Студопедия

КАТЕГОРИИ:


Архитектура-(3434)Астрономия-(809)Биология-(7483)Биотехнологии-(1457)Военное дело-(14632)Высокие технологии-(1363)География-(913)Геология-(1438)Государство-(451)Демография-(1065)Дом-(47672)Журналистика и СМИ-(912)Изобретательство-(14524)Иностранные языки-(4268)Информатика-(17799)Искусство-(1338)История-(13644)Компьютеры-(11121)Косметика-(55)Кулинария-(373)Культура-(8427)Лингвистика-(374)Литература-(1642)Маркетинг-(23702)Математика-(16968)Машиностроение-(1700)Медицина-(12668)Менеджмент-(24684)Механика-(15423)Науковедение-(506)Образование-(11852)Охрана труда-(3308)Педагогика-(5571)Полиграфия-(1312)Политика-(7869)Право-(5454)Приборостроение-(1369)Программирование-(2801)Производство-(97182)Промышленность-(8706)Психология-(18388)Религия-(3217)Связь-(10668)Сельское хозяйство-(299)Социология-(6455)Спорт-(42831)Строительство-(4793)Торговля-(5050)Транспорт-(2929)Туризм-(1568)Физика-(3942)Философия-(17015)Финансы-(26596)Химия-(22929)Экология-(12095)Экономика-(9961)Электроника-(8441)Электротехника-(4623)Энергетика-(12629)Юриспруденция-(1492)Ядерная техника-(1748)

Пример 2. В тренинге профессиональных наблюдателей допускается, чтобы наблюдатель ошибался в оценке возраста ребенка не более чем на 1 год в ту или иную сторону




В тренинге профессиональных наблюдателей допускается, чтобы наблюдатель ошибался в оценке возраста ребенка не более чем на 1 год в ту или иную сторону. Наблюдатель допускается к работе, если он совершает не более 15% ошибок, превышающих отклонение на 1 год. Наблюдатель Н допустил 1 ошибку в 50-ти попытках, а наблюдатель К - 15 ошибок в 50-ти попытках. Достоверно ли отличаются эти ре­зультаты от контрольной величины?

Определим частоту допустимых ошибок при п = 50:

f теор=n· Р =50·0,15=7,5

Для наблюдателя Н f эмп< f теор. Для наблюдателя К f эмп> f теор

Сформулируем гипотезы для наблюдателя Н.

H0: Количество ошибок у наблюдателя Н не меньше, чем это преду­смотрено заданной величиной.

H1: Количество ошибок у наблюдателя Н меньше, чем это предусмот­рено заданной величиной.

В данном случае Р=0,15<0,50; f эмп> f теор.

Этот случай попадает под вариант Б Табл. 5. 12. Нам придется применить критерий у}, сопоставляя полученные эмпирические частоты ошибочных и правильных ответов с теоретическими частотами, состав­ляющими, соответственно, 7,5 для ошибочного ответа и (50-7,5)=42,5 для правильного ответа. Подсчитаем χ2 по формуле, включающей по­правку на непрерывность[24]:

По Табл. IX Приложения 1 определяем критические значения χ2 при v =l:

Ответ: H0 отвергается. Количество ошибок у наблюдателя Н меньше, чем это предусмотрено заданной величиной (р≤0,05)

Сформулируем гипотезы для наблюдателя К.

H0: Количество ошибок у наблюдателя К не больше, чем это преду­смотрено заданной величиной.

H1: Количество ошибок у наблюдателя К больше, чем это предусмот­рено заданной величиной.

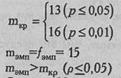
В данном случае Р=0,15<0,5; f эмп> f теор.Этот случай подпадает под вариант А Табл. 5.12. Мы можем применить биномиальный крите­рий, поскольку n=50.

По Табл. XV Приложения 1 определяем критические значения при п=50, Р=0,15, Q=0,85:

Ответ: H0 отвергается. Количество ошибок у наблюдателя Н меньше, чем это предусмотрено заданной величиной (р<0,05).




Поделиться с друзьями:


Дата добавления: 2015-06-04; Просмотров: 719; Нарушение авторских прав?; Мы поможем в написании вашей работы!


Нам важно ваше мнение! Был ли полезен опубликованный материал? Да | Нет



studopedia.su - Студопедия (2013 - 2026) год. Все материалы представленные на сайте исключительно с целью ознакомления читателями и не преследуют коммерческих целей или нарушение авторских прав! Последнее добавление




Генерация страницы за: 0.007 сек.