Студопедия

КАТЕГОРИИ:


Архитектура-(3434)Астрономия-(809)Биология-(7483)Биотехнологии-(1457)Военное дело-(14632)Высокие технологии-(1363)География-(913)Геология-(1438)Государство-(451)Демография-(1065)Дом-(47672)Журналистика и СМИ-(912)Изобретательство-(14524)Иностранные языки-(4268)Информатика-(17799)Искусство-(1338)История-(13644)Компьютеры-(11121)Косметика-(55)Кулинария-(373)Культура-(8427)Лингвистика-(374)Литература-(1642)Маркетинг-(23702)Математика-(16968)Машиностроение-(1700)Медицина-(12668)Менеджмент-(24684)Механика-(15423)Науковедение-(506)Образование-(11852)Охрана труда-(3308)Педагогика-(5571)Полиграфия-(1312)Политика-(7869)Право-(5454)Приборостроение-(1369)Программирование-(2801)Производство-(97182)Промышленность-(8706)Психология-(18388)Религия-(3217)Связь-(10668)Сельское хозяйство-(299)Социология-(6455)Спорт-(42831)Строительство-(4793)Торговля-(5050)Транспорт-(2929)Туризм-(1568)Физика-(3942)Философия-(17015)Финансы-(26596)Химия-(22929)Экология-(12095)Экономика-(9961)Электроника-(8441)Электротехника-(4623)Энергетика-(12629)Юриспруденция-(1492)Ядерная техника-(1748)

Смещение ионных равновесий. Действие одноименного иона




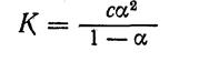
Степень и константа ионизации характеризуют собой один и тот же процесс распада молекул на ионы, поэтому можно одну из этих величин выразить через другую.

Если обозначить молярную концентрацию электролита через c, а степень ионизации через а, то концентрация каждого из ионов будет равна с · а, а концентрация неионизированных молекул будет равна

с—са, или с · (1— а). Подставив полученные значения в уравнение константы ионизации бинарного электролита, получим:

В такой форме полученное уравнение выражает закон разбавления, выведенный В. Оствальдом. Он устанавливает зависимость между степенью ионизации слабого электролита и его концентра­цией. Если электролит является достаточно слабым и раствор его не слишком разбавлен, то степень ионизации его (а) мала и величина (1 - а) мало отличается от 1. Следовательно, можно принять, что

Закон разбавления позволяет вычислять степень ионизации, если известна константа ионизации и молярная концентрация рас­твора электролита, и, наоборот, определив тем или иным методом степень ионизации, можно вычислить константу ионизации по уравнению:

Ознакомимся с методикой вычисления константы и степени ионизации на основе использования закона разбавления.

Пример 1. Вычислить константу ионизации уксусной кислоты, если степень ионизации 0,1 н. раствора ее равна 1,35%.

Решение.

Для вычисления константы ионизации уксусной кислоты необходимо перейти от величины степени ионизации, выраженной в про­центах, к ее величине, выраженной в молях. Уксусная кислота одноосновная, следовательно, 0,1 н. раствор ее является 0,1 М. Отсюда:

1 моль составляет 100%

x моль составляет 1,35% x = 1,35 · 1/ 100 = 0,0135 (моль/л)

или a = 1,35/ 100 = 0,0135 (моль/л).

По закону разбавления получим: K = = 1, 85 · 10 -5

Обе найденные величины констант ионизации уксусной кислоты очень хорошо согласуются между собой. Следовательно, ионизация уксусной кислоты — типичного слабого электролита — подчиняет­ся закону действия масс и вполне согласуется с теорией электролитической диссоциации.

Пример 2. Вычислить степень ионизации и концентрацию ионов [NН4+] и [ОН-] в 0,1н. растворе гидроксида аммония, если К NН4ОН =1,76 · 10-5.

Решение.

1. Молярная концентрация 0,1 н. раствора гидроксида аммония равна 0,1 М. Подставим значения К, и с в уравнение закона разбав­ления и сделаем расчет:

2. концентрация ионов в растворе оинарного электролита равна

с · а, а так как бинарный электролит ионизирует с образованием одного катиона и одного аниона, то

[NH4] = [ОН-] = 0,1 · 1,33 · 10-2 = 1,33 · 10-3 (г-ион/л)

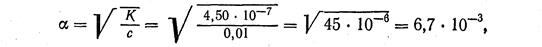
Пример 3. Вычислить степень ионизации угольной кислоты по первой ступени, если константа ионизации в 0,01 М растворе равна

4,50 · 10-7.

Решение.

1. Угольная кислота слабая, поэтому ионизация ее даже по пер­вой ступени идет в незначительной степени:

Н2СО ↔ Н+ + НСО3-

При вычислении степени ионизации можно пользоваться упрощенной формулой:

или 0,67%

Пример 4. Вычислить степень и константу ионизации муравь­иной кислоты, если концентрация ионов водорода в 0,2 н. растворе муравьиной кислоты равна 6,0 · 10-3 г-ион/л.

Решение.

1.[Н+] = с · а, а = +] = 6 · 10-3 = 3 · 10 -2, или 3 %
с 0,2

2. Зная степень ионизации и концентрацию данного раствора, легко вычислить константу ионизации муравьиной кислоты:

К = са2 = 0,2 · (3 · 10-2) 2 = 1,8 · 10-4.

При введении в раствор слабого электролита одноименных ионов существующее в растворе равновесие между ионами и недиссоциированными молекулами нарушается и согласно закону действия масс смещается в сторону образования недиссоциированных молекул. Частным случаем этого положения является уменьшение ионизации слабых кислот и оснований при прибавлении к кислоте или основанию соли этой же кислоты или соли этого же основания. Так, например, если к раствору уксусной кислоты прибавить ка­кую-либо ее соль, то при этом будет введено много «одноименных» ионов СН3СОO-. Это приведет к нарушению химического равно­весия:

СН3СООН ↔ СН3СОО - + Н +

CH3COONa ↔ CH3COO- + Na+

Восстановление нарушенного равновесия происходит в резуль­тате соединения ионов [Н+] и [СН3СОО-] в неионизированные моле­кулы CH3COOH. При этом концентрация ионов [Н+] в растворе понижается, вследствие чего уксусная кислота ведет себя как гораз­до более слабая кислота.

Пользуясь уравнением константы ионизации, можно подсчитать, какое изменение концентрации того или иного иона, а также сте­пени ионизации в растворе слабого электролита вызовет прибавле­ние к нему определенного количества сильного электролита с одно­именным ионом.

Пример 5. Во сколько раз. уменьшится концентрация ионов водорода, если к 1 л 0,2 М раствора уксусной кислоты прибавить 0,1 моль ацетата натрия, степень диссоциации которого состав­ляет 80 %?

Решение.

1. Определим концентрацию ионов [Н+] в 0,2 М растворе ук­сусной кислоты до прибавления соли ацетата натрия:

СН3СООН ↔ СН3СОО- + H+

 

[СН3СОО-] · [H+ ] = KСН3СООН = 1,74 · 10-5
[СН3СООН]

Концентрация ионов водорода может быть вычислена по упро­шенной формуле: [ H +] = = = 1,87 · 10 –3 (г-ион/л)

2. Определим концентрацию ионов [H+] после прибавления соли ацетата натрия CH3COONa.

Равновесное состояние будет характеризоваться, как и до добавления соли, законом действия масс и уравнением константы ионизации уксусной кислоты. Обозначим искомую концентрацию ионов водорода через х. Тогда концентрация недиссоциированных молекул будет равна 0,2 - х. Концентрация же анионов СН3СОО будет слагаться из двух величин: из концентрации х, создаваемой ионизацией молекул уксусной кислоты и концентрацией, обусловленной диссоциацией прибавленной соли. Последняя может быть вычислена с учетом степени диссоциации соли.

В 0,1 М растворе она равна (0,1 · 0,80) 0,08 г-ион/л. Таким об­разом, равновесная концентрация ионов СН3СОО будет равна 0,08 + х. Подставив найденные величины концентрации ионов в формулу константы ионизации СН3СООН, получим:

х ·(0,08 + х) 0,2 - х = 1,74 · 10-5

3. Расчет можно упростить, принимая во внимание, что величина х мала по сравнению с 0,2 и 0,08 и ею можно пренебречь, т. е. при­нять

0,2 – х @ 0,2 и 0,08 + x @ 0,08. Тогда получим:

х · 0,08 = 1,74 ·10-5
0,02

Откуда

х = 1,2 · 1,74 ·10-5 = 4,35 ·10-5 (г-ион/л)
0,08

Сравнивая концентрации ионов [Н+] до и после прибавления к раствору ацетата натрия находим, что прибавление соли CH3COONa вызвало уменьшение концентрации ионов водорода в 43 раза

Пример 6. Вычислить концентрацию ионов НСОО- в раство­ре, литр которого содержит 0,1 М раствора муравьиной кислоты и 0,01 М раствора соляной кислоты, считая диссоциацию НС1 полной.

Решение.

1. В растворе происходят процессы ионизации данных кислот:

НСООН ↔ Н+ + НСОО - (слабый электролит)

НС1 ↔ Н+ + Сl - (сильный электролит)

Ионизация муравьиной кислоты в присутствии сильной соляной кислоты будет сильно подавлена присутствием одноименных ионов Н+.

Равновесие ионизации муравьиной кислоты определяется ее константой ионизации, т. е.

+] · [НСОО-] = K НСООН = 1,8 · 10-4
[НСООН]

2. Обозначим искомую концентрацию ионов НСОО- через х. Тогда концентрация ионов водорода в данной смеси будет слагаться из двух величин, а именно: из х г-ион/л, образующихся при иони­зации муравьиной кислоты, и 0,01 г -ион/л, образующегося при диссоциации НС1. Следовательно, [H+] = (0,01+ х). Концентрацию неионизированных молекул кислоты НСООН можно найти, вычитая из общей концентрации ее количество молей, продиссоциировавших на ионы,

т. е. х. Следовательно, [НСООН] = (0,1- х). Под­ставив найденные величины концентраций в уравнение константы ионизации НСООН, получим:

(0,01 + х) · х = 1,8 · 10-4
0,1 - х

Степень ионизации муравьиной кислоты мала, поэтому ею мож­но пренебречь и вычисление вести по упрощенной формуле:

0,01 · х = 1,8 · 10-4
0,1

Откуда

х = 1,8 ·10-4 · 0,1 = 1,8 · 10-3 (г-ион/л)
0,01

Следовательно, искомая концентрация анионов [НСОО-] в равновесной системе равна 1,8 · 10-3 (г-ион/л).

 

 




Поделиться с друзьями:


Дата добавления: 2015-06-30; Просмотров: 5648; Нарушение авторских прав?; Мы поможем в написании вашей работы!


Нам важно ваше мнение! Был ли полезен опубликованный материал? Да | Нет



studopedia.su - Студопедия (2013 - 2025) год. Все материалы представленные на сайте исключительно с целью ознакомления читателями и не преследуют коммерческих целей или нарушение авторских прав! Последнее добавление




Генерация страницы за: 0.011 сек.