Студопедия

КАТЕГОРИИ:


Архитектура-(3434)Астрономия-(809)Биология-(7483)Биотехнологии-(1457)Военное дело-(14632)Высокие технологии-(1363)География-(913)Геология-(1438)Государство-(451)Демография-(1065)Дом-(47672)Журналистика и СМИ-(912)Изобретательство-(14524)Иностранные языки-(4268)Информатика-(17799)Искусство-(1338)История-(13644)Компьютеры-(11121)Косметика-(55)Кулинария-(373)Культура-(8427)Лингвистика-(374)Литература-(1642)Маркетинг-(23702)Математика-(16968)Машиностроение-(1700)Медицина-(12668)Менеджмент-(24684)Механика-(15423)Науковедение-(506)Образование-(11852)Охрана труда-(3308)Педагогика-(5571)Полиграфия-(1312)Политика-(7869)Право-(5454)Приборостроение-(1369)Программирование-(2801)Производство-(97182)Промышленность-(8706)Психология-(18388)Религия-(3217)Связь-(10668)Сельское хозяйство-(299)Социология-(6455)Спорт-(42831)Строительство-(4793)Торговля-(5050)Транспорт-(2929)Туризм-(1568)Физика-(3942)Философия-(17015)Финансы-(26596)Химия-(22929)Экология-(12095)Экономика-(9961)Электроника-(8441)Электротехника-(4623)Энергетика-(12629)Юриспруденция-(1492)Ядерная техника-(1748)

Совместная работа мотовила с режущим аппаратом




Технологический процесс, осуществляемый жаткой, может быть выполнен с меньшими потерями урожая, если возможно большее количество растений будет захвачено граблинами мотовила, поднято и подведено к режущему аппарату, удержано в момент резания и отброшено к шнеку. К сожалению, не все стебли растений подводятся планками к режущему аппарату и удерживаются в момент их среза, так как число планок и частота вращения мотовила ограниченны. Взаимодействие мотовила с ножом может быть охарактеризовано величиной пучка стеблей Dх, фазами работы режущего аппарата с участием мотовила s1, холостой работой ножа s2 и работой ножа без участия мотовила s3 (рис. 5).

Иногда для оценки работы мотовила определяют относительную продолжительность фаз совместной работы:

h1 = s1 100/xz;

h2 = s2 100/xz;

h3 = s3 100/xz. (8)

Рис. 5. Схема определения фаз совместной работы мотовила с ножом при нормальной установке мотовила (без выноса вперед)

Определение величины пучка стеблей, захватываемых планкой

Из схемы (рис. 3) следует, что

Dх = х1 - х2,

где x1 - координата конца планки мотовила в момент входа в хлебную массу;

x2 - координата планки в момент начала резания, в случае, когда мотовило установлено над линией ножа;

x1 = VM × t1 + Rcosj1,

x2 = VM . t2 + Rcosj2.

Учитывая, что

VM = wR/l, sinj1 = 1/l,

а, следовательно,

,

и что j2 = p/2, можно получить:

;

,

тогда

.

Если обозначить

, (9)

то

. (10)

Таким образом, величина пучка, захватываемого планкой, будет возрастать с увеличением радиуса мотовила и кинематического показателя l(чем больше l, тем шире петля трохоиды).

Определение фазы s1. Из рис. 5 следует, что

, (11)

где Dt - время перерезания пучка стеблей, захваченных планкой;

Dj - угол поворота мотовила за время среза стеблей.

С другой стороны,

s1 = mp - mк = Dх - h×tg Q= (R × S/l) – h × tg Q. (12)

Приравнивая правые части равенства (1.11) и (1.12), можно получить

. (13)

Данное уравнение связывает две неизвестные величины Dj и Q. Их можно объединить еще одним соотношением. Из DО1С1В1 по теореме синусов следует:

,

или

тогда

. (14)

Если синус суммы двух углов представить в развернутом виде, то

.

Разделив правую и левую части уравнения на cos Q, можно определить Q:

.

Откуда

. (15)

После подстановки найденного значения tg Q в формулу (13) получается уравнение с одним неизвестным:

,

или

. (16)

Решив уравнение относительно Dj, можно найти величину s1 по соотношению 11. Сумма фаз s1 и s2 составляет (рис.5) пучок Dх, поэтому

. (17)

Наконец, фаза работы ножа без участия мотовила:

. (18)

Таким образом, определены все величины, которые могут быть, использованы для характеристики совместной работы мотовила с ножом при нормальной установке мотовила.

 

Пример расчета

 

Обосновать основные параметры и технологические показатели работы мотовила для следующих исходных данных:

Объект уборки – зерновые культуры

l min = 35 см; l max = 150 см; hmin = 10 см; hmax = 20 см; Vм = 5 км/ч.

 

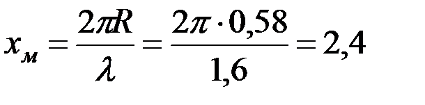
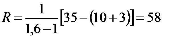
1. Радиус мотовила

Кинематический показатель l при нормальных условиях работы равен 1,5…1,7, пусть l = 1,6.

DН – минимальный зазор между планкой и ножом, DН = 2..3 см.

см.

2. Пределы установки мотовила по высоте

м.

м.

3. Частота вращения мотовила

м/с,

поскольку , то мин-1.

4. Путь машины за время оборота мотовила

м.

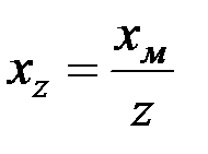
5. Шаг следований петель трохоиды ,

где z – число планок мотовила (обычно 5…6), пусть z = 6.

м.

6. Пучок стеблей и фазы совместной работы желательно найти графически, а затем сравнить с результатами расчетов на ЭВМ.

Рекомендуемый масштаб 1:20, схема разместится на тетрадном листе (рис. 6)

 

Рис. 6 Графический метод построения траекторий и характеристик работы мотовила

Порядок построения:

а). изобразить окружность радиусом R, разбить ее на 12 частей (1, 2,…12);

б). вдоль горизонтального диаметра отложить отрезок хм и разбить на 12 частей (1¢, 2¢, 3¢ и т.д.);

в). из точек 1¢, 2¢…12¢ циркулем с раствором R сделать засечки на горизонталях, проводимых через точки 1, 2, 3…12;

г). соединив точки пересечений можно построить траекторию;

д). выбрать характерную для региона высоту растений (0,6…0,8 м) и в масштабе отложить это расстояние от точки петли трохоиды, соответствующей максимальной хорде вертикально вниз. Нижняя точка отрезка определит уровень поверхности поля на чертеже.

е). определить горизонтальную линию, по которой будет перемещать нож (h = 10…20 см) в зависимости от высоты стеблестоя;

ж). построить траекторию соседней планки аналогично пункту «в»;

и). измерить величину пучка стеблей и приближенное значение фаз совместной работы мотовила с ножом s1, s2, s3 и соответствующие значения относительных показателей h1,h2,h3.

7. Более сложные модели взаимодействия мотовила со стеблями и ножом (с учетом выноса мотовила за линию ножа, полеглости и густоты стеблестоя) можно рассмотреть в источниках [1, 2] или путем проведения вычислительного эксперимента по компьютерной программе «Motovilo».

8. В отчете указать влияние основных факторов на повышение степени полезности мотовила в виде конкретных значений.

 

Литература

 

1. Б.Г. Турбин и др. Сельскохозяйственные машины. Л.: Машиностроение, 1967, - 583 с.

2. А.Ф. Кошурников и др. Анализ технологических процессов, выполняемых сельскохозяйственными машинами, с использованием ЭВМ. Часть 2. Пермь, 1998, 370 с.


 




Поделиться с друзьями:


Дата добавления: 2015-06-04; Просмотров: 2021; Нарушение авторских прав?; Мы поможем в написании вашей работы!


Нам важно ваше мнение! Был ли полезен опубликованный материал? Да | Нет



studopedia.su - Студопедия (2013 - 2025) год. Все материалы представленные на сайте исключительно с целью ознакомления читателями и не преследуют коммерческих целей или нарушение авторских прав! Последнее добавление




Генерация страницы за: 0.008 сек.