Студопедия

КАТЕГОРИИ:


Архитектура-(3434)Астрономия-(809)Биология-(7483)Биотехнологии-(1457)Военное дело-(14632)Высокие технологии-(1363)География-(913)Геология-(1438)Государство-(451)Демография-(1065)Дом-(47672)Журналистика и СМИ-(912)Изобретательство-(14524)Иностранные языки-(4268)Информатика-(17799)Искусство-(1338)История-(13644)Компьютеры-(11121)Косметика-(55)Кулинария-(373)Культура-(8427)Лингвистика-(374)Литература-(1642)Маркетинг-(23702)Математика-(16968)Машиностроение-(1700)Медицина-(12668)Менеджмент-(24684)Механика-(15423)Науковедение-(506)Образование-(11852)Охрана труда-(3308)Педагогика-(5571)Полиграфия-(1312)Политика-(7869)Право-(5454)Приборостроение-(1369)Программирование-(2801)Производство-(97182)Промышленность-(8706)Психология-(18388)Религия-(3217)Связь-(10668)Сельское хозяйство-(299)Социология-(6455)Спорт-(42831)Строительство-(4793)Торговля-(5050)Транспорт-(2929)Туризм-(1568)Физика-(3942)Философия-(17015)Финансы-(26596)Химия-(22929)Экология-(12095)Экономика-(9961)Электроника-(8441)Электротехника-(4623)Энергетика-(12629)Юриспруденция-(1492)Ядерная техника-(1748)

Механизмы привода режущих аппаратов и их характеристика




2.2.1. Кривошипно-шатунный механизм

 

Привод ножа у большинства уборочных машин осуществляется кривошипно-шатунным механизмом. Встречаются различные виды этого механизма: плоский ‑ у зерноуборочных комбайнов, пространственный ‑ у косилок, так как брус косилки может совершать колебания не только в вертикально-поперечной плоскости, но и в горизонтальной (до начала работы носок наружного башмака выносят вперед относительно внутреннего). Кроме того, кривошипно-шатунные механизмы делят на центральные (аксиальные), когда ось кривошипного вала лежит на линии движения ножа, и смещенные (дезаксиальные), у которых ось кривошипного вала располагают выше линии движения ножа.

В последнее время для привода режущих аппаратов начали применять и ряд других механизмов: качающуюся шайбу, качающуюся вилку (рис. 2), планетарный механизм, гидропривод, некруглые зубчатые колеса и др.

Применение новых механизмов чаще всего связано со стремлением уменьшить вибрацию машины, возникающую от возвратно-поступательного движения ножа, за счет уменьшения ускорения движущихся масс.

Для обоснования применимости того или иного механизма привода ножа прежде всего необходимо провести анализ кинематических характеристик, таких, как величины перемещений, скоростей и ускорений режущего аппарата в различные моменты процесса резания.

Наиболее простым механизмом, как с точки зрения устройства, так и метода математического описания работы, является плоский центральный кривошипно-шатунный механизм (рис. 2).

 

 

Рис. 2. Механизмы привода ножа: а ‑ кривошипно-шатунный аксиальный плоский; б ‑ кривошипно-шатунный дезаксиальный пространственный; в ‑ кривошипно-шатунный дезаксиальный плоский; г ‑ с некруглыми зубчатыми колесами; д ‑ гидравлический; е ‑ качающаяся шайба; ж ‑ качающаяся вилка

 

При малом значении отношения радиуса кривошипа r к длине шатуна l движение ножа может быть описано уравнениями гармонического колебания:

;

;

. (2)

Максимальное значение скорости ножа соответствует окружной скорости кривошипа:

,

а ускорение

Рис. 3. Кинематические характеристики ножа

Как уже было отмечено, скорость ножа имеет большое технологическое значение. Если скорость ножа мала, срез затруднен, а растения затягиваются в зазор между сегментом и вкладышем пальца. Это явление может иметь место в момент разгона и остановки ножа в каждом цикле колебания. Чтобы устранить этот недостаток, пальцы у большей части аппаратов располагают достаточно редко, чтобы нож к моменту начала резания уже прошел определенный путь xi (рис. 4) и успел разогнаться до необходимой скорости.

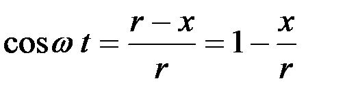
Для определения скорости начала и конца резания у пальцев режущего аппарата уравнение (2) лучше представить в функции от перемещения ножа х, а не угла поворота кривошипа w • t.

Из первого уравнения можно найти величину

.

Рис. 4. График скоростей ножа в зависимости от перемещения

 

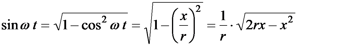
По величине cos wt легко определится синус этого угла:

.

Подставляя sin wt в выражение для Vx, можно получить

. (3)

Аналогично находят и уравнение для определения ускорения:

. (4)

Графически зависимости (3) и (4) представлены на рис. 3, причем ускорение меняется в этих координатах по линейной зависимости, а скорость ‑ в определенном масштабе по дуге окружности.

В самом деле, если рассмотреть величину

у = Vx/w

(часто говорят, что это скорость ножа в масштабе w), то

;

у2 = 2rх‑ х2;

х2 + у2 = 2rх.

Если центр координат графика y¢ = Vx/w перенести на расстояние r вправо от исходного положения ножа (точки А0), т. е.

х' = r ‑ х,

то

(r - х')2 + (у¢)2 = 2r(r - х');

r2 – 2rх' + (х')2 + (у¢)2 = 2r2 – 2rх'; (х')2 + (у¢)2 = r2;

иначе говоря, в новой системе координат получена окружность радиусом r.

Построение такой окружности используют при графическом определении скорости ножа при любом перемещении, заданном величиной х или х' (рис. 4).

Таким образом, скорость ножа в период резания является величиной переменной, изменяющейся в довольно широких пределах. Так как в основном стебли перерезаются сегментом у кромки пальцев, то скорость резания будет зависеть от шага размещения сегментов и пальцев, т. е. от типа анализируемого режущего аппарата.

Известно, что в зависимости от соотношения шага режущей и противорежущей частей аппараты подразделяют на несколько типов (рис. 5). Прежде всего это аппараты нормального резания: однопробежные, где t = t0 = S (рис. 5а), двухпробежные, у которых S = 2t = 2t0, низкого резания, когда S = t = 2t0, и среднего резания, при S = t = 4t0/3.

У аппарата нормального резания (однопробежного) скорость начала резания определится величиной хода ножа хн (рис. 6), когда нижняя рабочая точка лезвия А (перемещающаяся перед упорным отростком пальца) коснется противорежущей пластины в точке А1 На рис. 6а видно, что

 

Рис. 5. Типы режущих аппаратов

Рис. 6. Определение скоростей ножа в моменты начала и конца резания

 

. (5)

Конец резания наступит тогда, когда вершина лезвия (точка В0) подойдет к кромке пальца и окажется в точке В2:

. (6)

Для двухпробежного аппарата перемещение ножа в момент начала резания у среднего пальца х равняется

. (7)

В момент начала резания у крайнего пальца это расстояние увеличится на шаг размещения пальцев, т. е.

. (8)

В момент конца резания у среднего пальца

, (9)

а у крайнего пальца

x = 2 t 0 - (b + b 1)/2. (10)

У аппарата низкого резания (рис. 6б) в момент начала резания у среднего пальца, как в предыдущих случаях,

, (11)

а у крайнего пальца

x = t - (а + а 1)/2. (12)

В момент конца резания у среднего пальца

x lк = t 0 - (b + b 1)/2, (13)

а у крайнего пальца

x = t - (b + b 1)/2. (14)

Для аппаратов среднего резания характерными оказываются следующие соотношения:

; (15)

x = 2 t 0t – (а + а 1)/2; (16)

; (17)

x = 2 t 0t – (b + b 1)/2. (18)

 

Подставляя найденные значения хн и хк в уравнение (3), можно найти величину скорости начала и конца резания растений аппаратами различных типов.

В контрольном примере произведен расчет скорости начала и конца резания для всех типов режущих аппаратов с возвратно- поступательным движением ножа. Исходные данные учитывают особенности размеров каждого типа аппарата.

Анализ результатов показывает, что у режущих аппаратов, с приводом от кривошипно-шатунного механизма наблюдается значительная разница между скоростью Vmax в середине хода и в граничных точках участка резания. Поэтому требуемую для резания скорость (2,8....3 м/с) не всегда удается обеспечить на протяжении всего процесса резания.

В то же время стремление обеспечить требуемую технологией резания скорость ножа в период среза всех растений приводит к завышению ее в середине хода и особенно к росту ускорений и связанных с ними сил инерции. Изыскание оптимальных кинематических диаграмм скорости и ускорения ножа, соответствующих одному его ходу, сводится к нахождению функции скорости с максимальным значением на участке резания и минимального значения функции ускорения на всем участке движения. Такая задача вариационного типа была решена следующим образом: рациональный привод ножа должен обеспечить кинематический режим, при котором график изменения скорости лезвия имеет вид равнобедренной трапеции (скорость ножа на всем участке резания остается постоянной, а ускорение минимально).

На рис. 7 построены оптимальные кинематические диаграммы перемещений x = f(wt), скоростей V = f(wt) и ускорений

j = f(wt), соответствующие одному обороту ведущего звена.

Наряду с кривошипно-шатуппым механизмом (см. рис. 2), для привода режущего аппарата применяются механизмы качающейся шайбы, качающейся вилки, некруглые зубчатые колеса и т. д. Анализ кинематических характеристик этих механизмов можно провести в сравнении с рассмотренным уже кривошипно-шатунным с точки зрения степени приближения их к оптимальному виду (программа «Резание» (Rezanie)).

Рис. 7. Оптимальные кинематические диаграммы ножа

2.3. Диаграмма движения сегмента

 

Сегмент режущего аппарата участвует в сложном движении. Оно складывается из относительного движения (уравнение 2.22) и переносного вместе с машиной со скоростью VM, определяемого уравнением

у = Vм × t. (19)

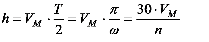
Путь, проходимый за один ход ножа или за половину оборота кривошипа, называется подачей и определяется, как

, (20)

где Т ‑ период колебания ножа; п ‑ частота колебаний.

Из уравнения (2.62) можно получить

. (21)

Подача h может явиться и характеристикой w, а еще точнее - отношения w/VM:

. (22)

Из уравнения переносного движения (19) получают

t = у /Vм.

Подставляя t в уравнение относительного движения ножа (22), находят закономерность движения сегмента:

. (23)

Следовательно, траектория любой точки ножа представляет собой косинусоиду.

Если из характерных точек (вершины и основания) сегмента провести косинусоиды при прямом и обратном ходе ножа, то поверхность поля покроется площадками, по которым пробегают рабочие лезвия ножей. В сочетании с траекториями движения пальцев (а это ‑ прямые линии, отстоящие от оси пальцев на расстоянии b и параллельные оси у) эти площадки представляют собой диаграмму движения сегмента (рис. 8).

Как видно из рис. 8, не вся поверхность поля пробегается лезвиями ножа. Незаштрихованный участок от точки Е до F не попадает в зону траекторий точек лезвия. Стебли, расположенные на этой площадке, будут отогнуты вперед противорежущим брусом и окажутся срезанными в точке F при обратном движении сегмента. Иначе говоря, стебли на участке от точки Е до F будут срезаны после продольного отгиба. Максимальная величина отгиба qпрод равна отрезку EF. Если учесть, что нож расположен на высоте Н от поверхности поля, то высота стерни Lпрод может быть определена по теореме Пифагора:

. (24)

На заштрихованном участке траектории лезвия стебли будут наклонены движущимся сегментом в сторону и окажутся перерезанными у противорежущей кромки ближайшего пальца. Этот отгиб называют поперечным. Максимальная величина поперечного отгиба может быть представлена в виде отрезка MN, если стебель, находящийся в точке М, пальцем будет отклонен влево по ходу движения машины. Если учесть, что стебель обладает некоторыми упругими свойствами, то можно предположить возможность его скольжения относительно лезвия. В этом случае отгиб стебля произойдет под минимально возможным углом Qmin к оси х.

Рис. 8. Диаграмма движения сегмента

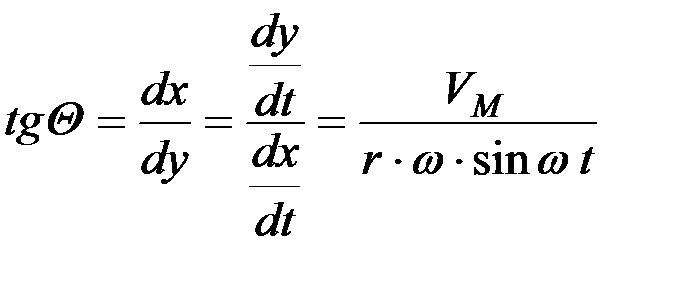
Поскольку движение сегмента может быть описано, как

,

то угол наклона касательной к траектории по отношению к оси х окажется равном

Наименьшее значение угла Qmin окажется при wt = p/2, значит, tg Qmin = VM/(rw).

Если учесть, что по уравнению (22)

,

то

(25)

После определения Qmin нахождение длины отрезка MN и Lпопер не составляет труда,

.

В свою очередь,

.

Тогда

. (26)

Высота стерни после поперечного отгиба будет равна

. (27)

Величина продольного отгиба может быть определена аналитически:

. (28)

По уравнению (23),отнесенному к осям х и у,

.

Прямая KN, проведенная параллельно оси у на расстоянии

х1 = r+b,

пересечет косинусоиду в нескольких точках, в том числе и в точке F:

,

.

Срез растений в точке F произойдет, когда вал кривошипа повернется на угол

p < wt < 1.5p,

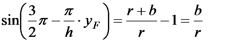
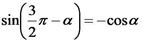
т. е. wt будет в третьей четверти угла поворота. Из тригонометрии известно, что в третьей четверти для любого произвольного угла a

.

Для рассматриваемого случая это будет означать

,

тогда

.

Учитывая, что xF = x 1 = r + b, можно получить

Отсюда

,

т. е.

. (29)

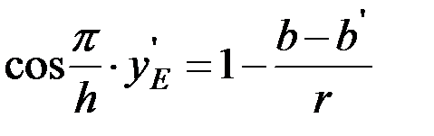
Чтобы определить координату уЕ точки Е, необходимо заметить, что ветвь косинусоиды СЕ является такой же, что и косинусоиды, выходящей из начала координат О, но сдвинутой вверх на высоту сегмента h' и вправо на r+b', где b' ‑ половина верхнего основания сегмента. Если за начало этой косинусоиды принять точку О', то косинусоида СЕ будет записана в той же форме, что и выходящая из точки О, т. е.

.

Координата у¢Е, очевидно, найдется для того значения х¢Е, которое соответствует удалению кромки KN пальца от оси о'у:

,

тогда

,

,

Учитывая, что

yE = yE + h/,

можно найти

,

или

. (30)

Высота стерни после продольного отгиба определяется так:

. (31)

 




Поделиться с друзьями:


Дата добавления: 2015-06-04; Просмотров: 4829; Нарушение авторских прав?; Мы поможем в написании вашей работы!


Нам важно ваше мнение! Был ли полезен опубликованный материал? Да | Нет



studopedia.su - Студопедия (2013 - 2025) год. Все материалы представленные на сайте исключительно с целью ознакомления читателями и не преследуют коммерческих целей или нарушение авторских прав! Последнее добавление




Генерация страницы за: 0.008 сек.