Студопедия

КАТЕГОРИИ:


Архитектура-(3434)Астрономия-(809)Биология-(7483)Биотехнологии-(1457)Военное дело-(14632)Высокие технологии-(1363)География-(913)Геология-(1438)Государство-(451)Демография-(1065)Дом-(47672)Журналистика и СМИ-(912)Изобретательство-(14524)Иностранные языки-(4268)Информатика-(17799)Искусство-(1338)История-(13644)Компьютеры-(11121)Косметика-(55)Кулинария-(373)Культура-(8427)Лингвистика-(374)Литература-(1642)Маркетинг-(23702)Математика-(16968)Машиностроение-(1700)Медицина-(12668)Менеджмент-(24684)Механика-(15423)Науковедение-(506)Образование-(11852)Охрана труда-(3308)Педагогика-(5571)Полиграфия-(1312)Политика-(7869)Право-(5454)Приборостроение-(1369)Программирование-(2801)Производство-(97182)Промышленность-(8706)Психология-(18388)Религия-(3217)Связь-(10668)Сельское хозяйство-(299)Социология-(6455)Спорт-(42831)Строительство-(4793)Торговля-(5050)Транспорт-(2929)Туризм-(1568)Физика-(3942)Философия-(17015)Финансы-(26596)Химия-(22929)Экология-(12095)Экономика-(9961)Электроника-(8441)Электротехника-(4623)Энергетика-(12629)Юриспруденция-(1492)Ядерная техника-(1748)

Ая итерация. Значит 1-ое приближение равно




Ая итерация.

Значит 1-ое приближение равно . Проверим выполнение условия (55). Так как

,

то вычисления продолжаем.

Значит 1-ое приближение равно . Проверим выполнение условия (55). Так как

,

то вычисления прекращаем, так как требуемая точность достигнута. Следовательно, искомое решение – с точностью до ε= 0,001.

Ответ. с точностью до ε= 0,001.

Пример 2. Методом простой итерации решить с точностью до ε= 0,01 систему линейных алгебраических уравнений:

.

Решение. Приведем систему к виду с диагональным преобладанием. Так как 4 > 1 + 2, то в первом уравнении преобладающим будет коэффициент при , а так как 3 > 1 + 1, то во втором уравнении – при и так как 5 > 1 + 2, то в третьем уравнении – при . Поэтому поменяем местами 1-ое и 2-ое уравнения системы и перепишем ее в виде:

.

Выразим из соответствующего уравнения соответствующее неизвестное:

.

Так как , то условие сходимости метода простой итерации выполнено. Вычисления будем проводить до момента выполнения неравенства

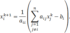
За начальное приближение возьмем вектор свободных членов , т.е. , а последовательные приближения будем вычислять по формуле

В данном случае имеем:

.




Поделиться с друзьями:


Дата добавления: 2014-12-27; Просмотров: 544; Нарушение авторских прав?; Мы поможем в написании вашей работы!


Нам важно ваше мнение! Был ли полезен опубликованный материал? Да | Нет



studopedia.su - Студопедия (2013 - 2026) год. Все материалы представленные на сайте исключительно с целью ознакомления читателями и не преследуют коммерческих целей или нарушение авторских прав! Последнее добавление




Генерация страницы за: 0.011 сек.