Студопедия

КАТЕГОРИИ:


Архитектура-(3434)Астрономия-(809)Биология-(7483)Биотехнологии-(1457)Военное дело-(14632)Высокие технологии-(1363)География-(913)Геология-(1438)Государство-(451)Демография-(1065)Дом-(47672)Журналистика и СМИ-(912)Изобретательство-(14524)Иностранные языки-(4268)Информатика-(17799)Искусство-(1338)История-(13644)Компьютеры-(11121)Косметика-(55)Кулинария-(373)Культура-(8427)Лингвистика-(374)Литература-(1642)Маркетинг-(23702)Математика-(16968)Машиностроение-(1700)Медицина-(12668)Менеджмент-(24684)Механика-(15423)Науковедение-(506)Образование-(11852)Охрана труда-(3308)Педагогика-(5571)Полиграфия-(1312)Политика-(7869)Право-(5454)Приборостроение-(1369)Программирование-(2801)Производство-(97182)Промышленность-(8706)Психология-(18388)Религия-(3217)Связь-(10668)Сельское хозяйство-(299)Социология-(6455)Спорт-(42831)Строительство-(4793)Торговля-(5050)Транспорт-(2929)Туризм-(1568)Физика-(3942)Философия-(17015)Финансы-(26596)Химия-(22929)Экология-(12095)Экономика-(9961)Электроника-(8441)Электротехника-(4623)Энергетика-(12629)Юриспруденция-(1492)Ядерная техника-(1748)

Пример 1. В процессе тренинга сенситивности в группе из 14 человек вы­полнялось упражнение Психологический прогноз




В процессе тренинга сенситивности в группе из 14 человек вы­полнялось упражнение "Психологический прогноз". Все участники должны были пристально вглядеться в одного и того же человека, ко­торый сам пожелал быть испытуемым в этом упражнении. Затем каж­дый из участников задавал испытуемому вопрос, предполагавший два заданных варианта ответа, например: "Что в тебе преобладает: отстра­ненная наблюдательность или включенная эмпатия?" "Продолжал бы ты работать или нет, если бы у тебя появилась материальная возмож­ность не работать?" "Кто тебя больше утомляет - люди нахальные или занудные?" и т. п. Испытуемый должен был лишь молча выслушать вопрос, ничего не отвечая. Во время этой паузы участники пытались определить, как он ответит на данный вопрос, и записывали свои про­гнозы. Затем ведущий предлагал испытуемому дать ответ на заданный вопрос. Теперь каждый участник мог определить, совпал ли его про­гноз с ответом испытуемого или нет. После того, как было задано 14 вопросов (13 участников + ведущий), каждый сообщил, сколько у него получилось точных прогнозов. В среднем было по 7-8 совпадений, но у одного из участников их было 12, и группа ему спонтанно зааплодиро­вала. У другого участника, однако, оказалось всего 4 совпадения, и он был очень этим огорчен.

Имела ли группа статистические основания для аплодисментов?

Имел ли огорченный участник статистические основания для грусти?

Начнем с первого вопроса.

По-видимому, группа будет иметь статистические основания для аплодисментов, если частота правильных прогнозов у участника А пре­высит теоретическую частоту случайных угадываний. Если бы участник прогнозировал ответ испытуемого случайным образом, то, в соответст­вии с теорией вероятностей, шансы случайно угадать или не угадать ответ на данный вопрос у него были бы равны P=Q=0,5. Определим теоретическую частоту правильных случайных угадываний:

f теор=n· P

где n - количество прогнозов;

Р - вероятность правильного прогноза при случайном угадывании.

f теор=14-0,5=7

Итак, нам нужно определить, "перевешивают" ли 12 реально данных правильных прогнозов 7 правильных прогнозов, которые могли бы быть у данного участника, если бы он прогнозировал ответ испы­туемого случайным образом.

Требования, предусмотренные ограничением 3, соблюдены: Р=0,50; f эмп> f теор. Данный случай относится к варианту "В" Табл. 5.12.

Мы можем сформулировать гипотезы.

H0: Количество точных прогнозов у участника А не превышает часто­ты, соответствующей вероятности случайного угадывания.

H1: Количество точных прогнозов у участника А превышает частоту, соответствующую вероятности случайного угадывания.

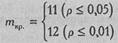
По Табл. XIV Приложения 1 определяем критические значения критерия m при n=14, Р=0,50:

Мы помним, что за эмпирическое значение критерия m принима­ется эмпирическая частота:

Зона значимости простирается вправо, в область более высоких значений m (более "весомых", если использовать аналогию с весами), а зона незначимости - в область более низких, "невесомых", значений m.

Ответ: H0 отвергается. Принимается H1. Количество точных прогнозов у участника А превышает (или по крайней мере равняется) критической частоте вероятности случайного угадывания (р≤0,01). Группа вполне обоснованно ему аплодировала!

Теперь попробуем ответить на второй вопрос задачи.

По-видимому, основания для грусти могут появиться, если коли­чество правильных прогнозов оказывается достоверно ниже теоретиче­ской частоты случайных угадываний. Мы должны определить, 4 точных прогноза участника Б - это достоверно меньше, чем 7 теоретически возможных правильных прогнозов при случайном угадывании или нет?

В данном случае Р=0,50; f эмп> f теор. В соответствии с ограничени­ем 4, в данном случае мы должны применить критерий знаков, кото­рый по существу является зеркальным отражением или "второй сторо­ной" одностороннего биномиального критерия (вариант "Г" Табл. 5.12). Вначале нам нужно определить, что является типичным событием для участника Б. Это неправильные прогнозы, их 10. Теперь мы опре­деляем, достаточно ли мало у него нетипичных правильных прогнозов, чтобы считать перевешивание неправильных прогнозов достоверным.

Сформулируем гипотезы.

H0: Преобладание неправильных прогнозов у участника Б является случайным.

H1: Преобладание неправильных прогнозов у участника Б не является случайным.

По Табл. V Приложения 1 определяем критические значения критерия знаков G для n=14:

Построим "ось значимости". Мы помним, что в критерии знаков зона значимости находится слева, а зона незначимости - справа, так как чем меньше нетипичных событий, тем типичные события являются бо­лее достоверно преобладающими.

Эмпирическое значение критерия G определяется как количество нетипичных событий. В данном случае:

Эмпирическое значение критерия G попадает в зону незначимости.

Ответ: H0 принимается. Преобладание неправильных прогнозов у участника Б является случайным.

Участник Б не имел достаточных статистических оснований для огорчения. Дело, однако, в том, что психологическая "весомость" отклонения его оценки значительно перевешивает статистическую. Вся­кий практикующий психолог согласится, что повод для огорчения у уча­стника Б все же был.

Важная особенность биномиального критерия и критерия знаков состоит в том, что они превращают уникальность, единственность и жизненную резкость произошедшего события в нечто неотличимое от безликой и всепоглощающей случайности. Учитывая это, лучше исполь­зовать биномиальный критерий для решения более отвлеченных, форма­лизованных задач, например, для уравновешивания выборок по призна­ку пола, возраста, профессиональной принадлежности и т. п.

При оценке же личностно значимых событий оказывается, что статистическая сторона дела не совпадает с психологической больше, чем при использовании любого из других критериев.




Поделиться с друзьями:


Дата добавления: 2015-06-04; Просмотров: 531; Нарушение авторских прав?; Мы поможем в написании вашей работы!


Нам важно ваше мнение! Был ли полезен опубликованный материал? Да | Нет



studopedia.su - Студопедия (2013 - 2026) год. Все материалы представленные на сайте исключительно с целью ознакомления читателями и не преследуют коммерческих целей или нарушение авторских прав! Последнее добавление




Генерация страницы за: 0.008 сек.