Студопедия

КАТЕГОРИИ:


Архитектура-(3434)Астрономия-(809)Биология-(7483)Биотехнологии-(1457)Военное дело-(14632)Высокие технологии-(1363)География-(913)Геология-(1438)Государство-(451)Демография-(1065)Дом-(47672)Журналистика и СМИ-(912)Изобретательство-(14524)Иностранные языки-(4268)Информатика-(17799)Искусство-(1338)История-(13644)Компьютеры-(11121)Косметика-(55)Кулинария-(373)Культура-(8427)Лингвистика-(374)Литература-(1642)Маркетинг-(23702)Математика-(16968)Машиностроение-(1700)Медицина-(12668)Менеджмент-(24684)Механика-(15423)Науковедение-(506)Образование-(11852)Охрана труда-(3308)Педагогика-(5571)Полиграфия-(1312)Политика-(7869)Право-(5454)Приборостроение-(1369)Программирование-(2801)Производство-(97182)Промышленность-(8706)Психология-(18388)Религия-(3217)Связь-(10668)Сельское хозяйство-(299)Социология-(6455)Спорт-(42831)Строительство-(4793)Торговля-(5050)Транспорт-(2929)Туризм-(1568)Физика-(3942)Философия-(17015)Финансы-(26596)Химия-(22929)Экология-(12095)Экономика-(9961)Электроника-(8441)Электротехника-(4623)Энергетика-(12629)Юриспруденция-(1492)Ядерная техника-(1748)

Лінійний зв'язок




Лінійний зв'язок характеризує прямоліній­ну залежність між двома змінними. Знаходжен­ня зв'язку полягає в оцінці коефіцієнтів рівняння регресії.

Розглянемо найпростішу модель регресійного аналізу — двомірну. Рівняння виду називають лінійною регресійною моделлю. Змінна величина X називається незалежною:змінною, змінна Y — залежною змінною, U— член похибки (залишок), який дорівнює різниці між фактичними значеннями і зна­ченнями, які визначаються з рівняння регресії. Завдання полягає в оцінці па­раметрів - коефіцієнтів а і — на основі значень спостереження (X, Y). Мо­дель лінійної регресії, яка описує залежність між значеннями (Хi , Уi), / = 1, 2....р, у вибірці, що містить Р спостережень, подається у вигляді:

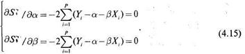
Диференціюючи S відповідно за а і b і прирівнявши значення часткових до нуля, ми отримаємо систему лінійних рівнянь для а і Ь:

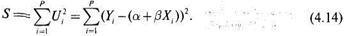
Методом найменших квадратів називають процедуру пошуку таких значень параметрів (а, Ь), які при підстановці р пар змінних у цю формулу, мінімізують суму квадратів регресійних залишків

 

Систему такого виду називають системою нормальних рівнянь. Розв'язок си­стеми, тобто знаходження а і В, визначається таким чином -

де — середні значення змінних.

Значення на прямій регресії, яке отримаємо методом найменших квадратів,

називають розрахунковим або теоретичним значенням Yi, яке відповідає Хi. Різ­ниця фактичного і розрахункового значення:

є залишком найменших квадратів. Залишок є розрахунковим значенням випад­кової похибки, яку неможливо спостерігати.

Для визначення щільності зв'язку між двома змінними часто використову­ють коефіцієнт детермінації, який визначають так:

Оскільки зв'язок між ознаками може бути не тільки різної щільності (табл. 4.2), а й напрямку, то розраховують коефіцієнт кореляції г, який змінюєть­ся від -1 до +1, а знак свідчить про пряму (+) залежність або обернену (-).

де — середнє значення добутку змінних Хі К; — дисперсія ознаки X; — дисперсія ознаки Y.

Таблиця 4.2

Сила зв'язку між двома змінними залежно від величини коефіцієнта кореляції

 

Коефіцієнт кореляції Щільність зв'язку
Від ±0,81 до ±1,00 Сильна
Від ±0,61 до ±0,80 Помірна
Від ±0,41 до + 0,60 Слабка
Від ±0,21 до ±0,40 Дуже слабка
Від 0,00 до + 0,20 Відсутня

Криволінійний зв'язок є більш складним, але метод найменших квадратів надає можли­вість визначати коефіцієнти рівняння регресії.

 




Поделиться с друзьями:


Дата добавления: 2014-11-29; Просмотров: 533; Нарушение авторских прав?; Мы поможем в написании вашей работы!


Нам важно ваше мнение! Был ли полезен опубликованный материал? Да | Нет



studopedia.su - Студопедия (2013 - 2026) год. Все материалы представленные на сайте исключительно с целью ознакомления читателями и не преследуют коммерческих целей или нарушение авторских прав! Последнее добавление




Генерация страницы за: 0.008 сек.