Студопедия

КАТЕГОРИИ:


Архитектура-(3434)Астрономия-(809)Биология-(7483)Биотехнологии-(1457)Военное дело-(14632)Высокие технологии-(1363)География-(913)Геология-(1438)Государство-(451)Демография-(1065)Дом-(47672)Журналистика и СМИ-(912)Изобретательство-(14524)Иностранные языки-(4268)Информатика-(17799)Искусство-(1338)История-(13644)Компьютеры-(11121)Косметика-(55)Кулинария-(373)Культура-(8427)Лингвистика-(374)Литература-(1642)Маркетинг-(23702)Математика-(16968)Машиностроение-(1700)Медицина-(12668)Менеджмент-(24684)Механика-(15423)Науковедение-(506)Образование-(11852)Охрана труда-(3308)Педагогика-(5571)Полиграфия-(1312)Политика-(7869)Право-(5454)Приборостроение-(1369)Программирование-(2801)Производство-(97182)Промышленность-(8706)Психология-(18388)Религия-(3217)Связь-(10668)Сельское хозяйство-(299)Социология-(6455)Спорт-(42831)Строительство-(4793)Торговля-(5050)Транспорт-(2929)Туризм-(1568)Физика-(3942)Философия-(17015)Финансы-(26596)Химия-(22929)Экология-(12095)Экономика-(9961)Электроника-(8441)Электротехника-(4623)Энергетика-(12629)Юриспруденция-(1492)Ядерная техника-(1748)

Закон о равномерном распределении энергии по степеням свободы молекулы




ВОПРОСЫ

ЭКЗАМЕНАЦИОННЫЙ БИЛЕТ № 11

1. Равномерное распределение энергии по степеням свободы. Зависимость теплоемкости газов от температуры.

 

Число степеней свободы: механической системы называется количество независимых величин, е помощью которых может быть задано положение системы. Одноатомный газ имеет три поступательные степени свободы і = 3, так как для описания положения такого газа в пространстве достаточно трёх координат (х, у, z).

Жесткой связью называется связь, при которой расстояние между атомами не изменяется. Двухатомные молекулы с жесткой связью (N2,O2, Н2) имеют 3 поступательные степени свободы и 2 вращательные степени свободы: i=iпост+iвр=3 + 2=5.

Поступательные степени свободы связаны с движением молекулы как целого в пространстве, вращательные - с поворотом молекулы как целого. Вращение относительного осей координат x и z на угол приведет к изменению положения молекул в пространстве, при вращении относительно оси у молекула не изменяет своё положение, следовательно, координата φy в данном случае не нужна. Трехатомная молекула с жёсткой связью обладает 6 степенями свободы

i=iпост+iвр=3 + 3=6

Если связь между атомами не жесткая, то добавляются колебательные степени свободы. Для нелинейной молекулы ікол . = 3N- 6, где N - число атомов в молекуле.

Независимо от общего числа степеней свободы молекул 3 степени свободы всегда поступательные. Ни одна из поступательных степеней не имеет преимущества перед другими, поэтому на каждую из них приходится в среднем одинаковая энергия, равна 1/3 значения

Больцман установил закон, согласно которому для статистической системы (т. е. для системы у которой число молекул велико), находящейся в состоянии термодинамического равновесия на каждую поступательную и вращательную степень свободы приходится в среднем кинематическая энергия, равная 1/2 kT, и на каждую колебательную степень свободы - в среднем энергия, равная kT. Колебательная степень свободы «обладает» вдвое большей энергией потому, что на нее приходится не только кинетическая энергия (как в случае поступательного и вращательного движения), но и потенциальная энергия, причем таким образом средняя энергия молекулы

Мы будем рассматривать молекулы с жесткой связью, поэтому

так как в идеальном газе взаимная потенциальная энергия молекул равна нулю (молекулы не взаимодействуют между собой), то внутренняя энергия 1 моля равна произведению средней энергии одной молекулы на число молекул в моле вещества, то есть на число Авогадро

Для молей газа

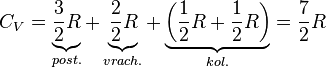
Зависимость теплоемкости газов от температуры. В частности, для газа, состоящего из двухатомных молекул, теплоемкость складывается из поступательной, вращательной и колебательной частей и равна

.

Это значит, что теплоемкость должна быть постоянной. Вместе с тем опыт говорит, что теплоемкость зависит от температуры.

При понижении температуры "замораживаются" сначала колебательные степени свободы, а затем и вращательные степени свободы.

Согласно законам квантовой механики энергия гармонического осциллятора с классической частотой может принимать только дискретный набор значений

В соответствии с распределением Гиббса вероятность того, что молекула обладает энергией , равна

Найдем статистическую сумму

Зная величину можно найти среднюю энергию молекулы:

Для молярной теплоемкости получаем

получаем, что теплоемкость убывает до нуля. Причина - это дискретность уровней гармонического осциллятора.

2. Опыты Штерна и Герлаха. Спин электрона, орбитальный и спиновый магнитный момент электрона.

Опыт Штерна — Герлаха — опыт немецких физиков Отто Штерна и Вальтера Герлаха, осуществлённый в 1922 году. Опыт подтвердил наличие у атомов спина (изначально в эксперименте участвовали атомы серебра, а потом и других металлов) и факт пространственного квантования направления их магнитных моментов.

Опыт состоял в следующем: пучок атомов серебра пропускали через сильно неоднородное магнитное поле, создаваемое мощным постоянным магнитом. При прохождении атомов через это поле, в силу обладания ими магнитных моментов, на них действовала зависящая от проекции спина на направление магнитного поля сила, отклонявшая летящие между магнитами атомы от их первоначального направления движения. Причём, если предположить, что магнитные моменты атомов ориентированы хаотично (непрерывно), то тогда на расположенной далее по направлению движения атомов пластинке должна была проявиться размытая полоса. Однако вместо этого на пластинке образовались две достаточно чёткие узкие полосы, что свидетельствовало в пользу того, что магнитные моменты атомов вдоль выделенного направления принимали лишь два определённых значения, что подтверждало предположение квантово-механической теории о квантовании магнитного момента атомов.

Позднее с аналогичными результатами были проделаны опыты для пучков атомов других металлов, а также пучков протонов иэлектронов. Эти опыты доказали существование магнитного момента у рассмотренных частиц и показали их квантовую природу, явив собой доказательство постулатов квантовой теории.

Схема установки, на которой Штерн и Герлах проводили свой эксперимент




Поделиться с друзьями:


Дата добавления: 2015-08-31; Просмотров: 843; Нарушение авторских прав?; Мы поможем в написании вашей работы!


Нам важно ваше мнение! Был ли полезен опубликованный материал? Да | Нет



studopedia.su - Студопедия (2013 - 2025) год. Все материалы представленные на сайте исключительно с целью ознакомления читателями и не преследуют коммерческих целей или нарушение авторских прав! Последнее добавление




Генерация страницы за: 0.013 сек.