Студопедия

КАТЕГОРИИ:


Архитектура-(3434)Астрономия-(809)Биология-(7483)Биотехнологии-(1457)Военное дело-(14632)Высокие технологии-(1363)География-(913)Геология-(1438)Государство-(451)Демография-(1065)Дом-(47672)Журналистика и СМИ-(912)Изобретательство-(14524)Иностранные языки-(4268)Информатика-(17799)Искусство-(1338)История-(13644)Компьютеры-(11121)Косметика-(55)Кулинария-(373)Культура-(8427)Лингвистика-(374)Литература-(1642)Маркетинг-(23702)Математика-(16968)Машиностроение-(1700)Медицина-(12668)Менеджмент-(24684)Механика-(15423)Науковедение-(506)Образование-(11852)Охрана труда-(3308)Педагогика-(5571)Полиграфия-(1312)Политика-(7869)Право-(5454)Приборостроение-(1369)Программирование-(2801)Производство-(97182)Промышленность-(8706)Психология-(18388)Религия-(3217)Связь-(10668)Сельское хозяйство-(299)Социология-(6455)Спорт-(42831)Строительство-(4793)Торговля-(5050)Транспорт-(2929)Туризм-(1568)Физика-(3942)Философия-(17015)Финансы-(26596)Химия-(22929)Экология-(12095)Экономика-(9961)Электроника-(8441)Электротехника-(4623)Энергетика-(12629)Юриспруденция-(1492)Ядерная техника-(1748)

Средние показатели




Относительные показатели

 

Относительные показатели представляют собой результат деления одного абсолютного показателя на другой.

Относительные показатели выражаются в коэффициентах, процентах (%) или являются именованными числами (рублей/человека).

Виды относительных показателей:

1. Относительный показатель динамики ОПД.

.

2. Относительный показатель планового задания ОППЗ.

.

3. Относительный показатель выполнения плана ОПВП.

.

Между этими относительными показателями существует взаимосвязь:

ОПД = ОППЗ × ОПВП.

4. Относительный показатель структуры ОПС.

 

.

5. Относительный показатель координации ОПК.

.

6. Относительный показатель интенсивности ОПИ.

7. Относительный показатель сравнения ОПСр.

 

Средняя величина - это обобщенная количественная характеристика признака в статистической совокупности в конкретных условиях места и времени.

Виды средних величин

1. Средняя арифметическая:

· средняя арифметическая простая (невзвешенная).

 

.

 

Используется в тех случаях, когда расчет осуществляется по несгруппированным данным;

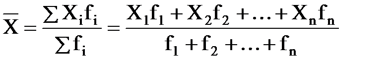
· средняя арифметическая взвешенная.

Используется для расчета по сгруппированным данным или вариационным рядам.

 

.




Поделиться с друзьями:


Дата добавления: 2014-12-24; Просмотров: 342; Нарушение авторских прав?; Мы поможем в написании вашей работы!


Нам важно ваше мнение! Был ли полезен опубликованный материал? Да | Нет



studopedia.su - Студопедия (2013 - 2026) год. Все материалы представленные на сайте исключительно с целью ознакомления читателями и не преследуют коммерческих целей или нарушение авторских прав! Последнее добавление




Генерация страницы за: 0.007 сек.