Студопедия

КАТЕГОРИИ:


Архитектура-(3434)Астрономия-(809)Биология-(7483)Биотехнологии-(1457)Военное дело-(14632)Высокие технологии-(1363)География-(913)Геология-(1438)Государство-(451)Демография-(1065)Дом-(47672)Журналистика и СМИ-(912)Изобретательство-(14524)Иностранные языки-(4268)Информатика-(17799)Искусство-(1338)История-(13644)Компьютеры-(11121)Косметика-(55)Кулинария-(373)Культура-(8427)Лингвистика-(374)Литература-(1642)Маркетинг-(23702)Математика-(16968)Машиностроение-(1700)Медицина-(12668)Менеджмент-(24684)Механика-(15423)Науковедение-(506)Образование-(11852)Охрана труда-(3308)Педагогика-(5571)Полиграфия-(1312)Политика-(7869)Право-(5454)Приборостроение-(1369)Программирование-(2801)Производство-(97182)Промышленность-(8706)Психология-(18388)Религия-(3217)Связь-(10668)Сельское хозяйство-(299)Социология-(6455)Спорт-(42831)Строительство-(4793)Торговля-(5050)Транспорт-(2929)Туризм-(1568)Физика-(3942)Философия-(17015)Финансы-(26596)Химия-(22929)Экология-(12095)Экономика-(9961)Электроника-(8441)Электротехника-(4623)Энергетика-(12629)Юриспруденция-(1492)Ядерная техника-(1748)

Решение. Решение типовых задач




Решение типовых задач

Пример 1

Требуется:

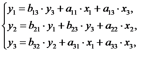
1. Оценить следующую структурную модель на идентификацию:

 

 

2. Исходя из приведенной формы модели уравнений

 

 

найти структурные коэффициенты модели.

1. Модель имеет три эндогенные 1, у2, уз) и три экзогенные 1, х2, х3) переменные.

Проверим каждое уравнение системы на необходимое (Н) и достаточное (Д) условия идентификации.

Первое уравнение.

Н: эндогенных переменных - 2 (у 1 у3),

отсутствующих экзогенных - 1 (х2).

Выполняется необходимое равенство: 2 =1 + 1, следовательно, уравнение точно идентифицируемо.

Д: в первом уравнении отсутствуют у2 и х2 - Построим матрицу из коэффициентов при них в других уравнениях системы:

 

Уравнение Отсутствующие переменные
  y2 х2
Второе -1 а22
Третье b32  

 

Det А = -1 ∙ 0 – b32 ∙a22 0.

 

Определитель матрицы не равен 0, ранг матрицы равен 2; следовательно, выполняется достаточное условие идентификации, и первое уравнение точно идентифицируемо.

Второе уравнение.

Н: эндогенных переменных - 3 1, у2, уз),

отсутствующих экзогенных - 2 (х1,x3)

Выполняется необходимое равенство: 3 = 2 + 1, следовательно, уравнение точно идентифицируемо.

Д: во втором уравнении отсутствуют xi и х3. Построим матрицу из коэффициентов при них в других уравнениях системы:

 

 

Уравнение Отсутствующие переменные
x1 x з
Первое а11 а13
Третье а31 а33

 

Det А = а11 а33 - а31а13 0.

Определитель матрицы не равен 0, ранг матрицы равен 2, следовательно, выполняется достаточное условие идентификации, и второе уравнение точно идентифицируемо.

Третье уравнение.

Н: эндогенных переменных - 2 2, у3),

отсутствующих экзогенных - 1 (х 2).

Выполняется необходимое равенство: 2=1 + 1, следовательно, уравнение точно идентифицируемо.

Д: в третьем уравнении отсутствуют у1 и х2. Построим матрицу из коэффициентов при них в других уравнениях системы:

 

 

Уравнение Отсутствующие переменные
у1 x2
Первое -1  
Второе b21 а22

 

DetA = -l a22 - b2l 0 0.

Определитель матрицы не равен 0, ранг матрицы равен 2, следовательно, выполняется достаточное условие идентификации, и третье уравнение точно идентифицируемо.

Следовательно, исследуемая система точно идентифицируема и может быть решена косвенным методом наименьших квадратов.

2. Вычислим структурные коэффициенты модели:

1) из третьего уравнения приведенной формы выразим х2 (так как его нет в первом уравнении структурной формы):

 

 

Данное выражение содержит переменные уз, х1 и х3, которые нужны для первого уравнения структурной формы модели (СФМ). Подставим полученное выражение х2 в первое уравнение приведенной формы модели (ПФМ):

 

 

2) во втором уравнении СФМ нет переменных х1 и х3. Структурные параметры второго уравнения СФМ можно будет определить в два этапа:

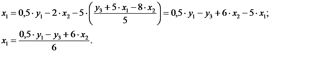
Первый этап: выразим х1 в данном случае из первого или третьего уравнения ПФМ. Например, из первого уравнения:

 

 

Подстановка данного выражения во второе уравнение ПФМ не решило бы задачу до конца, так как в выражении присутствует х3, которого нет в СФМ.

Выразим х3 из третьего уравнения ПФМ:

 

 

Подставим его в выражение х1:

Второй этап: аналогично, чтобы выразить х3 через искомые у1, у3 и х2, заменим в выражении хз значение х1 на полученное из первого уравнения ПФМ:

 

 

Следовательно,

x3 = 0,033 ∙ у3 + 0,083 ∙ у1 – 0,6x2.

 

Подставим полученные х1 и хз во второе уравнение ПФМ:

 

 

Это уравнение можно получить из ПФМ иным путем. Суммируя все уравнения, получим

 

 

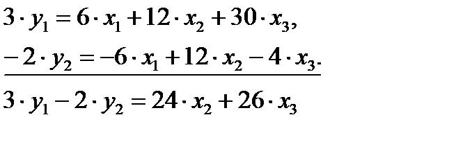
Далее из первого и второго уравнений ПФМ исключим х1 домножив первое уравнение на 3, а второе - на (-2) и просуммировав их:

 

 

Затем аналогичным путем из полученных уравнений исключаем х3, а именно:

 

 

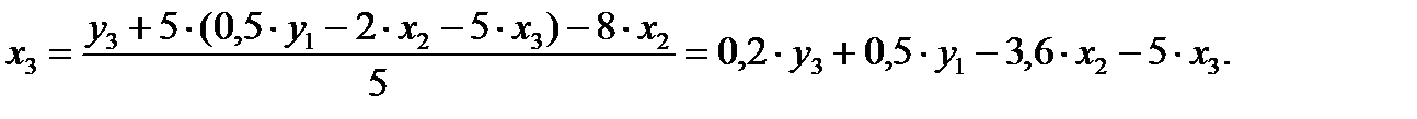
3) из второго уравнения ПФМ выразим х2, так как его нет в третьем уравнении СФМ:

 

 

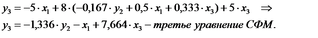
Подставим полученное выражение в третье уравнение ПФМ:

 

 

Таким образом, СФМ примет вид




Поделиться с друзьями:


Дата добавления: 2014-12-07; Просмотров: 724; Нарушение авторских прав?; Мы поможем в написании вашей работы!


Нам важно ваше мнение! Был ли полезен опубликованный материал? Да | Нет



studopedia.su - Студопедия (2013 - 2026) год. Все материалы представленные на сайте исключительно с целью ознакомления читателями и не преследуют коммерческих целей или нарушение авторских прав! Последнее добавление




Генерация страницы за: 0.01 сек.