Студопедия

КАТЕГОРИИ:


Архитектура-(3434)Астрономия-(809)Биология-(7483)Биотехнологии-(1457)Военное дело-(14632)Высокие технологии-(1363)География-(913)Геология-(1438)Государство-(451)Демография-(1065)Дом-(47672)Журналистика и СМИ-(912)Изобретательство-(14524)Иностранные языки-(4268)Информатика-(17799)Искусство-(1338)История-(13644)Компьютеры-(11121)Косметика-(55)Кулинария-(373)Культура-(8427)Лингвистика-(374)Литература-(1642)Маркетинг-(23702)Математика-(16968)Машиностроение-(1700)Медицина-(12668)Менеджмент-(24684)Механика-(15423)Науковедение-(506)Образование-(11852)Охрана труда-(3308)Педагогика-(5571)Полиграфия-(1312)Политика-(7869)Право-(5454)Приборостроение-(1369)Программирование-(2801)Производство-(97182)Промышленность-(8706)Психология-(18388)Религия-(3217)Связь-(10668)Сельское хозяйство-(299)Социология-(6455)Спорт-(42831)Строительство-(4793)Торговля-(5050)Транспорт-(2929)Туризм-(1568)Физика-(3942)Философия-(17015)Финансы-(26596)Химия-(22929)Экология-(12095)Экономика-(9961)Электроника-(8441)Электротехника-(4623)Энергетика-(12629)Юриспруденция-(1492)Ядерная техника-(1748)

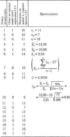
Вычисление точечного бисериального ко­эффициента корреляции Пирсона




Примечание: 1 — совпадение с «клю­чом»; 0 — несовпадение с «ключом».

 

В отличие от других коэффициентов корреляции, rbis может принимать значе­ния ниже -1 и выше +1. В случае попада­ния значения в эти области делается вы­вод о некорректности предположения о нормальном законе распределения X или о распределении значений X в выборке с эксцессом значительно ниже нормаль­ного. Следует обратить внимание на то обстоятельство, что при распределении переменных X с эксцессом больше нор­мального границы rbis будут соответствен­но меньше пределов -1 и +1, что приве­дет к переоценке степени связи. Это требует тщательной проверки свойств распределения при использовании бисе­риального коэффициента корреляции.

При вычислении rpb и rbis оперируют одинаковыми исходными данными, однако эти коэффициенты не тождественны. Ко­эффициент rpb более строг при характери­стике степени связи между X и Y (rbis > rpb). Случаи, когда одна из перемен­ных представлена в дихотомической шка­ле, а другая — в порядковой, требуют применения коэффициента рангово-бисериальной корреляции

 

где — средний ранг объектов, имею­щих 1 по X; — средний ранг объектов с 0 по X. Пример вычислений приведен в табл. 11. Коэффициент rrb тесно связан с коэффициентом τ Кендалла. Особенно четко эта связь прослеживается при анализе корреляционной связи с помощью близкого к rrb коэффициента rpb в случае использования для его определения поня­тия совпадения и инверсии (см. Корреля­ция ранговая):

 

где n0 — число объектов с нулевой дихотомией; п1 — число объектов с еди­ничной дихотомией; Р — сумма совпаде­ний; Q — сумма инверсий.

 

Таблица 11

Вычисление рангово-бисериальной корреляции rrb при сопоставлении результатов теста у девочек(1) и мальчиков(О)

При оценке значимости связи можно использовать критерий Стьюдента:

 

При количестве степеней свободы п' = п - 2 = 8tкp = 2,306, при α = 0,05; t > tкp, следовательно, при α < 0,05 выявленная связь является статистичес­ки значимой.

 

КОРРЕЛЯЦИЯ КАЧЕСТВЕННЫХ ПРИЗНАКОВ — метод анализа связи переменных, измеряемых в порядковых шкалах и шкалах наименований (см. Шкалы измерительные). Наиболее часто такой корреляционный анализ прово­дят с помощью коэффициентов корреля­ции ранговой, используемых в случаях, когда обе переменные измеряются в шка­лах порядка или легко могут быть преоб­разованы в ранги. При измерении сравни­ваемых переменных в шкалах наименова­ний широко применяются коэффициенты сопряженности, в которых в качестве про­межуточной расчетной величины исполь­зуется критерий согласия Пирсона (см. Критерий χ 2). Наиболее часто в таких расчетах пользуются коэффициентом со­пряженности Пирсона:

 

Значение Р всегда положительно и из­меряется от нуля до единицы. Особеннос­тью коэффициента сопряженности Пир­сона является то, что максимальное его значение всегда меньше +1 и в значительной степени зависит от количества на­блюдений (размера таблицы). В случае квадратной таблицы (k ´ k)

 

Так, в таблице размером (5 х 5) Pmах = = 0,894; в таблице (10 х 10) Pmах = 0,949. Поэтому окончательной формой выраже­ния связи между переменными с помо­щью коэффициента Пирсона является его отношение к величине Рmах для данного случая (Р/Рmах).

При расчете сопряженности находит применение также коэффициент Чупрова:

 

где t — число столбцов таблицы, k — чис­ло строк таблицы.

В психологической диагностике опи­санные коэффициенты используются от­носительно редко.

КОРРЕЛЯЦИЯ РАНГОВАЯ — метод корреляционного анализа, отражающий отношения переменных, упорядоченных по возрастанию их значения. Наиболее часто К. р. применяется для анализа свя­зи между признаками, измеряемыми в по­рядковых шкалах (см. Шкалы измери­тельные), а также как один из методов определения корреляции качественных признаков. Достоинством коэффициен­тов К. р. является возможность их ис­пользования независимо от характера распределения коррелирующих призна­ков.

В практике наиболее часто применя­ются такие ранговые меры связи, как ко­эффициенты К. р. Спирмена и Кендалла. Первым этапом расчета коэффициентов К. р. является ранжирование рядов переменных. Процедура ранжирования начи­нается с расположения переменных по возрастанию их значений. Разным значе­ниям присваиваются ранги, обозначае­мые натуральными числами. Если встречаются несколько равных по значению пе­ременных, им присваивается усреднен­ный ранг (табл. 12).

 

Таблица 12

Ранжирование распределения показателей теста (л = 18)

 

 

В табл. 13 приведены данные для рас­чета коэффициентов К. р. Во второй гра­фе представлены ранжированные пока­затели по первому из сравниваемых рас­пределений (оценка IQ, в третьей гра­фе — соответствующие им данные теста зрительной памяти).

 

Таблица 13




Поделиться с друзьями:


Дата добавления: 2015-06-04; Просмотров: 3625; Нарушение авторских прав?; Мы поможем в написании вашей работы!


Нам важно ваше мнение! Был ли полезен опубликованный материал? Да | Нет



studopedia.su - Студопедия (2013 - 2025) год. Все материалы представленные на сайте исключительно с целью ознакомления читателями и не преследуют коммерческих целей или нарушение авторских прав! Последнее добавление




Генерация страницы за: 0.013 сек.