Студопедия

КАТЕГОРИИ:


Архитектура-(3434)Астрономия-(809)Биология-(7483)Биотехнологии-(1457)Военное дело-(14632)Высокие технологии-(1363)География-(913)Геология-(1438)Государство-(451)Демография-(1065)Дом-(47672)Журналистика и СМИ-(912)Изобретательство-(14524)Иностранные языки-(4268)Информатика-(17799)Искусство-(1338)История-(13644)Компьютеры-(11121)Косметика-(55)Кулинария-(373)Культура-(8427)Лингвистика-(374)Литература-(1642)Маркетинг-(23702)Математика-(16968)Машиностроение-(1700)Медицина-(12668)Менеджмент-(24684)Механика-(15423)Науковедение-(506)Образование-(11852)Охрана труда-(3308)Педагогика-(5571)Полиграфия-(1312)Политика-(7869)Право-(5454)Приборостроение-(1369)Программирование-(2801)Производство-(97182)Промышленность-(8706)Психология-(18388)Религия-(3217)Связь-(10668)Сельское хозяйство-(299)Социология-(6455)Спорт-(42831)Строительство-(4793)Торговля-(5050)Транспорт-(2929)Туризм-(1568)Физика-(3942)Философия-(17015)Финансы-(26596)Химия-(22929)Экология-(12095)Экономика-(9961)Электроника-(8441)Электротехника-(4623)Энергетика-(12629)Юриспруденция-(1492)Ядерная техника-(1748)

Вычисление коэффициента ассоциации Пирсона при сравнении параллельных форм опросника




Примечание: 0 — несовпадение с «клю­чом»; 1 — совпадение с «ключом».

 

В случае, если данные представлены в виде частот совпадений событий в четы­рех возможных вариантах сочетания пе­ременных (табл. 8), коэффициент φ будет иметь вид:

 

Коэффициент φ удобен при расчете надежности ретестовой, а также анали­за устойчивости ответов на пункты (зада­ния) и степени их трудности, что особенно ценно при конструировании тестов. Применяя коэффициент φ и определив со­ответствие данных в сравниваемых сери­ях (тест—ретест), можно одновременно оценить степень оптимальности задания по силе (трудности) (см. Трудность заданий теста). Значение φ обратно про­порционально отношению частоты пра­вильных и неправильных ответов! Погра­ничные варианты (задачи, решаемые все­ми, и задачи чрезмерно сложные, решае­мые относительно небольшим числом об­следованных) обычно исключаются из те­ста как неинформативные и неустойчи­вые. Пороговой величиной неустойчи­вости пункта теста является превышение значения

 

Таблица 8

Вычисление четырехпольного коэффициента ассоциации Пирсона (ф)*

 

При анализе опросников личностных с дихотомической формой ответов («да»— «нет», «верно»—«неверно» и т. д.) состав­ляемая в ходе расчета коэффициента φ четырехклеточная матрица позволяет установить несимметричное распределе­ние утвердительных и отрицательных от­ветов.

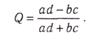
При анализе четырехклеточных ассо­циаций используется также коэффициент Юла:

Этот коэффициент, в отличие от φ, вы­ражает одностороннюю связь, т. е. влия­ние одного признака на другой (в при­мере из табл. 7 — влияние тестового ре­зультата на вывод об уровне развития). Значение Q варьирует от -1 до +1. При Q = 0 признаки независимы, Q = 1 свиде­тельствует о положительной зависимости (всем Х= 1 соответствует У= 1); При Q = -1 — связь отрицательная. В силу того что Q выражает одностороннюю связь, его значения обычно превышают значения φ (в примере φ = 0,36; Q - 0,67). В настоящем разделе рассмот­рены случаи определения корреляции двух дихотомических переменных. Когда одна из переменных дихотомическая, а другая выражена в шкале интервалов или отношений (см. Шкалы измеритель­ные), используются коэффициенты кор­реляции бисериальные (см. Корреляция бисериальная).

КОРРЕЛЯЦИОННЫЙ АНАЛИЗ -комплекс методов статистического иссле­дования взаимозависимости между пере­менными, связанными корреляционными отношениями. Корреляционными (лат. correlatio — соотношение, связь, зависи­мость) считаются такие отношения меж­ду переменными, при которых выступает преимущественно нелинейная их зависи­мость, т. е. значению любой произвольно взятой переменной одного ряда может со­ответствовать некоторое количество зна­чений переменной другого ряда, откло­няющихся в ту или иную сторону от среднего.

К. а. выступает в качестве одного из вспомогательных методов решения теоре­тических задач психодиагностики и вклю­чает в себя комплекс наиболее широко применяемых статистических процедур при разработке тестовых и других психо­диагностических методик, определения их надежности, валидности. К. а. явля­ется одним из основных методов статис­тической обработки эмпирического мате­риала в прикладных психодиагностичес­ких исследованиях.

Существующие процедуры К. а. поз­воляют определить степень значимости связи, установить меру и направление влияния одного из признаков (X) на ре­зультирующий признак (Y) при фиксиро­ванном значении отдельных переменных (корреляция частная), выявить степень и направленность связи результирующего признака (Y) с совокупностью перемен­ных x1, x2,..., xk (корреляция множе­ственная). К. а. подлежат как количе­ственные, так и качественные признаки (к первым относятся переменные, измеряе­мые в интервальной шкале и шкале отношений, ко вторым — не имеющие единиц измерения, оцениваемые шкалами наиме­нований и порядковыми шкалами) (см. Шкалы измерительные). Может быть также установлена корреляция и для при­знаков, один из которых является каче­ственным, а другие количественными (корреляция бисериальная, корреляция качественных признаков).

Одним из основных принципов опреде­ления количественных критериев корре­ляционной связи — коэффициентов кор­реляции — является сравнение величин отклонений от среднего значения по каж­дой группе в сопряженных парах сравни­ваемых рядов переменных. Другими сло­вами, определяется частота соответствия между шкалами X и Y. Предположим, один и тот же испытуемый получил высо­кие оценки по тесту вербальных способ­ностей 1) и показателям успеваемости по литературе (Y1). Тогда произведения отклонений и принимают высо­кие положительные значения. Если же большому х,1 у другого испытуемого будет соответствовать малое y 1 то это произве­дение будет отрицательным. Абсолютная величина произведения отклонений зави­сит от степени отклонения переменных от среднего значения в сравниваемых парах. Если X и У не имеют систематической связи (большие х сочетаются с малыми у и наоборот), различные произведения будут принимать положительные или отрицательные значения. Сумма произ­ведений во всех сравниваемых парах

 

будет приближаться к нулю. Сумма про­изведений в сравниваемых рядах переменных будет иметь большую величину по модулю и положительный знак, если X и У связаны между собой выраженной прямой зависимостью, и большую величи­ну и отрицательный знак при связи X и У сильной обратной зависимости.

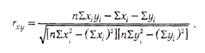
С целью достижения независимости меры корреляционной связи от числа сравниваемых пар и величин стандартных отклонений в двух группах произведение отклонений делится на число сравниваемых пар и стандартные отклонения в сопоставимых рядах. Такая мера носит на­звание коэффициента корреляции — про­изведения моментов Пирсона:

 

где xt и y1, — сравниваемые количествен­ные признаки, п — число сравниваемых наблюдений, σх и σу — стандартные от­клонения в сопоставимых рядах. Расчет­ная формула rху имеет следующий вид:

 

При вычислении коэффициента Пир­сона, особенно при большом количестве наблюдений, целесообразно упрощение за счет различных приемов, сокращаю­щих объем вычислений. В качестве при­мера приводим расчет результатов двух тестов в группе из 10 обследованных (табл. 9).

 

Таблица9

Вычисление коэффициента корреляции произведения моментов Пирсона (rху)

 

 

Определение статистической зависи­мости коэффициента rху проводится с по­мощью критерия Стьюдента (t):

 

где п' — число степеней свободы (n ' = п - 2). По таблице распределения Стью­дента для п' = 8 находим t = 2,896 при α = 0,02 и t = 2,306 при α = 0,05. Отсюда статистическая значимость установленного значения корреляции признаков на уровне α > 0,02.

При возведении коэффициента корре­ляции Пирсона в квадрат получаем коэф­фициент детерминации r2ху, выражаю­щий степень вариации переменных. В на­шем примере r2ху = 0,48, что свидетель­ствует о том, что 48% измерений призна­ков объясняются их совместным распре­делением (взаимовлиянием).

КОРРЕЛЯЦИЯ БИСЕРИАЛЬНАЯ (лат. bis series — два ряда, две серии) — метод корреляционного анализа отноше­ния переменных, одна из которых измере­на в дихотомической шкале наименова­ний, а другая — в интервальной шкале отношений или порядковой шкале. Назва­ние метода связано с тем, что сравнивают­ся две альтернативные серии объектов X, имеющие условные значения 0 или 1 по У.

Наиболее характерно применение ко­эффициентов К. б. в психологической диагностике при анализе дискриминативности заданий теста, а также при определении валидности критериаль­ной путем коррелирования значений тес­товых оценок с независимыми характе­ристиками критерия, выраженными в ди­хотомической шкале (см. Шкалы изме­рительные).

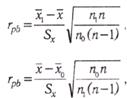
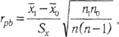
Для описания связи между перечис­ленными видами переменных исполь­зуется точечный бисериальный коэффи­циент корреляции Пирсона:

 

где — среднее по X объектов со значе­нием единицы по У; — среднее по X объектов со значением нуль по Y; Sx — стандартное отклонение всех значений по X; n1 — число объектов, с единицей по Y: n0 — число объектов с нулем по Y, т. е. п = п1 + n0. Уравнение для вычисления rpb представляет собой алгебраическое упрощение формулы коэффициента rху (см. Корреляционный анализ) для слу­чая, когда Y — дихотомическая перемен­ная. Можно привести ряд других эквива­лентных выражений, удобных для прак­тического применения:

 

где х — общее среднее по X.

Значение rpb варьирует от -1 до +1. В том случае, когда переменные с единицей по У имеют среднее по X, равное средне­му переменных с нулем по У, r рb обраща­ется в нуль.

В качестве примера можно привести вычисление rpь при анализе дискриминативности отдельных пунктов опросника личностного, т. е. корреляции между ти­пичным ответом на отдельный пункт (утверждение—отрицание) с общим резуль­татом по тесту (табл. 10).

Вычисленное таким образом значение rpb показывает, что проверяемый пункт опросника имеет среднюю диагностичес­кую значимость и слабо коррелирует с об­щим результатом теста.

Достоверность (α) связи, рассчитан­ной с помощью коэффициента rpb, может определяться с помощью критерия χ2 для числа степеней свободы df = 2.

Другим распространенным методом расчета является определение бисериального коэффициента корреляции (rbis), ко­торый применяется в тех случаях, когда есть основания полагать, что дихотомическое распределение близко к нормаль­ному:

 

Элементы уравнения идентичны ис­пользуемым при вычислении rpb, за исключением величины U — ординаты нормированного нормального распре­деления в точке, за которой лежит площади под кривой (см. Нормальное распределение). Из данных табл. 9 = = 0,61; ордината нормированного (единичного) нормального рас­пределения (U), за которой лежит 61% площади под кривой, равна 0,3836.

 

Таблица 10




Поделиться с друзьями:


Дата добавления: 2015-06-04; Просмотров: 3728; Нарушение авторских прав?; Мы поможем в написании вашей работы!


Нам важно ваше мнение! Был ли полезен опубликованный материал? Да | Нет



studopedia.su - Студопедия (2013 - 2025) год. Все материалы представленные на сайте исключительно с целью ознакомления читателями и не преследуют коммерческих целей или нарушение авторских прав! Последнее добавление




Генерация страницы за: 0.01 сек.