Величину d можно получить также графически (рис. 1), если от точки К отложить по линии

величину а. Тогда расстояние будет характеризовать изменение расстояния по высоте между ЦТ и ЦВ, т. е.

По построению ,

где .

Окончательно:

. (6)

Если построить кривую d (θ), получится диаграмма динамической остойчивости, связанная с диаграммой статической остойчивости интегральной зависимостью (рис.2). Если на диаграмме динамической остойчивости провести при угле θ касательную к кривой d и отложитъ по горизонтали 1рад, получится плечо статической остойчивости l, соответствующее углу θ (рис.3).

 

 

Рис.1. Определение плеча d графическим путем

 

 

Рис.2.Диаграммы динамической и статической остойчивости при положительной h0

 

Рис.3. Определение 1(θ) по диаграмме динамической остойчивости




Поделиться с друзьями:


Дата добавления: 2015-06-04; Просмотров: 2837; Нарушение авторских прав?; Мы поможем в написании вашей работы!


Нам важно ваше мнение! Был ли полезен опубликованный материал? Да | Нет



studopedia.su - Студопедия (2013 - 2025) год. Все материалы представленные на сайте исключительно с целью ознакомления читателями и не преследуют коммерческих целей или нарушение авторских прав! Последнее добавление




Генерация страницы за: 0.012 сек.