Студопедия

КАТЕГОРИИ:


Архитектура-(3434)Астрономия-(809)Биология-(7483)Биотехнологии-(1457)Военное дело-(14632)Высокие технологии-(1363)География-(913)Геология-(1438)Государство-(451)Демография-(1065)Дом-(47672)Журналистика и СМИ-(912)Изобретательство-(14524)Иностранные языки-(4268)Информатика-(17799)Искусство-(1338)История-(13644)Компьютеры-(11121)Косметика-(55)Кулинария-(373)Культура-(8427)Лингвистика-(374)Литература-(1642)Маркетинг-(23702)Математика-(16968)Машиностроение-(1700)Медицина-(12668)Менеджмент-(24684)Механика-(15423)Науковедение-(506)Образование-(11852)Охрана труда-(3308)Педагогика-(5571)Полиграфия-(1312)Политика-(7869)Право-(5454)Приборостроение-(1369)Программирование-(2801)Производство-(97182)Промышленность-(8706)Психология-(18388)Религия-(3217)Связь-(10668)Сельское хозяйство-(299)Социология-(6455)Спорт-(42831)Строительство-(4793)Торговля-(5050)Транспорт-(2929)Туризм-(1568)Физика-(3942)Философия-(17015)Финансы-(26596)Химия-(22929)Экология-(12095)Экономика-(9961)Электроника-(8441)Электротехника-(4623)Энергетика-(12629)Юриспруденция-(1492)Ядерная техника-(1748)

Квадратичных оценок качества




Синтез регуляторов с помощью интегральных

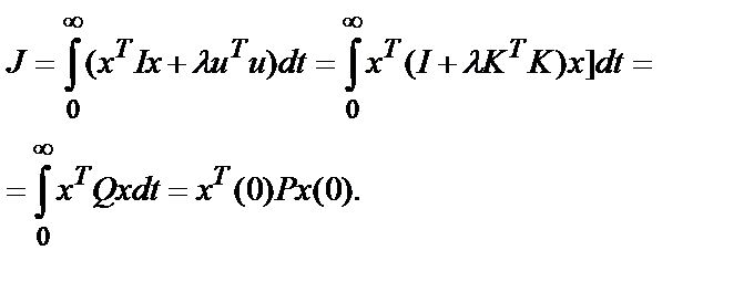
Рассмотрим метод синтеза оптимальных систем управления с использованием обратной связи по состоянию и интегральных квадратичных оценок качества [26-29], представленных в функции вектора состояния

.

Для получения минимального значения J будем считать, что существует производная

если положить, что

Тогда

При подстановке верхнего предела интегрирования мы предполагали, что система устойчива и, следовательно, х (¥) = 0.

Таким образом, чтобы минимизировать оценку качества J, необходимо определить матрицу Р, удовлетворяющую уравнениям

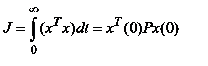
и найти минимум интегральной квадратичной оценки качества

путем настройки одного или нескольких параметров системы.

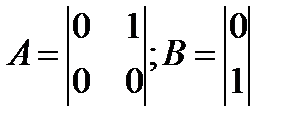
Рассмотрим в качестве примера систему, у которой

Управляющий сигнал выберем в виде линейной комбинации двух переменных состояния:

u = - к1х – к2х,

тогда

Решение матричного уравнения

HT P + P H = - I

при условии, что матрица Р – симметричная, и k1 = 1, приводит к следующему результату:

Если , то

.

Приравняем производную dJ/dk2 нулю, отсюда k2 = 2 и минимальное значение J = 3.

Матрица Н для скорректированной замкнутой системы примет вид:

,

характеристическое уравнение будет равно

det p I – H = p2 + p2 + 1 = 0

и переходный процесс апериодический.

Чтобы учесть затраты энергии на выработку управляющего сигнала, можно использовать оценку качества

Матрица Р, как и раньше, подчиняется уравнению

Скалярный весовой коэффициент l следует выбирать так, чтобы вклад переменных состояния в оценку качества был сопоставим с вкладом в неё второго слагаемого подинтегрального выражения, учитывающего ограниченные энергетические возможности системы.

В более сложных случаях матрица Р размерности n ´ n находится из решения уравнения Рикатти

где γ – скалярный весовой коэффициент. Во многих случаях Q = I.

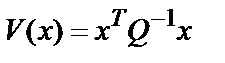
Другой подход к задаче стабилизации основан на том, что если система устойчива, то у неё есть квадратичная функция Ляпунова вида

(1)

Рассмотрим систему

с обратной связью по состоянию и уравнением замкнутой системы

.

Тогда, если найдутся К и Р > 0 такие, что

,

то для системы существует функция Ляпунова вида (1). Две матричные переменные, Р и Q, входят в это неравенство нелинейным образом. Введением двух новых переменных – Y=KQ, Q=P -1 – это неравенство становится линейным по переменным Р и Q.

Матрица коэффициентов обратных связей регулятора определяется на основании следующей теоремы: если Q – решение матричного неравенства Ляпунова то регулятор с матрицей стабилизирует систему , а квадратичная форма является функцией Ляпунова для замкнутой системы.

Поиск квадратичной функции Ляпунова называется квадратичной стабилизацией. Он не дает решения в явном виде, а сводит задачу к решению линейных матричных неравенств. Однако такой подход особенно эффективен для задач робастной стабилизации объектов управления при наличии неопределённостей.

 




Поделиться с друзьями:


Дата добавления: 2015-08-31; Просмотров: 533; Нарушение авторских прав?; Мы поможем в написании вашей работы!


Нам важно ваше мнение! Был ли полезен опубликованный материал? Да | Нет



studopedia.su - Студопедия (2013 - 2026) год. Все материалы представленные на сайте исключительно с целью ознакомления читателями и не преследуют коммерческих целей или нарушение авторских прав! Последнее добавление




Генерация страницы за: 0.012 сек.