Студопедия

КАТЕГОРИИ:


Архитектура-(3434)Астрономия-(809)Биология-(7483)Биотехнологии-(1457)Военное дело-(14632)Высокие технологии-(1363)География-(913)Геология-(1438)Государство-(451)Демография-(1065)Дом-(47672)Журналистика и СМИ-(912)Изобретательство-(14524)Иностранные языки-(4268)Информатика-(17799)Искусство-(1338)История-(13644)Компьютеры-(11121)Косметика-(55)Кулинария-(373)Культура-(8427)Лингвистика-(374)Литература-(1642)Маркетинг-(23702)Математика-(16968)Машиностроение-(1700)Медицина-(12668)Менеджмент-(24684)Механика-(15423)Науковедение-(506)Образование-(11852)Охрана труда-(3308)Педагогика-(5571)Полиграфия-(1312)Политика-(7869)Право-(5454)Приборостроение-(1369)Программирование-(2801)Производство-(97182)Промышленность-(8706)Психология-(18388)Религия-(3217)Связь-(10668)Сельское хозяйство-(299)Социология-(6455)Спорт-(42831)Строительство-(4793)Торговля-(5050)Транспорт-(2929)Туризм-(1568)Физика-(3942)Философия-(17015)Финансы-(26596)Химия-(22929)Экология-(12095)Экономика-(9961)Электроника-(8441)Электротехника-(4623)Энергетика-(12629)Юриспруденция-(1492)Ядерная техника-(1748)

Двухуровневые планы многофакторных экспериментов




В многофакторном эксперименте можно учитывать только зависимость выхода от каждого из факторов, а

можно учитывать также зависимость выхода от взаимодействия нескольких факторов. Если учитывается взаимодействие всех факторов, то многофакторный эксперимент.называется полным.

Самым простым планом многофакторного полного эксперимент является план, в котором исследуемые факторы изменяются лишь на двух уровнях: верхнем Ci+ и нижнем Ci-. Такой план называется двухуровневым и обозначается ПФЭ2n, т.е. полный факторный эксперимент двухуровневый, n- факторный.

Центр эксперимента,

 

 

интервал варьирования

 

 

В безразмерном выражении верхний уровень фактора будет выражаться +1, нижний _1:

 

 

 

План ПФЭ2n можно представить таблицей.

Пример. Построить план ПФЭ22 для исследования влияния температуры в диапазоне 30 – 42 градуса Цельсия и величины pH в диапазоне от 5 до 7.

Найдем центр эксперимента

 

 

И интервал варьирования

 

i X1i X2i X1iX2i
  - - +
  - + -
  + - -
  + + +
Ci0      
Λi      

 

Здесь столбцы 2 – 3 отражают влияние отдельных факторов. Столбец 4 отражает межфакторное взаимодействие.

Заполнение второго и третьего столбца в пояснениях не нуждается. Четвертый столбец заполняется по правилу перемножения содержимого второго и третьего столбцов: Если второй и третий столбец имеют одинаковый знак, то в четвертом столбце ставится +, в противном случае -.

План полного двухфакторного эксперимента ПФЭ22 дает возможность вычислить четыре коэффициента уравнения регрессии:

 

План полного трехфакторного эксперимента дает возможность вычислить восемь коэффициентов уравнения регрессии

и т.д.

ЗАДАЧА. Методом наименьших квадратов рассчитать в Маткаде коэффициенты уравнения по результатам выполнения представленного в таблице полного двухуровневого трехфакторного плана ПФЭ 23..

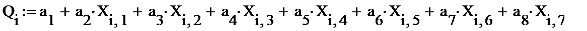
Рассчитывается восемь коэффициентов для уравнения:

I Основные столбцы Вспомогательные столбцы  
X1i X2i X3i X1iX2i X2iX3i X1iX3i X1iX2iX3i Y1i Y2i Y3i
  - - - + + + -      
  - + - - - + +      
  + - - - + - +      
  + + - + - - -      
  - - + + - - +      
  - + + - + - -      
  + - + - - + _      
  + + + + + + +      
                       

 

Таблица 1

 

 

Здесь У – выход процесса. Произведено три повторности эксперимента.

1.В начале программы набираем , что означает, что счет всех элементов должен начинаться с единицы.

2. По таблице создаем матрицу выходов У и матрицу входов Х:

 

 

  3.Вычисляем среднее выходов:

 

 

4. Задаем начальные приближения для коэффициентов:

 

5.Введя оператор given, формируем вычислительный блок.

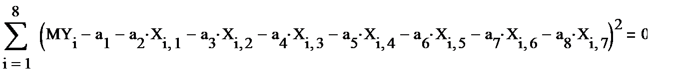
6.Набираем выражение для метода наименьших квадратов:

 

 

7. Решение ищем с помощью встроенной функции MINERR (Минимальная ошибка):

и получаем ответ

 

 

Записываем уравнение и сравниваем сначала визуально модель с объектом моделирования.

 

7.Вычисляем абсолютные W и относительные в процентах w ошибки модели

 

 

 

Проводим проверку значимости коэффициентов по Стьюденту:

Для этого:

8. вычисляем выборочную и дисперсию и с.к.о.

 

9. Вычисляем обратную функцию распределения Стьюдента для уровня значимости 0,95 и числа степеней свободы =16 Если в прямой функции распределения, задавшись значением случайной величины и числом степеней свободы, мы вычисляем вероятность, то в обратной функции, задавшись вероятностью и числом степеней свободы, мы получаем значение случайной величины.

Для Стьюдента, как известно, число степеней свободы равно удвоенному числу экспериментов.

 

10. Вычисляем доверительную ошибку ε и сравниваем ее с модулями значений коэффициентов.

 

Мы видим, что второй коэффициент меньше доверительной ошибки, следовательно, он не значим.

11. Записываем уравнение регрессии без учета второго коэффициента:

 

 




Поделиться с друзьями:


Дата добавления: 2015-06-27; Просмотров: 2329; Нарушение авторских прав?; Мы поможем в написании вашей работы!


Нам важно ваше мнение! Был ли полезен опубликованный материал? Да | Нет



studopedia.su - Студопедия (2013 - 2026) год. Все материалы представленные на сайте исключительно с целью ознакомления читателями и не преследуют коммерческих целей или нарушение авторских прав! Последнее добавление




Генерация страницы за: 0.011 сек.