Студопедия

КАТЕГОРИИ:


Архитектура-(3434)Астрономия-(809)Биология-(7483)Биотехнологии-(1457)Военное дело-(14632)Высокие технологии-(1363)География-(913)Геология-(1438)Государство-(451)Демография-(1065)Дом-(47672)Журналистика и СМИ-(912)Изобретательство-(14524)Иностранные языки-(4268)Информатика-(17799)Искусство-(1338)История-(13644)Компьютеры-(11121)Косметика-(55)Кулинария-(373)Культура-(8427)Лингвистика-(374)Литература-(1642)Маркетинг-(23702)Математика-(16968)Машиностроение-(1700)Медицина-(12668)Менеджмент-(24684)Механика-(15423)Науковедение-(506)Образование-(11852)Охрана труда-(3308)Педагогика-(5571)Полиграфия-(1312)Политика-(7869)Право-(5454)Приборостроение-(1369)Программирование-(2801)Производство-(97182)Промышленность-(8706)Психология-(18388)Религия-(3217)Связь-(10668)Сельское хозяйство-(299)Социология-(6455)Спорт-(42831)Строительство-(4793)Торговля-(5050)Транспорт-(2929)Туризм-(1568)Физика-(3942)Философия-(17015)Финансы-(26596)Химия-(22929)Экология-(12095)Экономика-(9961)Электроника-(8441)Электротехника-(4623)Энергетика-(12629)Юриспруденция-(1492)Ядерная техника-(1748)

Опустить




SиTне могут одновременно быть малыми в одной и той же области частот. Поэтому любой метод проектирования, опирающийся на функции чувствительности, должен иметь возможность рассматриватьпару(S, T) (альтернативно пару(S, W2S))в отношении решения вопроса о том, на каких частотах должны быть или S, илиT (альтернативноSилиW2S)сделаны малыми. Такие методы совместно называют методами смешанной чувствительности.

При использованииоптимального - управления, чтобы объединить все рассмотренные выше требования в «смешанную чувствительность», применяют «пакетный метод», в результате получают следующее глобальное требование:

|| N||<1; .

N естьвектор ипредставляет собой обычную евклидову норму

.

После выбора вида N находим оптимальный регулятор W2 (p) путем решения задачи минимизации

|| N(W2 )||.

Пример. Синтез с помощью смешанной чувствительности.

Рассмотрим ОУ, описываемый ПФ

и для синтеза создадим смешанную чувствительность

 


Пусть =1 и выберем фукцию веса для чувствительности

где =1.5, =10, A=10-4 . Значение =10 выбрано для того, чтобы получить значение частоты среза , примерно равное 10 с-1. проблему синтеза решаем с помощью Robust Control Toolbox в Matlab, используя процедуру mixsyn (W1, GS,Gu, []). В результате получаем регулятор с ПФ

.

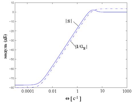
Для данной задачи мы достигли оптимальной нормы 1.31, так что требование к взвешенной чувствительности выполнено не полностью (см. рис. 6, на котором кривая | S()| проходит немного выше ). Между тем синтез можно считать успешным, т.к. || S||=1.3, || T||=1, запасы устойчивости 1/h=8, и частота среза = 7.22 с-1, и переходная характеристика выглядит весьма удовлетворительно (рис. 7).

 

Рис. 6

 

Рис. 7




Поделиться с друзьями:


Дата добавления: 2014-01-07; Просмотров: 435; Нарушение авторских прав?; Мы поможем в написании вашей работы!


Нам важно ваше мнение! Был ли полезен опубликованный материал? Да | Нет



studopedia.su - Студопедия (2013 - 2025) год. Все материалы представленные на сайте исключительно с целью ознакомления читателями и не преследуют коммерческих целей или нарушение авторских прав! Последнее добавление




Генерация страницы за: 1.221 сек.