Студопедия

КАТЕГОРИИ:


Архитектура-(3434)Астрономия-(809)Биология-(7483)Биотехнологии-(1457)Военное дело-(14632)Высокие технологии-(1363)География-(913)Геология-(1438)Государство-(451)Демография-(1065)Дом-(47672)Журналистика и СМИ-(912)Изобретательство-(14524)Иностранные языки-(4268)Информатика-(17799)Искусство-(1338)История-(13644)Компьютеры-(11121)Косметика-(55)Кулинария-(373)Культура-(8427)Лингвистика-(374)Литература-(1642)Маркетинг-(23702)Математика-(16968)Машиностроение-(1700)Медицина-(12668)Менеджмент-(24684)Механика-(15423)Науковедение-(506)Образование-(11852)Охрана труда-(3308)Педагогика-(5571)Полиграфия-(1312)Политика-(7869)Право-(5454)Приборостроение-(1369)Программирование-(2801)Производство-(97182)Промышленность-(8706)Психология-(18388)Религия-(3217)Связь-(10668)Сельское хозяйство-(299)Социология-(6455)Спорт-(42831)Строительство-(4793)Торговля-(5050)Транспорт-(2929)Туризм-(1568)Физика-(3942)Философия-(17015)Финансы-(26596)Химия-(22929)Экология-(12095)Экономика-(9961)Электроника-(8441)Электротехника-(4623)Энергетика-(12629)Юриспруденция-(1492)Ядерная техника-(1748)

Решение трансцендентного уравнения в случае малых потерь




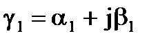
При исследовании диэлектриков с малыми потерями тангенса диэлектрических потерь (tgδ< 1,15) решение уравнения (4.4) значительно упрощается, так как для диэлектриков с малыми потерями можно пренебречь величинами и α1. Представляя постоянную распространения в виде получим простые соотношения для и :

; (4.22)

; (4.23)

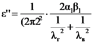
Откуда:

; (4.24)

; (4.24)

Для тангенса угла потерь получаем:

; (4.25)

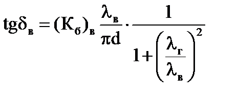
Если исследуемый диэлектрик будет обладать очень малыми потерями, сравнимыми с потерями в волноводе, то рассчитанное по приведенной выше формуле в значение необходимо ввести поправку на потери в волноводе. Для внесения этой поправки из полученного значения следует вычесть ( - угол потерь волновода), так как при малых потерях последние складываются аддитивно, то значение измеряется в пустом волноводе (т.е. при ε'=1) и вычисляется по формуле:

; (4.26)

где l - расстояние от короткозамкнутого конца волновода до стоячей волны, в котором производится измерение, (Кб)в - коэффициент бегущей волны, измеренный в пустом волноводе. [5]




Поделиться с друзьями:


Дата добавления: 2015-08-31; Просмотров: 384; Нарушение авторских прав?; Мы поможем в написании вашей работы!


Нам важно ваше мнение! Был ли полезен опубликованный материал? Да | Нет



studopedia.su - Студопедия (2013 - 2025) год. Все материалы представленные на сайте исключительно с целью ознакомления читателями и не преследуют коммерческих целей или нарушение авторских прав! Последнее добавление




Генерация страницы за: 0.012 сек.