Студопедия

КАТЕГОРИИ:


Архитектура-(3434)Астрономия-(809)Биология-(7483)Биотехнологии-(1457)Военное дело-(14632)Высокие технологии-(1363)География-(913)Геология-(1438)Государство-(451)Демография-(1065)Дом-(47672)Журналистика и СМИ-(912)Изобретательство-(14524)Иностранные языки-(4268)Информатика-(17799)Искусство-(1338)История-(13644)Компьютеры-(11121)Косметика-(55)Кулинария-(373)Культура-(8427)Лингвистика-(374)Литература-(1642)Маркетинг-(23702)Математика-(16968)Машиностроение-(1700)Медицина-(12668)Менеджмент-(24684)Механика-(15423)Науковедение-(506)Образование-(11852)Охрана труда-(3308)Педагогика-(5571)Полиграфия-(1312)Политика-(7869)Право-(5454)Приборостроение-(1369)Программирование-(2801)Производство-(97182)Промышленность-(8706)Психология-(18388)Религия-(3217)Связь-(10668)Сельское хозяйство-(299)Социология-(6455)Спорт-(42831)Строительство-(4793)Торговля-(5050)Транспорт-(2929)Туризм-(1568)Физика-(3942)Философия-(17015)Финансы-(26596)Химия-(22929)Экология-(12095)Экономика-(9961)Электроника-(8441)Электротехника-(4623)Энергетика-(12629)Юриспруденция-(1492)Ядерная техника-(1748)

Формулы алгебры логики




Рассмотрим содержание логики высказываний, используя язык алгебры логики, которая изучает строение логических высказываний (т.е. логических формул) и способы установления их истинности с помощью алгебраических методов.

Поставим в соответствие высказыванию P логическую переменную х, которая принимает значение 1, если Р истинно, 0, если Р ложно. Из логических переменных можно с помощью логических операций составлять различные конструкции, которые являются формулами алгебры логики.

Определение формулы:

а) любая логическая переменная является формулой;

б) если и формулы, то выражения , являются формулами;

в) никаких других формул, кроме построенных в а) и б) нет.

Если формула построена из логических переменных, принадлежащих множеству , то будем писать .

Действия логических операций задаются таблицами истинности, в каждой строке которых отмечены различные наборы значений переменных и соответствующее им значение формулы. Составим таблицы истинности логических операций в соответствии с их определением:

Т а б л и ц а 2.1.1

             
             
             
             

Таблицы истинности придают формулам смысл в отличие от формальных законов их построения, данных в определении формулы.

Исходя из таблиц истинности для логических операций, можно строить таблицы истинности для произвольных формул.

Пример 2.1.2 - Для формулы = таблица истинности имеет вид:

Т а б л и ц а 2.1.2

             
             
             
             
             
             
             
             

Введём новые важные логические операции, добавляя к пяти основным ещё три операции (тем самым расширим понятие логической формулы):

е) штрих Шеффера(антиконъюнкция). Обозначается .

По определению , или ;

ж) стрелка Пирса(антидизъюнкция). Обозначается .

По определению или ;

и) кольцевая сумма (логическое сложение, сложение по модулю два).

Обозначается . Определяется или .

Составим таблицы истинности этих операций, исходя из определений.

Т а б л и ц а 2.1.3

         
         
         
         

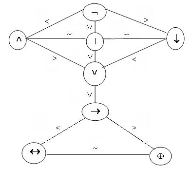
При тождественных преобразованиях, при составлении формул важно знать приоритеты операций (какая сильнее, какая слабее), как раскрывать скобки. Для этих целей приняты следующие соглашения:

а) внешние скобки не пишутся, например, вместо , будем писать ;

б) на множестве вводится транзитивное отношение

«>» - быть более сильным и отношение «~» - быть равносильным, по правилам, указанным на схеме:

Рисунок 2.1.1

Согласно этим соглашениям недостающие скобки в формуле расставляют последовательно, начиная с наиболее сильных связок и кончая наиболее слабыми, а для равносильных связок расстановка скобок выполняется слева направо.

Пример 2.1.3

а) в формуле скобки расставляются так: ;

б) в формуле скобки расставляются так: ;

в) в формуле скобки опустить нельзя, т.к. в силу наших соглашений выражению соответствует формула .




Поделиться с друзьями:


Дата добавления: 2014-12-27; Просмотров: 818; Нарушение авторских прав?; Мы поможем в написании вашей работы!


Нам важно ваше мнение! Был ли полезен опубликованный материал? Да | Нет



studopedia.su - Студопедия (2013 - 2026) год. Все материалы представленные на сайте исключительно с целью ознакомления читателями и не преследуют коммерческих целей или нарушение авторских прав! Последнее добавление




Генерация страницы за: 0.011 сек.