Студопедия

КАТЕГОРИИ:


Архитектура-(3434)Астрономия-(809)Биология-(7483)Биотехнологии-(1457)Военное дело-(14632)Высокие технологии-(1363)География-(913)Геология-(1438)Государство-(451)Демография-(1065)Дом-(47672)Журналистика и СМИ-(912)Изобретательство-(14524)Иностранные языки-(4268)Информатика-(17799)Искусство-(1338)История-(13644)Компьютеры-(11121)Косметика-(55)Кулинария-(373)Культура-(8427)Лингвистика-(374)Литература-(1642)Маркетинг-(23702)Математика-(16968)Машиностроение-(1700)Медицина-(12668)Менеджмент-(24684)Механика-(15423)Науковедение-(506)Образование-(11852)Охрана труда-(3308)Педагогика-(5571)Полиграфия-(1312)Политика-(7869)Право-(5454)Приборостроение-(1369)Программирование-(2801)Производство-(97182)Промышленность-(8706)Психология-(18388)Религия-(3217)Связь-(10668)Сельское хозяйство-(299)Социология-(6455)Спорт-(42831)Строительство-(4793)Торговля-(5050)Транспорт-(2929)Туризм-(1568)Физика-(3942)Философия-(17015)Финансы-(26596)Химия-(22929)Экология-(12095)Экономика-(9961)Электроника-(8441)Электротехника-(4623)Энергетика-(12629)Юриспруденция-(1492)Ядерная техника-(1748)

Единичная матрица




Диагональная матрица, все диагональные элементы которой равны единице (), называется единичной матрицей и обозначается символом E.
Элементы единичной матрицы могут быть представлены с помощью дельта-символа Кронекера:

  . (1)  

В матричной алгебре матрица E играет ту же роль, что число единица в системе вещественных чисел, а именно – при умножении на единичную матрицу (справа или слева) исходная матрица не изменяется:

  . (2)  

Действительно, пусть – произвольная матрица размера m × n. Рассмотрим i, j -ый элемент матричного произведения AE, где E – единичная матрица n -го порядка.
Согласно определению матричного произведения и с учетом свойств дельта-символа,

  (3)  

для любых допустимых значений индексов i, j и, следовательно, AE = A.

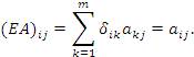
Рассмотрим теперь i, j -ый элемент матричного произведения EA, где E – единичная матрица m -го порядка:

  (4)  

Попарное равенство матричных элементов для всех i,j влечет за собой равенство соответствующих матриц: EA = A.

Пример 1. Пусть - матрица второго порядка с произвольными элементами. Покажем непосредственным вычислением, что матрица вида играет в матричной алгебре роль единицы.

 

***

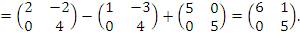
Пример 2. Пусть – произвольная 2×3 матрица. Проверить прямым вычислением, что матрица A не изменяется при умножении справа и слева на единичные матрицы соответствующих порядков. Решение Заметим, что в качестве единичной матрицы в произведении EA должна быть выбрана матрица второго порядка, тогда как в произведении AE под единичной матрицей следует понимать матрицу третьего порядка.

 

***

Пример 3. Пусть Убедиться прямым вычислением в справедливости свойства Решение

 

***

Пример 4. Даны матрицы Паули: где i – мнимая единица (i 2 = –1). Показать, что квадрат любой из матриц Паули есть единичная матрица. Решение

 

***

Пример 5. Пусть . Найти f (A), если Решение. При переходе к матричной функции f (A), переменную x следует заменить матрицей A, а числовое слагаемое 5 – матрицей 5 E, где E – единичная матрица. Следовательно,



Поделиться с друзьями:


Дата добавления: 2014-12-16; Просмотров: 826; Нарушение авторских прав?; Мы поможем в написании вашей работы!


Нам важно ваше мнение! Был ли полезен опубликованный материал? Да | Нет



studopedia.su - Студопедия (2013 - 2025) год. Все материалы представленные на сайте исключительно с целью ознакомления читателями и не преследуют коммерческих целей или нарушение авторских прав! Последнее добавление




Генерация страницы за: 0.01 сек.