Студопедия

КАТЕГОРИИ:


Архитектура-(3434)Астрономия-(809)Биология-(7483)Биотехнологии-(1457)Военное дело-(14632)Высокие технологии-(1363)География-(913)Геология-(1438)Государство-(451)Демография-(1065)Дом-(47672)Журналистика и СМИ-(912)Изобретательство-(14524)Иностранные языки-(4268)Информатика-(17799)Искусство-(1338)История-(13644)Компьютеры-(11121)Косметика-(55)Кулинария-(373)Культура-(8427)Лингвистика-(374)Литература-(1642)Маркетинг-(23702)Математика-(16968)Машиностроение-(1700)Медицина-(12668)Менеджмент-(24684)Механика-(15423)Науковедение-(506)Образование-(11852)Охрана труда-(3308)Педагогика-(5571)Полиграфия-(1312)Политика-(7869)Право-(5454)Приборостроение-(1369)Программирование-(2801)Производство-(97182)Промышленность-(8706)Психология-(18388)Религия-(3217)Связь-(10668)Сельское хозяйство-(299)Социология-(6455)Спорт-(42831)Строительство-(4793)Торговля-(5050)Транспорт-(2929)Туризм-(1568)Физика-(3942)Философия-(17015)Финансы-(26596)Химия-(22929)Экология-(12095)Экономика-(9961)Электроника-(8441)Электротехника-(4623)Энергетика-(12629)Юриспруденция-(1492)Ядерная техника-(1748)

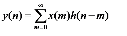
Орытынды. Дискретті тізбектің шығысындағы сигнал тізбектің кірісіндегі сигналмен байланысты екені дискретті бұрау формуласымен белгілі




.

Дискретті тізбектің шығысындағы сигнал тізбектің кірісіндегі сигналмен байланысты екені дискретті бұрау формуласымен белгілі, сондықтан дискретті шығыс тізбектіліктің n–ші санауы мына формуламен анықталады:

,

Сызықты дискретті жүйенің реакциясын нөлдік бастапқы шарттар кезінде {y(n)}бұрау формуласы бойынша есептеу үшін оның әсері тіркелген, ал солдан оңға қарай жылжымалысы - төменде көрсетілгендей импульстік сипаттамаболып келеді:

 

 

                   
                   

1) n=0,

h(0-m),

 

                 
                 

2) n=1

h(1-m)

 

               
               

3) n=2

h(2-m)

 

             
             

4) n=3

h(3-m)

           
           

 

5) n=4

h(4-m)

 

=1*1+0*3+0*2+1*1+1*1=3

 

           
           

6) n=5

h(5-m)

=0*1+0*3+1*2+1*1+0*1=3

 

             
             

7) n=6

h(6-m)

 

               
               

8) n=7

h(7-m)

 

                 
                 

9)n=8

h(8-m)

 

                   
                   

10)n=9

h(9-m)

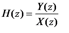
H(z) дискретті тізбектің беріліс функциясы былай анықталады

.

 

 

Біз бұл курстық жұмыста 2-ретті нормаланбаған ШИС-сүзгісінің беріліс функциясының: Нөлдер және полюстер картасын салу. Сүзгінің орнықтылығын бағалау, Импульстік сипаттаманың формуласын жазу және сол бойынша импульстік сипаттаманың 5 санауын есептеу, Импульстік сипаттаманың графигін салу. АЖС формуласын жазу және оның максимумын анықтау.Кіріс дискретті тізбектіліктің Z – түрленуін есептеу, берілген импульсті сипаттама бойынша дискретті бұрауды анықтау және есептелген {y(n)} шығыс санауларының графигін тұрғызу, H(z) беріліс функциясын анықтау және рекурсивті емес сүзгінің сұлбасын тұрғызуды үйрендік, шығарып есептеп қарастырдық.




Поделиться с друзьями:


Дата добавления: 2015-08-31; Просмотров: 442; Нарушение авторских прав?; Мы поможем в написании вашей работы!


Нам важно ваше мнение! Был ли полезен опубликованный материал? Да | Нет



studopedia.su - Студопедия (2013 - 2026) год. Все материалы представленные на сайте исключительно с целью ознакомления читателями и не преследуют коммерческих целей или нарушение авторских прав! Последнее добавление




Генерация страницы за: 0.012 сек.