Студопедия

КАТЕГОРИИ:


Архитектура-(3434)Астрономия-(809)Биология-(7483)Биотехнологии-(1457)Военное дело-(14632)Высокие технологии-(1363)География-(913)Геология-(1438)Государство-(451)Демография-(1065)Дом-(47672)Журналистика и СМИ-(912)Изобретательство-(14524)Иностранные языки-(4268)Информатика-(17799)Искусство-(1338)История-(13644)Компьютеры-(11121)Косметика-(55)Кулинария-(373)Культура-(8427)Лингвистика-(374)Литература-(1642)Маркетинг-(23702)Математика-(16968)Машиностроение-(1700)Медицина-(12668)Менеджмент-(24684)Механика-(15423)Науковедение-(506)Образование-(11852)Охрана труда-(3308)Педагогика-(5571)Полиграфия-(1312)Политика-(7869)Право-(5454)Приборостроение-(1369)Программирование-(2801)Производство-(97182)Промышленность-(8706)Психология-(18388)Религия-(3217)Связь-(10668)Сельское хозяйство-(299)Социология-(6455)Спорт-(42831)Строительство-(4793)Торговля-(5050)Транспорт-(2929)Туризм-(1568)Физика-(3942)Философия-(17015)Финансы-(26596)Химия-(22929)Экология-(12095)Экономика-(9961)Электроника-(8441)Электротехника-(4623)Энергетика-(12629)Юриспруденция-(1492)Ядерная техника-(1748)

Квазичастотное регулирование скорости двигателя




Схема рис.8.15 содержит блок квазичастотного управления БКЧУ, который с помощью схемы уп­равления СИФУ обеспечивает пери-оди-ческое подключение АД к источнику питания и его отключение. За счет изменения частоты и длительности интервалов включения и отключения АД мо­гут быть получены механические характеристики, позволяющие ре­гулировать скорость двигателя или его момент при пуске.

Рис.8.15. Схема асинхронного ЭП с квазичастотным управлением

Пример 8.2. Трехфазный четырехполюсный АД на напряжение Uл = 380В и частоту f = 50 Гц с обмотками, соединенными «в звезду», имеет следующие параметры Т-образной схемы замещения (см. рис. 7.10):r1 = 1,01 Ом; r2 = 0,69 Ом; x1 = 1,3 Ом; х'2 = 1,94 Ом; х12 = 43,5 Ом.

Потерями холостого хода (XX) можно пренебречь. Нагрузочный момент, который пропорционален квадрату скорости, равен 43Нм при частоте вращения п = 1470 мин-1. При условии, что двигатель работает с частотой вращения 1350 мин-1, а регулирование осуществляется по схе-ме, приведенной на рис.8.14,а, определить: момент нагрузки, ток рото-раЦ, напряжение статора UИ, потребляемый двигателем ток, потребля-емую мощность, скольжение при максимальном токе, максимальный ток ротора, скорость при максимальном токе ротора, момент при мак-симальном токе.

Решение:

.

Поскольку по условию момент пропорционален квадрату скорости, то

,

ω w= 1470п/30 = 153,86 рад/с при М = 41 Н-м.

Тогда КМ = 41/153,862 = 1,73*10-3 Н*м/(рад/с); ω w= 1350п/30 = 141,3 рад/с.

Определяем скольжение двигателя для этой скорости:

Момент двигателя при ωw = 141,3 рад/с:

М = КМωw2 = 1,73-*10‑3.141,32 = 34,54 Н-м.

Из уравнений (8.1)...(8.3) определяем ток ротора I2’, пренебрегая потерями XX:

Фазное напряжение статора

Входное сопротивление схемы замещения АД определяется зависимостью

Находим cosφ = 0,714. Входная мощность:

Тогда

Скольжение, при котором ток ротора I2’максимален, находится из выражения

Отсюда s = 1/3.

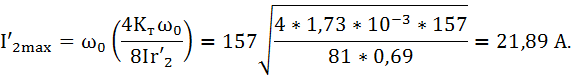
Подставив это значение в выражение для тока, получим максимальное значение тока ротора:

Частота вращения при максимальном токе

Используя уравнение (8.4), определим момент при максималь­ном токе:

(8.5)




Поделиться с друзьями:


Дата добавления: 2014-11-29; Просмотров: 1769; Нарушение авторских прав?; Мы поможем в написании вашей работы!


Нам важно ваше мнение! Был ли полезен опубликованный материал? Да | Нет



studopedia.su - Студопедия (2013 - 2026) год. Все материалы представленные на сайте исключительно с целью ознакомления читателями и не преследуют коммерческих целей или нарушение авторских прав! Последнее добавление




Генерация страницы за: 0.012 сек.