Студопедия

КАТЕГОРИИ:


Архитектура-(3434)Астрономия-(809)Биология-(7483)Биотехнологии-(1457)Военное дело-(14632)Высокие технологии-(1363)География-(913)Геология-(1438)Государство-(451)Демография-(1065)Дом-(47672)Журналистика и СМИ-(912)Изобретательство-(14524)Иностранные языки-(4268)Информатика-(17799)Искусство-(1338)История-(13644)Компьютеры-(11121)Косметика-(55)Кулинария-(373)Культура-(8427)Лингвистика-(374)Литература-(1642)Маркетинг-(23702)Математика-(16968)Машиностроение-(1700)Медицина-(12668)Менеджмент-(24684)Механика-(15423)Науковедение-(506)Образование-(11852)Охрана труда-(3308)Педагогика-(5571)Полиграфия-(1312)Политика-(7869)Право-(5454)Приборостроение-(1369)Программирование-(2801)Производство-(97182)Промышленность-(8706)Психология-(18388)Религия-(3217)Связь-(10668)Сельское хозяйство-(299)Социология-(6455)Спорт-(42831)Строительство-(4793)Торговля-(5050)Транспорт-(2929)Туризм-(1568)Физика-(3942)Философия-(17015)Финансы-(26596)Химия-(22929)Экология-(12095)Экономика-(9961)Электроника-(8441)Электротехника-(4623)Энергетика-(12629)Юриспруденция-(1492)Ядерная техника-(1748)

Алгоритм расчета критерия Розенбаума




Задача выявления различий в уровне выраженности исследуемого признака

Для решения задачи выявления различий можно воспользоваться и t-критерием Стьюдента, рассмотренным выше, однако наиболее предпочтительными являются непараметрические критерии Розенбаума (Q) и Манна-Уитни (U).

Примеры гипотез:

H0: уровни тревожности в группах врачей и психологов достоверно не отличаются.

H1: уровень тревожности в группе врачей достоверно выше, чем в группе психологов.

1. В каждой из выборок должно быть не менее 11 наблюдений.

Объемы выборок должны примерно совпадать:

· При организации менее 50 наблюдений – разница не более 10;

· От 50 до 100 наблюдений – не больше 20;

· Если организовано более ста наблюдений, то одна из выборок не должна быть больше другой более чем в 1,5 – 2 раза.

2. Упорядочить значения отдельно в каждой выборке по степени возрастания признака.

Считать выборкой 1 ту выборку, значения в которой предположительно выше, а выборкой 2 – ту, где значения предположительно ниже.

3. Определить самое высокое (максимальное) значение в выборке 2.

4. Подсчитать количество значений в выборке 1, которые выше максимального значения в выборке 2. Обозначить полученную величину как S1.

5. Определить самое низкое (минимальное) значение в выборке 1.

6. Подсчитать количество значений в выборке 2, которые ниже минимального значения выборки 1. Обозначить полученную величину как S2.

7. Подсчитать эмпирическое значение Q по формуле: Q = S1 + S2.

8. По таблице определить критические значения Q для данных n1 и n2. Если Qэмп равно Q0,05 или превышает его, H0 отвергается.

Пример:

 

Алгоритм расчета критерия Манна-Уитни

1. Пометить данные испытуемых выборки 1 одним цветом, скажем, красным, а все данные из выборки 2 – другим, например, синим.

2. Расположить все данные в единый ряд по степеням нарастания признака, не считаясь с тем, к какой выборке они относятся, как если бы была одна большая выборка.

3. Проранжировать значения, приписывая меньшему значению меньший ранг.

4. Вновь разделить данные на две группы, ориентируясь на цветные обозначения: красные данные в один ряд, синие – в другой.

5. Подсчитать сумму рангов отдельно по каждой выборке. Проверить, совпадает ли сумма рангов с расчетной.

6. Определить большую из двух ранговых сумм.

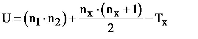
7. Определить по формуле значение

,

где количество испытуемых в выборке 1; количество испытуемых в выборке 2; большая из двух ранговых сумм; количество испытуемых в группе с большей суммой рангов.

8. Определить критические значения . Если то гипотеза принимается. Если то отвергается. Чем меньше значения , тем достоверность различий выше.

Пример:

Сравнить эффективность двух методов обучения в двух группах. Результаты испытаний представлены в таблице.

1. Перенесем все данные в другую таблицу, выделив данные второй группы подчеркиванием, и делаем ранжирование общей выборки.

Значения   7 8   10 10     14   15 15 16   19 20 29
Ранги 1,5 1,5             9,5 9,5 11,5 11,5          
Номер                                  

 

2. Найдем сумму рангов двух выборок и выберем большую из них:

3. Рассчитаем эмпирическое значение критерия по формуле:

4. Определим критическое значение критерия при уровне значимости p≤0,05 U0,05=19

Вывод: так как расчетное значение критерия больше критического при уровне значимости и , гипотеза о равенстве средних принимается, различия в методиках обучения будут несущественны.




Поделиться с друзьями:


Дата добавления: 2015-07-02; Просмотров: 5519; Нарушение авторских прав?; Мы поможем в написании вашей работы!


Нам важно ваше мнение! Был ли полезен опубликованный материал? Да | Нет



studopedia.su - Студопедия (2013 - 2025) год. Все материалы представленные на сайте исключительно с целью ознакомления читателями и не преследуют коммерческих целей или нарушение авторских прав! Последнее добавление




Генерация страницы за: 0.007 сек.