Студопедия

КАТЕГОРИИ:


Архитектура-(3434)Астрономия-(809)Биология-(7483)Биотехнологии-(1457)Военное дело-(14632)Высокие технологии-(1363)География-(913)Геология-(1438)Государство-(451)Демография-(1065)Дом-(47672)Журналистика и СМИ-(912)Изобретательство-(14524)Иностранные языки-(4268)Информатика-(17799)Искусство-(1338)История-(13644)Компьютеры-(11121)Косметика-(55)Кулинария-(373)Культура-(8427)Лингвистика-(374)Литература-(1642)Маркетинг-(23702)Математика-(16968)Машиностроение-(1700)Медицина-(12668)Менеджмент-(24684)Механика-(15423)Науковедение-(506)Образование-(11852)Охрана труда-(3308)Педагогика-(5571)Полиграфия-(1312)Политика-(7869)Право-(5454)Приборостроение-(1369)Программирование-(2801)Производство-(97182)Промышленность-(8706)Психология-(18388)Религия-(3217)Связь-(10668)Сельское хозяйство-(299)Социология-(6455)Спорт-(42831)Строительство-(4793)Торговля-(5050)Транспорт-(2929)Туризм-(1568)Физика-(3942)Философия-(17015)Финансы-(26596)Химия-(22929)Экология-(12095)Экономика-(9961)Электроника-(8441)Электротехника-(4623)Энергетика-(12629)Юриспруденция-(1492)Ядерная техника-(1748)

Подготовки производства. Непрерывное усложнение современных технических средств и процессов их изготовления, повыша




СОВЕРШЕНСТВОВАНИЯ ОРГАНИЗАЦИИ

ЭКОНОМИЧЕСКАЯ ЭФФЕКТИВНОСТЬ

8.6.

ПРОЕКТИРОВАНИЯ

ВНЕДРЕНИЕ СИСТЕМ АВТОМАТИЗИРОВАННОГО

8.5.

Непрерывное усложнение современных технических средств и процессов их изготовления, повышающиеся тре­бования к надежности и качеству продукции, а также необходимость сокращения сроков подготовки производ­ства, снижения трудоемкости и стоимости инженерных работ неизбежно ведут к широкому внедрению вычисли­тельной техники в процесс создания новых изделий.

В последние годы в нашей стране и за рубежом раз­рабатываются и внедряются системы автоматизирован­ного проектирования (САПР). САПР представляет собой комплекс технических средств, программного и матема­тического обеспечения, предназначенных для выполне­ния в автоматическом режиме инженерных расчетов, графических работ, выбора вариантов технических и орга­низационных решений и т. п.

Внедрение САПР требует создания соответствующей системы организации работ, ибо только в этом случае мо­жет быть обеспечено эффективное использование сложной и высокопроизводительной техники. В организационной структуре научно-технических подразделений предприя­тий при внедрении САПР необходимо выделить специаль­ную службу, призванную заниматься автоматизацией проектно-конструкторских и технологических работ. В этой службе должны работать конструкторы и технологи — поставщики задач, математики-программисты, соответ­ствующий технический персонал. Служба призвана обес­печить необходимые условия для создания, эксплуатации и развития САПР.

При подготовке к внедрению системы автоматизиро­ванного проектирования необходимо разработать различ­ного рода классификаторы изделий, материалов, видов оборудования, оснастки и т. п. На каждом предприя­тии, внедряющем САПР, надо разработать положения, регламентирующие организационную структуру подраз­делений и систему связи в процессе подготовки произ­водства, а также инструкции, определяющие функции, обязанности и права всех исполнителей работ.

 

Задачи ускорения научно-технического прогресса и повышения эффективности производства требуют сокра­щения сроков освоения новой техники, снижения затрат на ее создание, достижения высокой экономичности но­вых типов машин, аппаратов, приборов. Совершенствова­ние организации подготовки производства обеспечивает надлежащие условия для реализации этих требований.

Сокращение сроков создаваемой новой техники име­ет важное экономическое значение. Продолжительные сроки разработки и освоения новой техники или про­дукции снижают эффективность производства.

Сосредотачивая значительные трудовые, материальные и денежные ресурсы, сфера подготовки производства воз­действует на уровень эффективности работы предприятий путем лучшего использования этих ресурсов, обеспечения высоких темпов создания новых видов техники при ми­нимальных затратах живого и общественного труда.

Экономическая эффективность совершенствования организации подготовки производства за счет отдель­ных факторов рассчитывается по следующим формулам.

Экономический эффект от сокращения длительности подготовки производства (Эi):

       
   
 
 


где Эz — годовой экономический эффект от выпуска новой 'продукции, руб.; Tn-1 и Тn-2 — период подготовки произ­водства до и после проведения мероприятий по совершен­ствованию организации подготовки производства, лет. Экономический эффект от снижения затрат на под­готовку производства (Э):

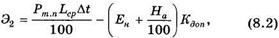
где Рm.n — количество работников, занятых подготовкой производства, чел.; Lcp — среднегодовая заработная пла­та работника с начислениями, руб.; ∆t — снижение тру­доемкости подготовки производства, %; Ен — норматив­ный коэффициент экономической эффективности; На — амортизация оборудования, %; Кдоп — дополнительные капитальные вложения на осуществление мероприятий по совершенствованию подготовки производства.

Влияние обновления продукции на объем выпуска товарной продукции (АПН) определяется по формуле:

где ∆Пн — изменение трудоемкости производства при освоении новой продукции; Вч — средняя часовая вы­борка продукции; Квыл — средний процент выполнения нормы выработки.

Изменение трудоемкости производства при освоении новой продукции (∆Тн) вычисляется по формуле:

где ∆Тн — общая трудоемкость продукции предприятия в нормо-ч; Тос — трудоемкость вновь освоенной продук­ции, нормо-ч; Н, D — стоимость товарной продукции по выпускаемым и вновь освоенным изделиям, руб.

 




Поделиться с друзьями:


Дата добавления: 2014-01-06; Просмотров: 461; Нарушение авторских прав?; Мы поможем в написании вашей работы!


Нам важно ваше мнение! Был ли полезен опубликованный материал? Да | Нет



studopedia.su - Студопедия (2013 - 2026) год. Все материалы представленные на сайте исключительно с целью ознакомления читателями и не преследуют коммерческих целей или нарушение авторских прав! Последнее добавление




Генерация страницы за: 0.011 сек.