Студопедия

КАТЕГОРИИ:


Архитектура-(3434)Астрономия-(809)Биология-(7483)Биотехнологии-(1457)Военное дело-(14632)Высокие технологии-(1363)География-(913)Геология-(1438)Государство-(451)Демография-(1065)Дом-(47672)Журналистика и СМИ-(912)Изобретательство-(14524)Иностранные языки-(4268)Информатика-(17799)Искусство-(1338)История-(13644)Компьютеры-(11121)Косметика-(55)Кулинария-(373)Культура-(8427)Лингвистика-(374)Литература-(1642)Маркетинг-(23702)Математика-(16968)Машиностроение-(1700)Медицина-(12668)Менеджмент-(24684)Механика-(15423)Науковедение-(506)Образование-(11852)Охрана труда-(3308)Педагогика-(5571)Полиграфия-(1312)Политика-(7869)Право-(5454)Приборостроение-(1369)Программирование-(2801)Производство-(97182)Промышленность-(8706)Психология-(18388)Религия-(3217)Связь-(10668)Сельское хозяйство-(299)Социология-(6455)Спорт-(42831)Строительство-(4793)Торговля-(5050)Транспорт-(2929)Туризм-(1568)Физика-(3942)Философия-(17015)Финансы-(26596)Химия-(22929)Экология-(12095)Экономика-(9961)Электроника-(8441)Электротехника-(4623)Энергетика-(12629)Юриспруденция-(1492)Ядерная техника-(1748)

Modus Tollens




Modus Ponens

 

Умова A

 

Імплікація AB

 

Висновок B

 

Нехай судження А – «це літак», а судження В – «він літає». Від-повідно до правила modus ponens, якщо А правильне, то і В правильне. Іншими словами, з істинності передумови та імплікації випливає іс-тинність висновку.

 

 

Умова          
B  
Імплікація AB  
         
Висновок          
  A  

 

У цьому випадку з істинності передумови та імплікації випливає істинність висновку. Наприклад, якщо «він не літає», то «це не літак».

 

Наведені вище дві (із багатьох існуючих) схеми висновку в двійковій логіці можна узагальнити на випадок нечіткості.

7.2. Правила висновку в нечіткій логіці

 

Припустимо, що наявні у правилах modus ponens і modus tollens судження характеризуються деякими нечіткими множинами. Далі буде записувати залежності типу «якщо А, то В» використовуючи службові слова мов програмування: if A then B.

 

 


 

Modus Ponens        
  Умова x is А′  
  Імплікація if x is A then y is B  
           
  Висновок y is B′  
Modus Tollens        
  Умова y is not B′  
  Імплікація if x is A then y is B,  
         
  Висновок x is not A′  

 

де А, А′, В, В′ – нечіткі множини, а x і y – нечіткі лінгвістичні змінні.

 

7.3. Нечітка імплікація

 

Функції належності в логічних висновках залежать від функції

належності нечіткої імплікації , рівнозначної деякому

нечіткому відношенню . Подамо різні способи задання функ-ції на основі відомих функцій належності і .

Нехай А і В – це нечіткі множини, , . Нечіткою імплі-кацією називають відношення R, визначене на X × Y, що відповідає таким правилам:

1. Правило типу «мінімум» (правило Мамдані)

 

 

2. Правило типу «добуток» (правило Ларсена)

 

 

3. Правило Лукашевича

 

 

4. Правило типу «максимум-мінімум» (правило Заде)

 

 

 


5. Бінарне правило (правило Кліна–Дейна)

µ A B (x, y) = [ 1- µ A (x)]∨ µ B (y) = max [ 1- µ A (x),µ B (y) ].

Окрім наведених є й інші означення нечіткої імплікації.

 

7.4. Нечіткий логічний висновок за методом Мамдані

Механізм нечіткого логічного висновку (inference) ґрунтується на

знаннях, сформованих спеціалістами цієї предметною галузі у вигляді сукупності нечітких породжувальних правил (правил логічного висновку):

if x 1 is A 1 and x 2 is A 2 andxn is An then y is B

Частину правила перед ключовим словом then («то») називають

умовою або передумовою (antecendent), а завершальну частину «y є

В» – наслідком або висновком (consequent).

Проілюструємо механізм нечіткого логічного висновку на прикладі обчислень значень функції y = f (x 1, x 2). Припустимо, що маємо базу знань, яка складається з двох правил:

R1: if x 1 is A 11 and x 2 is A 22 then y is B 1 ,

R2: if x 1 is A 12 or x 2 is A 22 then y is B 2 ,

де Aij і Bi – це нечіткі множини, визначені для відповідних нечітких

змінних, котрі мають функції належностей µ Aij (x) і µ Bj (y).

Тепер за наданими значеннями x 1 = x 10 і x 2 = x 20 знайдемо конкретне y 0 . Слід зазначити, що цей приклад легко узагальнити для довільної кілдькості вхідних (x) і вихідних (y) змінних.

Для логічного висновку приходимо за чотири кроки:

Крок 1. Введення нечіткості (fuzzification). Для чітко заданих вихідних значень розраховують ступені належності до окремих множин. Для розглядуваного прикладу визначають числові значення µ A 1 j (x 10) і µ A 2 j (x 20).

 

 


Нечітка імплікація. Знаходять функції належності перед

Крок 2. Крок 3. Крок 4.
умов кожного окремого правила за конкретних вхідних сигналів

α = µ A 1 j (x 10) ∩ µ A 2 j (x 20) – для оператора and.

j

α = µ A 1 j (x 10) ∪µ A 2 j (x 20) – для оператора or.

j

Потім знаходять вислідні функції належності кожного правила

j
µ (y) = αj∩µ Bj (y)

Нечітка композиція (aggregation). Знаходять вислідну функцію належності всієї сукупності правил при вхідних

сигналах x 10 і x 20 : µ(y) = µ1(y) ∪ µ2(y).

 

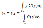
Зведення до чіткості (defuzzification). Використовують, коли потрібно перетворити вихідну функцію належності у

y 0 . Крім розглянутих є багато різних методів зведення до чіткості, але найбільш поширений центроїдний метод. Якщо в наведеному алгоритмі логічна операція перетину реалізується як функція «мінімум», а об’єднання – як «максимум» (рис. 7.1), то це алгоритм Мамдані (або Мамдані–Заде).   7.5. Методи зведення до чіткості Одним з найбільш поширених методів зведення до чіткості (defuzzification) є центроїдний метод:
конкретне значення
-∞
∞ ∫

 

 

y µ(y) dy

∫ -∞
y 0 = yc =.
(7.1)

µ(y) dy

 

Як бачимо формула (7.1) досить важка для обчислень, тож часто в практичних розрахунках виконують наближені обчислення, замі нюючи інтеграли відповідними сумами.

µA11 µA21 µB1

 

 

µA12 µA22 µB2

 

 

 

x 10 x 20

µΣ

 

Вхідні сигнали

y 0

Рис. 7.1. Ілюстрація роботи алгоритму Мамдані

На практиці також часто використовуються такі методи:

– мінімальний максимум: результат ycl – найменша точка, в якій

µ(y) досягає максимуму;

– максимальний максимум: ycr – найбільша точка, в якій µ(y)

досягає максимуму;

mi =1
m

– середній максимум: y 0 = ycm = yi max, де yi max – точки, в яких

µ(y) досягає локальних максимумів, m – кількість максимумів;

– зведення до чіткості по висоті: елементи області визначення R,

для яких значення функції належності, менші ніж певний рівень α, до

 


до уваги не беруть; чітке значення знаходять за такою

де C α – нечітка множина α-рівня.

7.6. Нечіткий логічний висновок за методом Сугено

На практиці широко застосовують алгоритм нечіткого логічного

висновку Сугено (Sugeno), відомий також як алгоритм Такагі–Сугено–

Канга (TSK). Відмінною рисою цього алгоритму є простота обчислень.

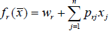
Проджувальні правила в алгоритмі Сугено мають такий вигляд:

if x 1 is A 1 and x 2 is A 2 andxn is An then y = fr (x 1,..., xn),

де fr – звичайна чітка функція; r – номер правила.

Принципова відмінність від алгоритму Мамдані в цьому разі –

висновок, який подають у формі функціональної залежності.

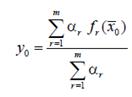
Реалізація алгоритму Сугено складається із трьох кроків:

Крок 1. Введення нечіткості. Цілком аналогічне алгоритмові Мам-

дані.

Крок 2. Нечітка імплікація. Знаходяться функції належності перед-

умов кожного окремого правила за конкретних вхідних сиг-

налів xi 0 :

α r , r =1, 2,..., m,

де m – кількість породжувальних правил. У класичному ал-

горитмі Сугено логічна операція перетину реалізується як

min.

Крок 3. Зведення до чіткості. Визначається чітке значення вихідної

змінної:


Як функцію fr часто використовують поліноми нульового порядку:

Або першого порядку:,, де wr і prj – деякі сталі.

 

Їх називають алгоритмами Сугено нульового або першого порядку відповідно.

 

Зазначимо, що відомий алгоритм Ванга–Менделя відрізняється

від алгоритму Сугено нульового порядку тільки тим, що ступінь на-

лежності передумов правил у ньому знаходять за допомогою операції

множення.

Існує безліч алгоритмів нечіткого висновку, які відрізняються на-

бором вихідних правил, видом функцій належності, способами нечіт-

кої імплікації та композиції, а також методом зведення до чіткості.

 

 

8. СИНТЕЗ СИСТЕМ З НЕЧІТКОЮ ЛОГІКОЮ




Поделиться с друзьями:


Дата добавления: 2014-11-16; Просмотров: 540; Нарушение авторских прав?; Мы поможем в написании вашей работы!


Нам важно ваше мнение! Был ли полезен опубликованный материал? Да | Нет



studopedia.su - Студопедия (2013 - 2026) год. Все материалы представленные на сайте исключительно с целью ознакомления читателями и не преследуют коммерческих целей или нарушение авторских прав! Последнее добавление




Генерация страницы за: 0.013 сек.