Студопедия

КАТЕГОРИИ:


Архитектура-(3434)Астрономия-(809)Биология-(7483)Биотехнологии-(1457)Военное дело-(14632)Высокие технологии-(1363)География-(913)Геология-(1438)Государство-(451)Демография-(1065)Дом-(47672)Журналистика и СМИ-(912)Изобретательство-(14524)Иностранные языки-(4268)Информатика-(17799)Искусство-(1338)История-(13644)Компьютеры-(11121)Косметика-(55)Кулинария-(373)Культура-(8427)Лингвистика-(374)Литература-(1642)Маркетинг-(23702)Математика-(16968)Машиностроение-(1700)Медицина-(12668)Менеджмент-(24684)Механика-(15423)Науковедение-(506)Образование-(11852)Охрана труда-(3308)Педагогика-(5571)Полиграфия-(1312)Политика-(7869)Право-(5454)Приборостроение-(1369)Программирование-(2801)Производство-(97182)Промышленность-(8706)Психология-(18388)Религия-(3217)Связь-(10668)Сельское хозяйство-(299)Социология-(6455)Спорт-(42831)Строительство-(4793)Торговля-(5050)Транспорт-(2929)Туризм-(1568)Физика-(3942)Философия-(17015)Финансы-(26596)Химия-(22929)Экология-(12095)Экономика-(9961)Электроника-(8441)Электротехника-(4623)Энергетика-(12629)Юриспруденция-(1492)Ядерная техника-(1748)

Ая итерация




Ая итерация.

Ая итерация.

Ая итерация.

Ая итерация.

Ья итерация.

Ая итерация.

Ая итерация.

Значит 1-ое приближение равно . Проверим выполнение условия (56). Так как

,

то вычисления продолжаем.

Значит 2-ое приближение равно . Проверим выполнение условия (56). Так как

,

то вычисления продолжаем.

Значит 3-ое приближение равно . Проверим выполнение условия (56). Так как

,

то вычисления продолжаем.

Значит 4-ое приближение равно . Проверим выполнение условия (56). Так как

,

то вычисления продолжаем.

Значит 5-ое приближение равно . Проверим выполнение условия (56). Так как

,

то вычисления продолжаем.

Значит 6-ое приближение равно . Проверим выполнение условия (56). Так как

,

то вычисления продолжаем.

Значит 7-ое приближение равно . Проверим выполнение условия (56). Так как

,

то вычисления продолжаем.

Значит 8-ое приближение равно . Проверим выполнение условия (56). Так как

,

то вычисления прекращаем, так как требуемая точность достигнута. Следовательно, искомое решение – с точностью до ε= 0,01.

Ответ. с точностью до ε= 0,01.

4.2.3. Метод Зейделя [19].

Рассмотрим каноническую форму записи стационарного итерационного процесса (46). Матрицу

запишем в виде суммы трех матриц:

, (57)

где – диагональная часть матрицы А, – нижняя треугольная матрица, – верхняя треугольная матрица, т.е.:

;

Положим

, . (58)

В результате формула (46) примет вид

или

. (59)

Так как матрица , то схема метода Зейделя (59) является неявной. Однако, так как – треугольная матрица, то итерация находится по явным формулам.

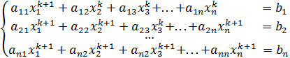
Перепишем рекуррентное соотношение (59) в координатной форме:

. (60)

Уравнения системы (60) позволяют последовательно рассчитать компоненты вектора -ой итерации подобно тому, как это делалось во время обратного хода в методе Гаусса:

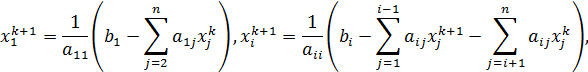
Часто на практике метод Зейделя используют записанным в следующей форме , т.е. если матрица . В этом случае из системы (60) для определения получим следующие рекуррентные соотношения:

Рассмотрим вопрос сходимости метода Зейделя. Для этого метода справедливо следующее утверждение.

Теорема. Метод Зейделя всегда сходится, если А – самосопряженная положительно определенная матрица.

К утверждению данной теоремы можно добавить и еще одно: метод Зейделя сходится для любой системы, в которой матрица системы А обладает свойством диагонального преобладания.

Если А – симметричная матрица и выполняется

то метод Зейделя сходится со скоростью геометрической прогрессии со знаменателем . При этом, так же как и в схеме простой итерации, итерационный процесс в методе Зейделя продолжается до момента выполнения неравенства (54).

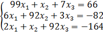
Пример 1. Методом Зейделя решить с точностью до ε= 0,001 систему линейных алгебраических уравнений:

.

Решение. Приведем систему к виду с диагональным преобладанием. Так как 92 > 6 + 3, то в первом уравнении преобладающим будет коэффициент при , а так как 99 > 1 + 7, то во втором уравнении – при . В третьем уравнении коэффициент при будет преобладающим, если из этого уравнения вычесть второе уравнение. Поэтому вычтем из 3-его уравнения 2-ое и поменяем местами 1-ое и 2-ое уравнения системы. В результате чего получим:

.

Так как данная система – система с диагональным преобладанием, то условие сходимости метода Зейделя выполнено. Учитывая, что

то вычисления будем проводить до момента выполнения неравенства

За начальное приближение возьмем вектор свободных членов , т.е. , а последовательные приближения будем вычислять по формулам (61). В данном случае имеем:

или .




Поделиться с друзьями:


Дата добавления: 2014-12-27; Просмотров: 459; Нарушение авторских прав?; Мы поможем в написании вашей работы!


Нам важно ваше мнение! Был ли полезен опубликованный материал? Да | Нет



studopedia.su - Студопедия (2013 - 2025) год. Все материалы представленные на сайте исключительно с целью ознакомления читателями и не преследуют коммерческих целей или нарушение авторских прав! Последнее добавление




Генерация страницы за: 0.008 сек.