Студопедия

КАТЕГОРИИ:


Архитектура-(3434)Астрономия-(809)Биология-(7483)Биотехнологии-(1457)Военное дело-(14632)Высокие технологии-(1363)География-(913)Геология-(1438)Государство-(451)Демография-(1065)Дом-(47672)Журналистика и СМИ-(912)Изобретательство-(14524)Иностранные языки-(4268)Информатика-(17799)Искусство-(1338)История-(13644)Компьютеры-(11121)Косметика-(55)Кулинария-(373)Культура-(8427)Лингвистика-(374)Литература-(1642)Маркетинг-(23702)Математика-(16968)Машиностроение-(1700)Медицина-(12668)Менеджмент-(24684)Механика-(15423)Науковедение-(506)Образование-(11852)Охрана труда-(3308)Педагогика-(5571)Полиграфия-(1312)Политика-(7869)Право-(5454)Приборостроение-(1369)Программирование-(2801)Производство-(97182)Промышленность-(8706)Психология-(18388)Религия-(3217)Связь-(10668)Сельское хозяйство-(299)Социология-(6455)Спорт-(42831)Строительство-(4793)Торговля-(5050)Транспорт-(2929)Туризм-(1568)Физика-(3942)Философия-(17015)Финансы-(26596)Химия-(22929)Экология-(12095)Экономика-(9961)Электроника-(8441)Электротехника-(4623)Энергетика-(12629)Юриспруденция-(1492)Ядерная техника-(1748)

Уравнение Бернулли




Так называется уравнение

. (15)

где (при m = 0 уравнение линейно, при m = 1 - с разделяющимися переменными). Это уравнение решается одним из следующих способов:
1. Уравнение Бернулли сводится к линейному подстановкой z = y 1- m (при m >1 может быть потеряно решение y = 0). Действительно, , ; после деления уравнения (15) на ym получим , или - линейное уравнение.
Пример: (уравнение Бернулли, m = 2). Подстановка . Решаем полученное линейное уравнение: .
2. Можно сразу решать уравнение Бернулли методом, которым решаются линейные уравнения, т.е. заменой y (x) = u (x) v (x): из этого выражения находим u (x), и y (x) = u (x) v (x).
Пример: решить задачу Коши Как и в предыдущем примере, это уравнение не попадает ни под один из рассмотренных типов: оно не является ни уравнением с разделяющимися переменными (наличие суммы x 2 + y), ни уравнением с однородной правой частью (слагаемые разных порядков - первого и второго в этой сумме), ни линейным, ни Бернулли (другая структура). Попробуем опять представим это уравнение как уравнение относительно x = x (y): Это уже уравнение Бернулли с m = -1. Начальное условие примет вид x (1) = 2. Решаем уравнение: . Тогда . Это общее решение уравнения (утерянное решение y = 0 не удовлетворяет начальному условию). Ищем частное решение, удовлетворяющее начальному условию: ; решение задачи Коши: .
9. Уравнение в полных дифференциалах. Так называется уравнение вида

P (x, y) dx + Q (x, y) dy = 0. (16)

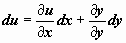
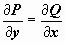
(P (x, y), Q (x, y) - непрерывно дифференцируемы) в случае, если его левая часть является полным дифференциалом некоторой функции u (x, y), т.е. если существует такая функция u (x, y), что . Необходимым и достаточным условием существования такой функции является условие . Если (16) - уравнение в полных дифференциалах, то его правая часть равна , т.е. (16) принимает вид du (x, y) = 0. На решении y (x) получим du (x, y (x)) = 0, следовательно, u (x, y (x)) = C, где C - произвольная постоянная. Соотношение u (x, y) = C и есть общее решение уравнения в полных дифференциалах.
Для нахождения функции u (x, y) решается система уравнений Из первого уравнения этой системы находим с точностью до произвольной дифференцируемой по y функции (эта функция играет роль постоянной интегрирования; так как интегрирование ведётся по переменной x); затем из второго уравнения определяется .
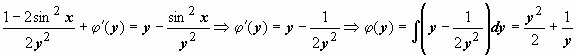
Пример: найти общее решение уравнения . Убедимся, что это - уравнение в полных дифференциалах. Здесь ; , т.е. это действительно уравнение рассматриваемого типа. Ищем функцию u (x, y) такую, что Из первого уравнения . Дифференцируем эту функцию по y и приравниваем выражению, стоящему во втором уравнении системы: . Если мы правильно решаем это уравнение (т.е. правильно определили его тип и правильно выполнили предыдущие действия), то в полученном уравнении для должны остаться только члены, зависящие от y. Действительно, представляя как , получим . Следовательно, , и общее решение уравнения имеет вид .




Поделиться с друзьями:


Дата добавления: 2014-01-07; Просмотров: 544; Нарушение авторских прав?; Мы поможем в написании вашей работы!


Нам важно ваше мнение! Был ли полезен опубликованный материал? Да | Нет



studopedia.su - Студопедия (2013 - 2025) год. Все материалы представленные на сайте исключительно с целью ознакомления читателями и не преследуют коммерческих целей или нарушение авторских прав! Последнее добавление




Генерация страницы за: 0.008 сек.