Студопедия

КАТЕГОРИИ:


Архитектура-(3434)Астрономия-(809)Биология-(7483)Биотехнологии-(1457)Военное дело-(14632)Высокие технологии-(1363)География-(913)Геология-(1438)Государство-(451)Демография-(1065)Дом-(47672)Журналистика и СМИ-(912)Изобретательство-(14524)Иностранные языки-(4268)Информатика-(17799)Искусство-(1338)История-(13644)Компьютеры-(11121)Косметика-(55)Кулинария-(373)Культура-(8427)Лингвистика-(374)Литература-(1642)Маркетинг-(23702)Математика-(16968)Машиностроение-(1700)Медицина-(12668)Менеджмент-(24684)Механика-(15423)Науковедение-(506)Образование-(11852)Охрана труда-(3308)Педагогика-(5571)Полиграфия-(1312)Политика-(7869)Право-(5454)Приборостроение-(1369)Программирование-(2801)Производство-(97182)Промышленность-(8706)Психология-(18388)Религия-(3217)Связь-(10668)Сельское хозяйство-(299)Социология-(6455)Спорт-(42831)Строительство-(4793)Торговля-(5050)Транспорт-(2929)Туризм-(1568)Физика-(3942)Философия-(17015)Финансы-(26596)Химия-(22929)Экология-(12095)Экономика-(9961)Электроника-(8441)Электротехника-(4623)Энергетика-(12629)Юриспруденция-(1492)Ядерная техника-(1748)

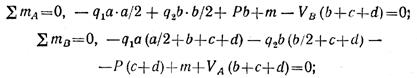
Решение. Опреде­ляем опорные реак­ции:




 

 
 

Опреде­ляем опорные реак­ции:

 

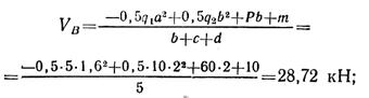
Откуда

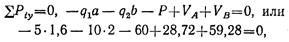
Составляем проверочное уравнение:

следовательно, опорные реакции определены верно.

 

Балка имеет три участка I, II, III (рис. 2.55, а): участок I — z = 0 — 6 м; участок II — z = 6 — 8 м; участок III – 2 = 8 — 10 м.

 

На участке I при изменении z от 0 до 6 м

-- уравнение прямой линии, наклоненной к оси балки;

-- уравнение параболы.

 

На участке II при изменении z от 6 до 8 м

-- уравнение прямой, параллельной оси балки;

-- уравнение прямой, наклоненной к оси балки.

 

На участке III при изменении z от 8 до 10 м

-- уравнение прямой (такой же, как и для участка II);

-- уравнение прямой, наклоненной к оси балки.

 

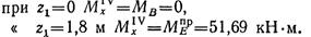
Подставляя в уравнения поперечных сил и изгибаю­щих моментов значения абсцисс z, соответствующие гра­ницам участков, получаем величины Qy и Мх в соответ­ствующих сечениях:

 

 

В сечении, где приложена сосредоточенная пара сил, имеется скачок в эпюре изгибающих моментов, равный величине момента пары т = 20 кН-м. Чтобы найти макси­мальное значение изгибающего момента на участке I, приравняем нулю значение поперечной силы на этом участке:

откуда z0 = 3,2 м.

Подставив это значение г0 в уравнение для MlX, полу­чаем:

 

Следует иметь в виду, что наибольший изгибающий момент может не совпадать с аналитическим максимумом, как, в частности, оказалось в нашем случае.

Эпюры поперечных сил и изгибающих моментов построе­ны на рис. 2.55, б, в.

Заметим, что при определении изгибающих моментов на участке III проще было рассматривать равновесие пра­вой отсеченной части балки.

 


Пример 6. Построить эпюры поперечных сил и изгибающих моментов для балки, изображенной на рис. 2.56, а.

 
 

Решение

Определим опорные реакции:

откуда

Составим проверочное уравнение:

следовательно, реакции вычислены верно.

 

Балка имеет четыре участка I, II, III, IV (рис. 2.56, а).

Проводим сечение в пределах участка I (0 ≤ z ≤ 1,6 м) и, рассматривая равновесие левой отсеченной части, опреде­ляем аналитические выражения поперечной силы и изги­бающегомомента на этом участке:

Поперечная сила изменяетсяпо линейному закону:

Изгибающий момент М1Х изменяется по закону квад­ратной параболы, параболу строим по двум точкам:

Аналогично, проводя сечения на участке II (1,6 м ≤ z ≤ 3,6 м) и рассматривая равновесие левой отсеченной части балки, получаем:

Поперечная сила на участке II, как и на участке I, изменяется по линейному закону:

Изгибающий момент на участке II изменяется по за­кону квадратной параболы:

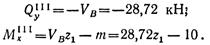
Проводим сечение на участке III и рассматриваем рав­новесие правой части, отсчитывая абсциссы от точки В (1,8 м < z1 < 3 м).

К правой отсеченной части балки приложено меньше внешних сил, чем к левой, поэтому составление аналити­ческих выражений для поперечной силы и изгибающего момента будет проще:

Поперечная сила на участке III постоянна. Изгибаю­щий момент изменяется по линейному закону:

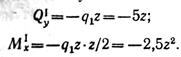
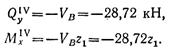
Проводя сечение на участке IV, так же рассматриваем равновесие правой отсеченной части (0 ≤ z1 < 1,8 м):

Эпюра поперечных сил изображается прямой, парал­лельной оси балки, как и на третьем участке. Эпюра из­гибающих моментов имеет вид наклонной прямой:

По полученным данным на рис. 2.56, б, в построены эпюры поперечных сил и изгибающих моментов.

Контрольные вопросы и задания

 

1. Если эпюра поперечной силы ограничена наклонной прямой, как выглядит эпюра изгибающего момента?

2. Как определить положение экстремального значения изгиба­ющего момента при действии распределенной нагрузки на участке балки?

3. Распределенная нагрузка направлена вверх. Как выглядит парабола, очерчивающая эпюру изгибающих моментов вдоль оси бруса?

4. Определите координату z, в которой поперечная сила равна нулю (рис. 31.4).

 

5. Определите величину изгибающего момента в точке С (z = = 5 м), используя схему рис. 31.4.

 




Поделиться с друзьями:


Дата добавления: 2015-06-30; Просмотров: 564; Нарушение авторских прав?; Мы поможем в написании вашей работы!


Нам важно ваше мнение! Был ли полезен опубликованный материал? Да | Нет



studopedia.su - Студопедия (2013 - 2026) год. Все материалы представленные на сайте исключительно с целью ознакомления читателями и не преследуют коммерческих целей или нарушение авторских прав! Последнее добавление




Генерация страницы за: 0.013 сек.