Студопедия

КАТЕГОРИИ:


Архитектура-(3434)Астрономия-(809)Биология-(7483)Биотехнологии-(1457)Военное дело-(14632)Высокие технологии-(1363)География-(913)Геология-(1438)Государство-(451)Демография-(1065)Дом-(47672)Журналистика и СМИ-(912)Изобретательство-(14524)Иностранные языки-(4268)Информатика-(17799)Искусство-(1338)История-(13644)Компьютеры-(11121)Косметика-(55)Кулинария-(373)Культура-(8427)Лингвистика-(374)Литература-(1642)Маркетинг-(23702)Математика-(16968)Машиностроение-(1700)Медицина-(12668)Менеджмент-(24684)Механика-(15423)Науковедение-(506)Образование-(11852)Охрана труда-(3308)Педагогика-(5571)Полиграфия-(1312)Политика-(7869)Право-(5454)Приборостроение-(1369)Программирование-(2801)Производство-(97182)Промышленность-(8706)Психология-(18388)Религия-(3217)Связь-(10668)Сельское хозяйство-(299)Социология-(6455)Спорт-(42831)Строительство-(4793)Торговля-(5050)Транспорт-(2929)Туризм-(1568)Физика-(3942)Философия-(17015)Финансы-(26596)Химия-(22929)Экология-(12095)Экономика-(9961)Электроника-(8441)Электротехника-(4623)Энергетика-(12629)Юриспруденция-(1492)Ядерная техника-(1748)

Упражнения. Перепишем систему в виде (38)




Решение.

Решение.

Перепишем систему в виде (38)

.

Выпишем матрицу системы

.

Найдем прогоночные коэффициенты, используя рекуррентные соотношения (41) и условия (42):

;

Теперь, используя равенства (40) и учитывая, что найдем значения остальных неизвестных:

;

;

.

Следовательно, учитывая, что исходная система имеет следующее решение:

.

Ответ. .

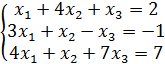
Пример 2. Решить систему методом прогонки

,

,

Перепишем систему в виде (38)

.

Выпишем матрицу системы

.

Найдем прогоночные коэффициенты, используя рекуррентные соотношения (41) и условия (42):

;

Теперь, используя равенства (40) и учитывая, что найдем значения остальных неизвестных:

;

.

Следовательно, учитывая, что исходная система имеет следующее решение:

.

Ответ. .

4.1 Определить число арифметических операций, которое требуется выполнить при решении методом Гаусса системы: а) с двумя неизвестными; б) с 4-мя неизвестными; в) с пятью неизвестными; г) с десятью неизвестными.

4.2 Решить систему методом Гаусса:

а) ; б) ; в) ; г) ; д) ; е) .

4.3 ешить систему методом Гаусса, используя способом выбора ведущего элемента по строке:

а) ; б) ; в) ; г) ; д) ; е) .

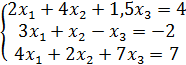
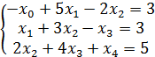
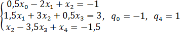
4.4 Решить систему методом прогонки:

а) ;

б) ;

в) ;

г) ;

д) ;

е) .




Поделиться с друзьями:


Дата добавления: 2014-12-27; Просмотров: 2227; Нарушение авторских прав?; Мы поможем в написании вашей работы!


Нам важно ваше мнение! Был ли полезен опубликованный материал? Да | Нет



studopedia.su - Студопедия (2013 - 2026) год. Все материалы представленные на сайте исключительно с целью ознакомления читателями и не преследуют коммерческих целей или нарушение авторских прав! Последнее добавление




Генерация страницы за: 0.011 сек.