Студопедия

КАТЕГОРИИ:


Архитектура-(3434)Астрономия-(809)Биология-(7483)Биотехнологии-(1457)Военное дело-(14632)Высокие технологии-(1363)География-(913)Геология-(1438)Государство-(451)Демография-(1065)Дом-(47672)Журналистика и СМИ-(912)Изобретательство-(14524)Иностранные языки-(4268)Информатика-(17799)Искусство-(1338)История-(13644)Компьютеры-(11121)Косметика-(55)Кулинария-(373)Культура-(8427)Лингвистика-(374)Литература-(1642)Маркетинг-(23702)Математика-(16968)Машиностроение-(1700)Медицина-(12668)Менеджмент-(24684)Механика-(15423)Науковедение-(506)Образование-(11852)Охрана труда-(3308)Педагогика-(5571)Полиграфия-(1312)Политика-(7869)Право-(5454)Приборостроение-(1369)Программирование-(2801)Производство-(97182)Промышленность-(8706)Психология-(18388)Религия-(3217)Связь-(10668)Сельское хозяйство-(299)Социология-(6455)Спорт-(42831)Строительство-(4793)Торговля-(5050)Транспорт-(2929)Туризм-(1568)Физика-(3942)Философия-(17015)Финансы-(26596)Химия-(22929)Экология-(12095)Экономика-(9961)Электроника-(8441)Электротехника-(4623)Энергетика-(12629)Юриспруденция-(1492)Ядерная техника-(1748)

Парабола и ее свойства




Кривые линии 2-го порядка.

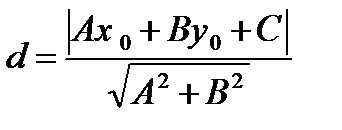
Расстояние от точки до прямой на плоскости и до плоскости в пространстве.

1. Ax+By+C=0, M0(x0,y0)

2. Пусть плоскость задана ур-ем Ax+By+Cz+D=0

 

 

Кривые 2го порядка описываются с помощью общего ур-я:

Ax2+2Bxy+Cy2+2Dx+2Ey+F=0, где

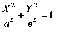
а) Каноническое ур-е эллипса

- Каноническое ур-е эллипса

Если a=b, то x2+b2=a2 - ур-е окружности.

б) Ур-е гиперболы: x2/a2-y2/b2=1

в) ур-е параболы: y2=2px или y=ax2

г) ур-е сферы: x2+y2+z22 (r2=(x-a)2+(y-b)2+(z-c)2)

д) ур-е эллипса: x2/a2-y2/b2+z2/c2=1

 

Множество точек плоскости, координаты которых по отношению к системе декартовых координат удовлетворяет уравнению y=ax2, где х и у - текущие координаты, а- нек. число, наз. параболой.

Если вершина нах. в О(0,0), то ур-е примет вид

y2=2px-симметрично отн. оси ОХ

х2=2pу-симметрично отн. оси ОУ

Точка F(p/2,0) наз. фокусом параболы, а прямая x=-p/2 - ее директриса.

Любой точке М(х,у), принадлежащей параболе, расстояние до фокуса = r=p/2

Св-ва:

1. парабола предст. собой ¥ точек плоскости, равноотстающих от фокуса и от директрисы y=ax2.

 

25.Эллипс и его св-ва:

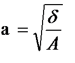
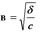
Кривая второго порядка наз. эллипсом если коэффициенты А и L имеют одинаковые знаки

Аx2+Cy2=d

ур.-е наз. канонич. ур.-ем эллипса, где При а=в представляет собой ур-е окружности х2+y22

 

Точки F1(-c,0) и F2(c,0) - наз. фокусами эллипса а.

Отношение e=с/а наз. его эксцентриситетом (0<=e<=1)

Точки A1,A2,B1,B2 -вершины эллипса.

Св-во:
Для любой точки эллипса сумма расстояний этой точки до фокусов есть величина постоянной, =2а.

 




Поделиться с друзьями:


Дата добавления: 2014-11-16; Просмотров: 620; Нарушение авторских прав?; Мы поможем в написании вашей работы!


Нам важно ваше мнение! Был ли полезен опубликованный материал? Да | Нет



studopedia.su - Студопедия (2013 - 2025) год. Все материалы представленные на сайте исключительно с целью ознакомления читателями и не преследуют коммерческих целей или нарушение авторских прав! Последнее добавление




Генерация страницы за: 0.006 сек.